Development and validation of direct assay for cholesterol content of erythrocytes.

IF 4.7 3区 生物学 Q2 BIOCHEMISTRY & MOLECULAR BIOLOGY
Azusa Yamazaki, Yuna Hakii, Akira Yoshimoto, Takahiro Kameda, Naoya Ichimura, Shuji Tohda, Ryunosuke Ohkawa
{"title":"Development and validation of direct assay for cholesterol content of erythrocytes.","authors":"Azusa Yamazaki, Yuna Hakii, Akira Yoshimoto, Takahiro Kameda, Naoya Ichimura, Shuji Tohda, Ryunosuke Ohkawa","doi":"10.1042/BSR20253335","DOIUrl":null,"url":null,"abstract":"<p><p>Erythrocytes contain a significant amount of membrane cholesterol, which is continuously exchanged with lipoproteins. Recent studies suggest that erythrocyte cholesterol content correlates positively with atherosclerotic cardiovascular disease (ASCVD) severity independent of low-density lipoprotein levels, potentially reflecting residual ASCVD risk. However, conventional methods for measuring erythrocyte cholesterol content require labor-intensive lipid extraction procedures, limiting their clinical applicability. In this study, we developed a novel enzymatic assay that enables direct quantification of erythrocyte total cholesterol content using two denaturants to eliminate hemoglobin interference. This simple method demonstrated high accuracy and precision, as confirmed by intra-assay repeatability, between-day precision, linearity, and spike-recovery tests. Using this assay, we determined the erythrocyte cholesterol content per volume (154.8 ± 2.9 mg/dl in men, 155.9 ± 6.9 mg/dl in women) and per cell (139.0 ± 5.2 fg/cell in men, 140.8 ± 5.3 fg/cell in women) (n = 12, healthy subjects). While erythrocyte cholesterol content per volume correlated with the conventional method, the erythrocyte cholesterol content per cell showed no such correlation. Moreover, neither measure was associated with serum lipid levels, suggesting their potential as independent biomarkers for ASCVD. Additionally, we evaluated erythrocyte cholesterol content across different maturation stages and found that older erythrocytes had significantly lower cholesterol content, consistent with mass spectrometry results. These findings further validated the physiological relevance of the proposed method. In conclusion, we successfully established a simple and clinically applicable enzymatic method for measuring erythrocyte cholesterol content, providing novel insights into erythrocyte cholesterol metabolism and its potential role in ASCVD risk assessment.</p>","PeriodicalId":8926,"journal":{"name":"Bioscience Reports","volume":" ","pages":""},"PeriodicalIF":4.7000,"publicationDate":"2025-07-17","publicationTypes":"Journal Article","fieldsOfStudy":null,"isOpenAccess":false,"openAccessPdf":"https://www.ncbi.nlm.nih.gov/pmc/articles/PMC12411833/pdf/","citationCount":"0","resultStr":null,"platform":"Semanticscholar","paperid":null,"PeriodicalName":"Bioscience Reports","FirstCategoryId":"99","ListUrlMain":"https://doi.org/10.1042/BSR20253335","RegionNum":3,"RegionCategory":"生物学","ArticlePicture":[],"TitleCN":null,"AbstractTextCN":null,"PMCID":null,"EPubDate":"","PubModel":"","JCR":"Q2","JCRName":"BIOCHEMISTRY & MOLECULAR BIOLOGY","Score":null,"Total":0}
引用次数: 0

Abstract

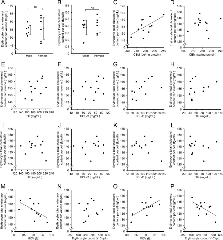
Erythrocytes contain a significant amount of membrane cholesterol, which is continuously exchanged with lipoproteins. Recent studies suggest that erythrocyte cholesterol content correlates positively with atherosclerotic cardiovascular disease (ASCVD) severity independent of low-density lipoprotein levels, potentially reflecting residual ASCVD risk. However, conventional methods for measuring erythrocyte cholesterol content require labor-intensive lipid extraction procedures, limiting their clinical applicability. In this study, we developed a novel enzymatic assay that enables direct quantification of erythrocyte total cholesterol content using two denaturants to eliminate hemoglobin interference. This simple method demonstrated high accuracy and precision, as confirmed by intra-assay repeatability, between-day precision, linearity, and spike-recovery tests. Using this assay, we determined the erythrocyte cholesterol content per volume (154.8 ± 2.9 mg/dl in men, 155.9 ± 6.9 mg/dl in women) and per cell (139.0 ± 5.2 fg/cell in men, 140.8 ± 5.3 fg/cell in women) (n = 12, healthy subjects). While erythrocyte cholesterol content per volume correlated with the conventional method, the erythrocyte cholesterol content per cell showed no such correlation. Moreover, neither measure was associated with serum lipid levels, suggesting their potential as independent biomarkers for ASCVD. Additionally, we evaluated erythrocyte cholesterol content across different maturation stages and found that older erythrocytes had significantly lower cholesterol content, consistent with mass spectrometry results. These findings further validated the physiological relevance of the proposed method. In conclusion, we successfully established a simple and clinically applicable enzymatic method for measuring erythrocyte cholesterol content, providing novel insights into erythrocyte cholesterol metabolism and its potential role in ASCVD risk assessment.

