Harnessing Natural Product Compounds to Target Dormancy Survival Regulator (DosR) in Latent Tuberculosis Infection (LTBI): An In Silico Strategy Against Dormancy.

IF 2.3 Q3 RESPIRATORY SYSTEM
Mandeep Chouhan, Mukesh Kumar, Vivek Dhar Dwivedi, Vivek Kumar Kashyap, Himanshu Narayan Singh, Sanjay Kumar
{"title":"Harnessing Natural Product Compounds to Target Dormancy Survival Regulator (DosR) in Latent Tuberculosis Infection (LTBI): An In Silico Strategy Against Dormancy.","authors":"Mandeep Chouhan, Mukesh Kumar, Vivek Dhar Dwivedi, Vivek Kumar Kashyap, Himanshu Narayan Singh, Sanjay Kumar","doi":"10.3390/arm93030019","DOIUrl":null,"url":null,"abstract":"<p><p>Dormancy occurs when <i>Mycobacterium tuberculosis</i> (Mtb) enters a non-replicating and metabolically inactive state in response to hostile environment. During this state, it is highly resistant to conventional antibiotics, which increase the urgency to develop new potential drugs against dormant bacilli. In view of this, the dormancy survival regulator (DosR) protein is thought to be an essential component that plays a key role in bacterial adaptation to dormancy during hypoxic conditions. Herein, the NP-lib database containing natural product compounds was screened virtually against the binding site of the DosR protein using the MTiopen screen web server. A series of computational analyses were performed, including redocking, intermolecular interaction analysis, and MDS, followed by binding free energy analysis. Through screening, 1000 natural product compounds were obtained with docking energy ranging from -8.5 to -4.1 kcal/mol. The top four lead compounds were then selected for further investigation. On comparative analysis of intermolecular interaction, dynamics simulation and MM/GBSA calculation revealed that M3 docked with the DosR protein (docking score = -8.1 kcal/mol, RMSD = ~7 Å and ΔG Bind = -53.51 kcal/mol) exhibited stronger stability than reference compound Ursolic acid (docking score = -6.2 kcal/mol, RMSD = ~13.5 Å and ΔG Bind = -44.51 kcal/mol). Hence, M3 is recommended for further validation through in vitro and in vivo studies against latent tuberculosis infection.</p>","PeriodicalId":7391,"journal":{"name":"Advances in respiratory medicine","volume":"93 3","pages":""},"PeriodicalIF":2.3000,"publicationDate":"2025-06-16","publicationTypes":"Journal Article","fieldsOfStudy":null,"isOpenAccess":false,"openAccessPdf":"https://www.ncbi.nlm.nih.gov/pmc/articles/PMC12190169/pdf/","citationCount":"0","resultStr":null,"platform":"Semanticscholar","paperid":null,"PeriodicalName":"Advances in respiratory medicine","FirstCategoryId":"1085","ListUrlMain":"https://doi.org/10.3390/arm93030019","RegionNum":0,"RegionCategory":null,"ArticlePicture":[],"TitleCN":null,"AbstractTextCN":null,"PMCID":null,"EPubDate":"","PubModel":"","JCR":"Q3","JCRName":"RESPIRATORY SYSTEM","Score":null,"Total":0}
引用次数: 0

Abstract

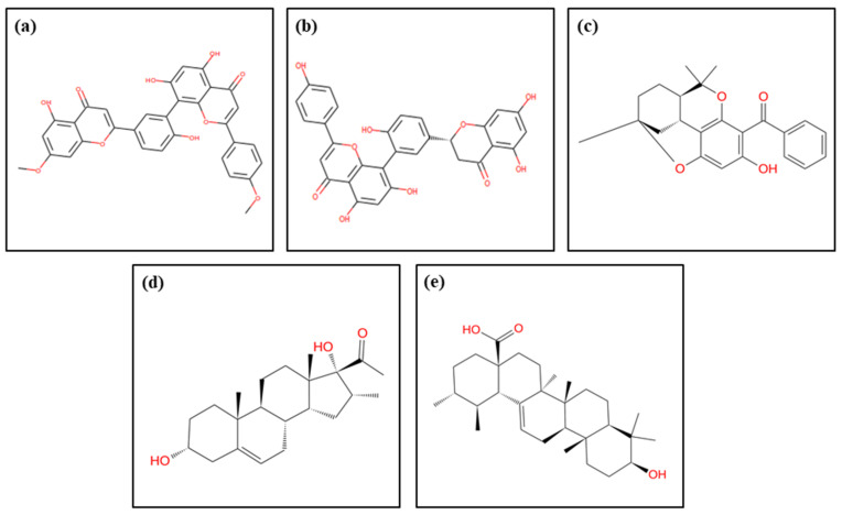
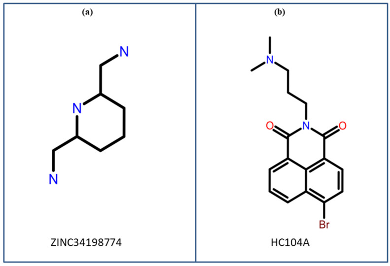
Dormancy occurs when Mycobacterium tuberculosis (Mtb) enters a non-replicating and metabolically inactive state in response to hostile environment. During this state, it is highly resistant to conventional antibiotics, which increase the urgency to develop new potential drugs against dormant bacilli. In view of this, the dormancy survival regulator (DosR) protein is thought to be an essential component that plays a key role in bacterial adaptation to dormancy during hypoxic conditions. Herein, the NP-lib database containing natural product compounds was screened virtually against the binding site of the DosR protein using the MTiopen screen web server. A series of computational analyses were performed, including redocking, intermolecular interaction analysis, and MDS, followed by binding free energy analysis. Through screening, 1000 natural product compounds were obtained with docking energy ranging from -8.5 to -4.1 kcal/mol. The top four lead compounds were then selected for further investigation. On comparative analysis of intermolecular interaction, dynamics simulation and MM/GBSA calculation revealed that M3 docked with the DosR protein (docking score = -8.1 kcal/mol, RMSD = ~7 Å and ΔG Bind = -53.51 kcal/mol) exhibited stronger stability than reference compound Ursolic acid (docking score = -6.2 kcal/mol, RMSD = ~13.5 Å and ΔG Bind = -44.51 kcal/mol). Hence, M3 is recommended for further validation through in vitro and in vivo studies against latent tuberculosis infection.

