Microcystin: From Blooms to Brain Toxicity.

Ethan Hedrick, Aryaman Tiwari, Suryakant Niture, Qing Cheng, Deepak Kumar, Somnath Mukhopadhyay
{"title":"Microcystin: From Blooms to Brain Toxicity.","authors":"Ethan Hedrick, Aryaman Tiwari, Suryakant Niture, Qing Cheng, Deepak Kumar, Somnath Mukhopadhyay","doi":"10.33696/Signaling.6.131","DOIUrl":null,"url":null,"abstract":"<p><p>An increase in the temperature of lakes and ponds facilitates the over-growth of photosynthetic cyanobacteria that produce a class of toxins called cyanotoxins. The abundance of cyanobacteria poses a significant threat to drinking and irrigation water supplies, and therefore, cyanotoxins have become a major class of environmental pollutants. Microcystins, the most common cyanotoxins, are cyclic peptides produced by cyanobacteria through non-ribosomal peptide synthases, and currently, approximately 279 microcystins have been identified to date. Exposure to microcystins can cause liver and brain cytotoxicity, dermatologic, gastrointestinal, respiratory, and neurologic signs and symptoms, and affect human health. Notably, microcystin-leucine arginine can breach the blood-brain barrier by the transporter proteins, organic anion transporting polypeptides, leading to neuroinflammation, and changes in neurocircuitry resulting in behavioral alterations. In this review, we provide an update of the current literature on the detrimental effects of microcystins on the brain, focusing on their potential role in Alzheimer's and Parkinson's diseases. We discuss the current findings along with the cellular mechanisms involved and provide a brief narrative of the scope of future studies, especially to address the effects of microcystins along with genetic and other risk factors (like alcohol and other drugs) on neurodegenerative disease.</p>","PeriodicalId":73645,"journal":{"name":"Journal of cellular signaling","volume":"6 1","pages":"29-38"},"PeriodicalIF":0.0000,"publicationDate":"2025-01-01","publicationTypes":"Journal Article","fieldsOfStudy":null,"isOpenAccess":false,"openAccessPdf":"https://www.ncbi.nlm.nih.gov/pmc/articles/PMC12176425/pdf/","citationCount":"0","resultStr":null,"platform":"Semanticscholar","paperid":null,"PeriodicalName":"Journal of cellular signaling","FirstCategoryId":"1085","ListUrlMain":"https://doi.org/10.33696/Signaling.6.131","RegionNum":0,"RegionCategory":null,"ArticlePicture":[],"TitleCN":null,"AbstractTextCN":null,"PMCID":null,"EPubDate":"","PubModel":"","JCR":"","JCRName":"","Score":null,"Total":0}
引用次数: 0

Abstract

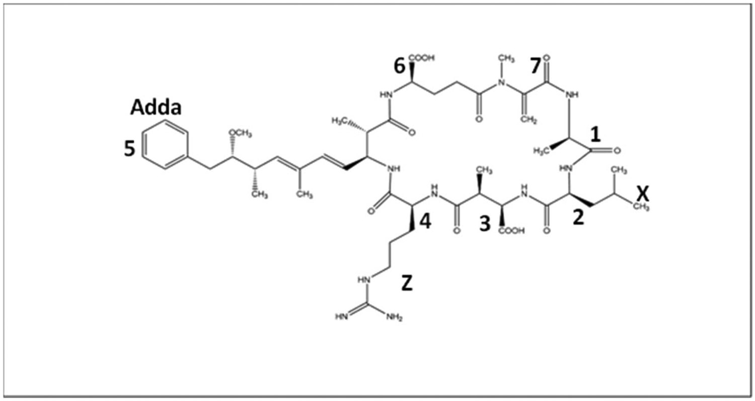
An increase in the temperature of lakes and ponds facilitates the over-growth of photosynthetic cyanobacteria that produce a class of toxins called cyanotoxins. The abundance of cyanobacteria poses a significant threat to drinking and irrigation water supplies, and therefore, cyanotoxins have become a major class of environmental pollutants. Microcystins, the most common cyanotoxins, are cyclic peptides produced by cyanobacteria through non-ribosomal peptide synthases, and currently, approximately 279 microcystins have been identified to date. Exposure to microcystins can cause liver and brain cytotoxicity, dermatologic, gastrointestinal, respiratory, and neurologic signs and symptoms, and affect human health. Notably, microcystin-leucine arginine can breach the blood-brain barrier by the transporter proteins, organic anion transporting polypeptides, leading to neuroinflammation, and changes in neurocircuitry resulting in behavioral alterations. In this review, we provide an update of the current literature on the detrimental effects of microcystins on the brain, focusing on their potential role in Alzheimer's and Parkinson's diseases. We discuss the current findings along with the cellular mechanisms involved and provide a brief narrative of the scope of future studies, especially to address the effects of microcystins along with genetic and other risk factors (like alcohol and other drugs) on neurodegenerative disease.

Abstract Image

Abstract Image

微囊藻毒素:从大量繁殖到脑毒性。
湖泊和池塘温度的升高促进了光合作用的蓝藻细菌的过度生长,产生一类称为蓝藻毒素的毒素。大量的蓝藻对饮用水和灌溉用水的供应构成了重大威胁,因此,蓝藻毒素已成为一类主要的环境污染物。微囊藻毒素是最常见的蓝藻毒素,是由蓝藻细菌通过非核糖体肽合酶产生的环状肽,目前已鉴定出约279种微囊藻毒素。暴露于微囊藻毒素可引起肝和脑细胞毒性,皮肤、胃肠道、呼吸和神经系统体征和症状,并影响人体健康。值得注意的是,微胱氨酸-亮氨酸精氨酸可以通过转运蛋白、有机阴离子转运多肽突破血脑屏障,导致神经炎症和神经回路的改变,从而导致行为改变。在这篇综述中,我们提供了关于微囊藻毒素对大脑有害影响的最新文献,重点是它们在阿尔茨海默病和帕金森病中的潜在作用。我们讨论了目前的发现以及所涉及的细胞机制,并简要叙述了未来研究的范围,特别是解决微囊藻毒素以及遗传和其他风险因素(如酒精和其他药物)对神经退行性疾病的影响。
本文章由计算机程序翻译,如有差异,请以英文原文为准。
求助全文
约1分钟内获得全文 求助全文
来源期刊
自引率
0.00%
发文量
0
×
引用
GB/T 7714-2015
复制
MLA
复制
APA
复制
导出至
BibTeX EndNote RefMan NoteFirst NoteExpress
×
提示
您的信息不完整,为了账户安全,请先补充。
现在去补充
×
提示
您因"违规操作"
具体请查看互助需知
我知道了
×
提示
确定
请完成安全验证×
copy
已复制链接
快去分享给好友吧!
我知道了
右上角分享
点击右上角分享
0
联系我们:info@booksci.cn Book学术提供免费学术资源搜索服务,方便国内外学者检索中英文文献。致力于提供最便捷和优质的服务体验。 Copyright © 2023 布克学术 All rights reserved.
京ICP备2023020795号-1
ghs 京公网安备 11010802042870号
Book学术文献互助
Book学术文献互助群
群 号:604180095
Book学术官方微信