Host traits and environmental variation shape gut microbiota diversity in wild threespine stickleback.

IF 4.4 Q1 MICROBIOLOGY
Andreas Härer, Emma Kurstjens, Diana J Rennison
{"title":"Host traits and environmental variation shape gut microbiota diversity in wild threespine stickleback.","authors":"Andreas Härer, Emma Kurstjens, Diana J Rennison","doi":"10.1186/s42523-025-00404-0","DOIUrl":null,"url":null,"abstract":"<p><strong>Background: </strong>Despite the growing recognition of the importance of gut microbiota in host ecology and evolution, our understanding of the relative contributions of host-associated and environmental factors shaping gut microbiota composition within and across wild populations remains limited. Here, we investigate how host morphology, sex, genetic divergence, and environmental characteristics influence the gut microbiota of threespine stickleback fish populations from 20 lakes on Vancouver Island, Canada.</p><p><strong>Results: </strong>Our findings reveal substantial variation in gut microbiota composition and diversity among populations, with host traits exerting a relatively stronger influence on bacterial alpha diversity than environmental characteristics. Previous studies have suggested a link between stickleback body shape and niche specialization, and our results indicate that aspects of host morphology may be associated with gut microbiota divergence among populations, though whether this is related to trophic ecology remains to be explored. Within and across populations, we only observed a weakly defined core microbiota and limited sharing of amplicon sequence variants (ASVs) among hosts, indicating that gut microbiota composition is individualized. Additionally, we detected sex-dependent differences in microbial diversity, opening avenues for future research into the mechanisms driving this variation.</p><p><strong>Conclusions: </strong>In sum, our study emphasizes the need to consider both host-associated and environmental factors in shaping gut microbiota dynamics and highlights the complex interplay between host organisms, their associated microbial communities, and the environment in natural settings. Ultimately, these insights add to our understanding of the eco-evolutionary implications of host-microbiota interactions while underscoring the need for further investigation into the underlying mechanisms.</p>","PeriodicalId":72201,"journal":{"name":"Animal microbiome","volume":"7 1","pages":"67"},"PeriodicalIF":4.4000,"publicationDate":"2025-06-18","publicationTypes":"Journal Article","fieldsOfStudy":null,"isOpenAccess":false,"openAccessPdf":"https://www.ncbi.nlm.nih.gov/pmc/articles/PMC12177961/pdf/","citationCount":"0","resultStr":null,"platform":"Semanticscholar","paperid":null,"PeriodicalName":"Animal microbiome","FirstCategoryId":"1085","ListUrlMain":"https://doi.org/10.1186/s42523-025-00404-0","RegionNum":0,"RegionCategory":null,"ArticlePicture":[],"TitleCN":null,"AbstractTextCN":null,"PMCID":null,"EPubDate":"","PubModel":"","JCR":"Q1","JCRName":"MICROBIOLOGY","Score":null,"Total":0}
引用次数: 0

Abstract

Background: Despite the growing recognition of the importance of gut microbiota in host ecology and evolution, our understanding of the relative contributions of host-associated and environmental factors shaping gut microbiota composition within and across wild populations remains limited. Here, we investigate how host morphology, sex, genetic divergence, and environmental characteristics influence the gut microbiota of threespine stickleback fish populations from 20 lakes on Vancouver Island, Canada.

