Straightforward, scalable, solution-phase synthesis of peptide bonds in flow

IF 2 4区 化学 Q3 CHEMISTRY, MULTIDISCIPLINARY
Zoe E. Wilson, Enol Lopez, Nils J. Flodén, Charis Watkins, Giulia Bianchini, Steven V. Ley
{"title":"Straightforward, scalable, solution-phase synthesis of peptide bonds in flow","authors":"Zoe E. Wilson,&nbsp;Enol Lopez,&nbsp;Nils J. Flodén,&nbsp;Charis Watkins,&nbsp;Giulia Bianchini,&nbsp;Steven V. Ley","doi":"10.1007/s41981-025-00347-2","DOIUrl":null,"url":null,"abstract":"<div><p>We report the development of simple solution-phase flow conditions for the scalable synthesis of peptides using in-situ activation as mixed anhydrides, contributing to the synthetic toolbox of available solution-phase flow reactions. This approach has been used for the preparation of a series of diverse dipeptides in plug flow, and then continuous flow conditions (&lt; 10 mmol) were developed and applied to the gram scale synthesis of the hexapeptide linear precursor for the bioactive cyclic peptide segetalin A as further proof of the utility of this approach.</p><h3>Graphical Abstract</h3><div><figure><div><div><picture><source><img></source></picture></div></div></figure></div></div>","PeriodicalId":630,"journal":{"name":"Journal of Flow Chemistry","volume":"15 2","pages":"67 - 77"},"PeriodicalIF":2.0000,"publicationDate":"2025-03-12","publicationTypes":"Journal Article","fieldsOfStudy":null,"isOpenAccess":false,"openAccessPdf":"https://www.ncbi.nlm.nih.gov/pmc/articles/PMC12181218/pdf/","citationCount":"0","resultStr":null,"platform":"Semanticscholar","paperid":null,"PeriodicalName":"Journal of Flow Chemistry","FirstCategoryId":"92","ListUrlMain":"https://link.springer.com/article/10.1007/s41981-025-00347-2","RegionNum":4,"RegionCategory":"化学","ArticlePicture":[],"TitleCN":null,"AbstractTextCN":null,"PMCID":null,"EPubDate":"","PubModel":"","JCR":"Q3","JCRName":"CHEMISTRY, MULTIDISCIPLINARY","Score":null,"Total":0}
引用次数: 0

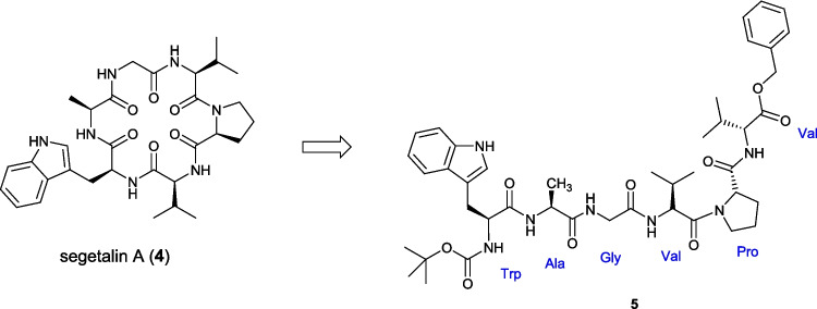
Abstract

We report the development of simple solution-phase flow conditions for the scalable synthesis of peptides using in-situ activation as mixed anhydrides, contributing to the synthetic toolbox of available solution-phase flow reactions. This approach has been used for the preparation of a series of diverse dipeptides in plug flow, and then continuous flow conditions (< 10 mmol) were developed and applied to the gram scale synthesis of the hexapeptide linear precursor for the bioactive cyclic peptide segetalin A as further proof of the utility of this approach.

Graphical Abstract

Abstract Image

Abstract Image

Abstract Image

简单,可扩展,溶液相合成肽键在流动。
我们报告了简单的液相流动条件的发展,用于可扩展的合成多肽使用原位活化作为混合酸酐,有助于合成工具箱可用的液相流动反应。该方法已用于在塞流中制备一系列不同的二肽,然后在连续流动条件下(图形摘要:补充信息:在线版本包含补充材料,可在10.1007/s41981-025-00347-2)。
本文章由计算机程序翻译,如有差异,请以英文原文为准。
求助全文
约1分钟内获得全文 求助全文
来源期刊
Journal of Flow Chemistry
Journal of Flow Chemistry CHEMISTRY, MULTIDISCIPLINARY-
CiteScore
6.40
自引率
3.70%
发文量
29
审稿时长
>12 weeks
期刊介绍: The main focus of the journal is flow chemistry in inorganic, organic, analytical and process chemistry in the academic research as well as in applied research and development in the pharmaceutical, agrochemical, fine-chemical, petro- chemical, fragrance industry.
×
引用
GB/T 7714-2015
复制
MLA
复制
APA
复制
导出至
BibTeX EndNote RefMan NoteFirst NoteExpress
×
提示
您的信息不完整,为了账户安全,请先补充。
现在去补充
×
提示
您因"违规操作"
具体请查看互助需知
我知道了
×
提示
确定
请完成安全验证×
copy
已复制链接
快去分享给好友吧!
我知道了
右上角分享
点击右上角分享
0
联系我们:info@booksci.cn Book学术提供免费学术资源搜索服务,方便国内外学者检索中英文文献。致力于提供最便捷和优质的服务体验。 Copyright © 2023 布克学术 All rights reserved.
京ICP备2023020795号-1
ghs 京公网安备 11010802042870号
Book学术文献互助
Book学术文献互助群
群 号:604180095
Book学术官方微信