Abstract Image

Abstract Image

Abstract Image

红细胞胆固醇含量直接测定法的建立与验证。
红细胞含有大量的膜胆固醇,它不断地与脂蛋白交换。最近的研究表明,红细胞胆固醇含量与动脉粥样硬化性心血管疾病(ASCVD)严重程度呈正相关,独立于低密度脂蛋白水平,可能反映残余ASCVD风险。然而,测量红细胞胆固醇含量的传统方法需要劳动密集型的脂质提取过程,限制了其临床适用性。在这项研究中,我们开发了一种新的酶分析方法,可以直接定量红细胞总胆固醇含量,使用两种变性剂来消除血红蛋白干扰。该方法具有较高的准确度和精密度,经测定内重复性、精密度间、线性和峰回收率试验证实。利用这种方法,我们测定了红细胞胆固醇每体积(男性154.8 2.9 mg/dL,女性155.9 6.9 mg/dL)和每个细胞(男性139.0 5.2 fg/细胞,女性140.8 5.3 fg/细胞)的含量(n = 12,健康受试者)。虽然红细胞每体积胆固醇含量与常规方法相关,但红细胞每细胞胆固醇含量没有这种相关性。此外,两项指标均与血脂水平无关,这表明它们有可能作为ASCVD的独立生物标志物。此外,我们评估了不同成熟阶段的红细胞胆固醇含量,发现年龄较大的红细胞胆固醇含量明显较低,与质谱分析结果一致。这些发现进一步验证了所提出方法的生理学相关性。总之,我们成功建立了一种简单且临床适用的酶法测定红细胞胆固醇含量的方法,为红细胞胆固醇代谢及其在ASCVD风险评估中的潜在作用提供了新的见解。
本文章由计算机程序翻译,如有差异,请以英文原文为准。
求助全文
约1分钟内获得全文 求助全文
来源期刊
Bioscience Reports
Bioscience Reports 生物-细胞生物学
CiteScore
8.50
自引率
0.00%
发文量
380
审稿时长
6-12 weeks
期刊介绍: Bioscience Reports provides a home for sound scientific research in all areas of cell biology and molecular life sciences. Since 2012, Bioscience Reports has been fully Open Access and publishes all papers under the liberal CC BY licence, giving the life science community quality research to share and discuss.Content before 2012 is subscription-only, and is accessible via archive purchase. Articles are assessed on soundness, providing a home for valid findings and data. We welcome papers that span disciplines (e.g. chemistry, medicine), including papers describing: -new methodologies -tools and reagents to probe biological questions -mechanistic details -disease mechanisms -metabolic processes and their regulation -structure and function -bioenergetics
×
引用
GB/T 7714-2015
复制
MLA
复制
APA
复制
导出至
BibTeX EndNote RefMan NoteFirst NoteExpress
×
提示
您的信息不完整,为了账户安全,请先补充。
现在去补充
×
提示
您因"违规操作"
具体请查看互助需知
我知道了
×
提示
确定
请完成安全验证×
copy
已复制链接
快去分享给好友吧!
我知道了
右上角分享
点击右上角分享
0
联系我们:info@booksci.cn Book学术提供免费学术资源搜索服务,方便国内外学者检索中英文文献。致力于提供最便捷和优质的服务体验。 Copyright © 2023 布克学术 All rights reserved.
京ICP备2023020795号-1
ghs 京公网安备 11010802042870号
Book学术文献互助
Book学术文献互助群
群 号:604180095
Book学术官方微信