Abstract Image

Abstract Image

Abstract Image

利用天然产物化合物靶向潜伏性结核感染(LTBI)的休眠生存调节剂(DosR):一种对抗休眠的计算机策略。
当结核分枝杆菌(Mtb)进入非复制和代谢不活跃状态以应对恶劣环境时,就会发生休眠。在这种状态下,它对常规抗生素具有高度耐药性,这增加了开发新的潜在药物对抗休眠杆菌的紧迫性。鉴于此,休眠存活调节蛋白(DosR)被认为是细菌在缺氧条件下适应休眠的重要组成部分。本文使用MTiopen筛选web服务器对含有天然产物化合物的NP-lib数据库进行了针对DosR蛋白结合位点的虚拟筛选。进行了一系列的计算分析,包括重新对接、分子间相互作用分析和MDS,然后进行了结合自由能分析。筛选得到1000个对接能在-8.5 ~ -4.1 kcal/mol之间的天然产物化合物。然后选择前四种先导化合物进行进一步研究。分子间相互作用对比分析、动力学模拟和MM/GBSA计算表明,与DosR蛋白对接的M3(对接评分= -8.1 kcal/mol, RMSD = ~7 Å和ΔG Bind = -53.51 kcal/mol)比参比化合物熊果酸(对接评分= -6.2 kcal/mol, RMSD = ~13.5 Å和ΔG Bind = -44.51 kcal/mol)具有更强的稳定性。因此,建议通过体内和体外研究进一步验证M3对潜伏性结核感染的作用。
本文章由计算机程序翻译,如有差异,请以英文原文为准。
求助全文
约1分钟内获得全文 求助全文
来源期刊
Advances in respiratory medicine
Advances in respiratory medicine RESPIRATORY SYSTEM-
CiteScore
2.60
自引率
0.00%
发文量
90
期刊介绍: "Advances in Respiratory Medicine" is a new international title for "Pneumonologia i Alergologia Polska", edited bimonthly and addressed to respiratory professionals. The Journal contains peer-reviewed original research papers, short communications, case-reports, recommendations of the Polish Respiratory Society concerning the diagnosis and treatment of lung diseases, editorials, postgraduate education articles, letters and book reviews in the field of pneumonology, allergology, oncology, immunology and infectious diseases. "Advances in Respiratory Medicine" is an open access, official journal of Polish Society of Lung Diseases, Polish Society of Allergology and National Research Institute of Tuberculosis and Lung Diseases.
×
引用
GB/T 7714-2015
复制
MLA
复制
APA
复制
导出至
BibTeX EndNote RefMan NoteFirst NoteExpress
×
提示
您的信息不完整,为了账户安全,请先补充。
现在去补充
×
提示
您因"违规操作"
具体请查看互助需知
我知道了
×
提示
确定
请完成安全验证×
copy
已复制链接
快去分享给好友吧!
我知道了
右上角分享
点击右上角分享
0
联系我们:info@booksci.cn Book学术提供免费学术资源搜索服务,方便国内外学者检索中英文文献。致力于提供最便捷和优质的服务体验。 Copyright © 2023 布克学术 All rights reserved.
京ICP备2023020795号-1
ghs 京公网安备 11010802042870号
Book学术文献互助
Book学术文献互助群
群 号:604180095
Book学术官方微信