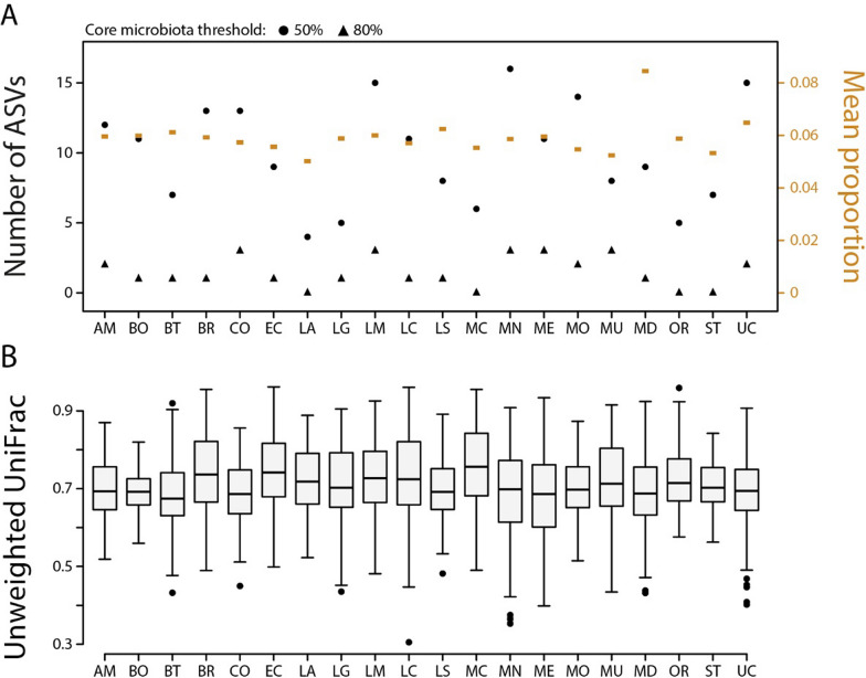
Results: Our findings reveal substantial variation in gut microbiota composition and diversity among populations, with host traits exerting a relatively stronger influence on bacterial alpha diversity than environmental characteristics. Previous studies have suggested a link between stickleback body shape and niche specialization, and our results indicate that aspects of host morphology may be associated with gut microbiota divergence among populations, though whether this is related to trophic ecology remains to be explored. Within and across populations, we only observed a weakly defined core microbiota and limited sharing of amplicon sequence variants (ASVs) among hosts, indicating that gut microbiota composition is individualized. Additionally, we detected sex-dependent differences in microbial diversity, opening avenues for future research into the mechanisms driving this variation.

Conclusions: In sum, our study emphasizes the need to consider both host-associated and environmental factors in shaping gut microbiota dynamics and highlights the complex interplay between host organisms, their associated microbial communities, and the environment in natural settings. Ultimately, these insights add to our understanding of the eco-evolutionary implications of host-microbiota interactions while underscoring the need for further investigation into the underlying mechanisms.

Abstract Image

Abstract Image

Abstract Image

寄主性状和环境变化对野生三刺棘鱼肠道菌群多样性的影响。
背景:尽管人们越来越认识到肠道菌群在宿主生态和进化中的重要性,但我们对宿主相关因素和环境因素在野生种群内和种群间塑造肠道菌群组成的相对贡献的理解仍然有限。在这里,我们研究了宿主形态、性别、遗传差异和环境特征如何影响加拿大温哥华岛20个湖泊的三刺鱼种群的肠道微生物群。结果:我们的研究结果揭示了种群间肠道微生物群组成和多样性的巨大差异,宿主特征对细菌α多样性的影响相对强于环境特征。先前的研究表明棘鱼体型和生态位特化之间存在联系,我们的研究结果表明,宿主形态的各个方面可能与种群间肠道微生物群的分化有关,尽管这是否与营养生态学有关仍有待探索。在种群内部和种群之间,我们只观察到一个定义较弱的核心微生物群和宿主之间有限的扩增子序列变异(asv)共享,表明肠道微生物群组成是个体化的。此外,我们发现了微生物多样性的性别依赖性差异,为未来研究驱动这种变化的机制开辟了道路。结论:总之,我们的研究强调了在塑造肠道微生物群动力学时需要考虑宿主相关和环境因素,并强调了宿主生物、其相关微生物群落和自然环境之间复杂的相互作用。最终,这些见解增加了我们对宿主-微生物群相互作用的生态进化意义的理解,同时强调了进一步研究潜在机制的必要性。
本文章由计算机程序翻译,如有差异,请以英文原文为准。
求助全文
约1分钟内获得全文 求助全文
来源期刊
CiteScore
7.20
自引率
0.00%
发文量
0
审稿时长
13 weeks
×
引用
GB/T 7714-2015
复制
MLA
复制
APA
复制
导出至
BibTeX EndNote RefMan NoteFirst NoteExpress
×
提示
您的信息不完整,为了账户安全,请先补充。
现在去补充
×
提示
您因"违规操作"
具体请查看互助需知
我知道了
×
提示
确定
请完成安全验证×
copy
已复制链接
快去分享给好友吧!
我知道了
右上角分享
点击右上角分享
0
联系我们:info@booksci.cn Book学术提供免费学术资源搜索服务,方便国内外学者检索中英文文献。致力于提供最便捷和优质的服务体验。 Copyright © 2023 布克学术 All rights reserved.
京ICP备2023020795号-1
ghs 京公网安备 11010802042870号
Book学术文献互助
Book学术文献互助群
群 号:604180095
Book学术官方微信