Beta-alanine supplementation improves time to exhaustion, but not aerobic capacity, in competitive middle- and long-distance runners.

IF 3.9 2区 医学 Q1 NUTRITION & DIETETICS
David Marko, Ronald L Snarr, Petr Bahenský, Václav Bunc, Miroslav Krajcigr, Tomáš Malý
{"title":"Beta-alanine supplementation improves time to exhaustion, but not aerobic capacity, in competitive middle- and long-distance runners.","authors":"David Marko, Ronald L Snarr, Petr Bahenský, Václav Bunc, Miroslav Krajcigr, Tomáš Malý","doi":"10.1080/15502783.2025.2521336","DOIUrl":null,"url":null,"abstract":"<p><strong>Background: </strong>Beta-alanine (βA) is a non-essential amino acid purportedly used to enhance aerobic exercise performance. While previous research indicates the benefits of βA on time to exhaustion (TTE) and aerobic capacity (VO<sub>2peak</sub>) in adults, evidence is lacking in adolescent athletes. Thus, the purpose of this study was to determine the effects of 4 weeks of βA supplementation on aerobic performance in adolescent runners.</p><p><strong>Methods: </strong>Twenty-seven middle- and long-distance runners (aged 17.36 ± 2.17 years) were randomly divided into a βA or placebo (PL) group (maltodextrin). Subjects performed maximal graded exercise tests (GXT) and submaximal trials (SMT; 80% of VO<sub>2peak</sub> for 1500 m) on a treadmill before and after 14 and 28 days of supplementation or PL. Respiratory (V<sub>E</sub>) metabolic (VO<sub>2</sub>, RER, lactate [La]), and cardiovascular (HR) variables were measured during the GXT and SMT, along with the first (VT1) and second ventilatory threshold (VT2) and TTE monitored during the GXT only. Within- and between-group differences were assessed using a repeated-measures mixed-model analysis of variance.</p><p><strong>Results: </strong>Findings indicated that despite a trivial increase in VO<sub>2peak</sub> over 4 weeks, the βA group increased TTE by 6.5% compared to 1.4% in the PL group (<i>d</i> = 0.46). Additionally, small effects in HR<sub>max</sub>, V<sub>E</sub>, [La], and TTE were observed between groups favoring βA. Regarding the SMT, both average HR and RER decreased by 4% in the βA group, with no changes for the PL.</p><p><strong>Conclusions: </strong>Despite no evidence to suggest increases in VO<sub>2peak</sub>, practitioners should note that improvements in TTE may be observed after 28 days of βA supplementation in adolescent runners.</p>","PeriodicalId":17400,"journal":{"name":"Journal of the International Society of Sports Nutrition","volume":"22 1","pages":"2521336"},"PeriodicalIF":3.9000,"publicationDate":"2025-12-01","publicationTypes":"Journal Article","fieldsOfStudy":null,"isOpenAccess":false,"openAccessPdf":"https://www.ncbi.nlm.nih.gov/pmc/articles/PMC12175181/pdf/","citationCount":"0","resultStr":null,"platform":"Semanticscholar","paperid":null,"PeriodicalName":"Journal of the International Society of Sports Nutrition","FirstCategoryId":"3","ListUrlMain":"https://doi.org/10.1080/15502783.2025.2521336","RegionNum":2,"RegionCategory":"医学","ArticlePicture":[],"TitleCN":null,"AbstractTextCN":null,"PMCID":null,"EPubDate":"2025/6/17 0:00:00","PubModel":"Epub","JCR":"Q1","JCRName":"NUTRITION & DIETETICS","Score":null,"Total":0}
引用次数: 0

Abstract

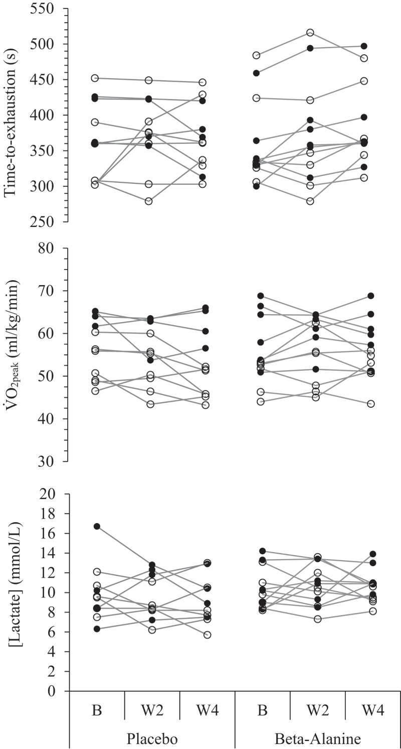
Background: Beta-alanine (βA) is a non-essential amino acid purportedly used to enhance aerobic exercise performance. While previous research indicates the benefits of βA on time to exhaustion (TTE) and aerobic capacity (VO2peak) in adults, evidence is lacking in adolescent athletes. Thus, the purpose of this study was to determine the effects of 4 weeks of βA supplementation on aerobic performance in adolescent runners.

Methods: Twenty-seven middle- and long-distance runners (aged 17.36 ± 2.17 years) were randomly divided into a βA or placebo (PL) group (maltodextrin). Subjects performed maximal graded exercise tests (GXT) and submaximal trials (SMT; 80% of VO2peak for 1500 m) on a treadmill before and after 14 and 28 days of supplementation or PL. Respiratory (VE) metabolic (VO2, RER, lactate [La]), and cardiovascular (HR) variables were measured during the GXT and SMT, along with the first (VT1) and second ventilatory threshold (VT2) and TTE monitored during the GXT only. Within- and between-group differences were assessed using a repeated-measures mixed-model analysis of variance.

Results: Findings indicated that despite a trivial increase in VO2peak over 4 weeks, the βA group increased TTE by 6.5% compared to 1.4% in the PL group (d = 0.46). Additionally, small effects in HRmax, VE, [La], and TTE were observed between groups favoring βA. Regarding the SMT, both average HR and RER decreased by 4% in the βA group, with no changes for the PL.

Conclusions: Despite no evidence to suggest increases in VO2peak, practitioners should note that improvements in TTE may be observed after 28 days of βA supplementation in adolescent runners.

Abstract Image

Abstract Image

Abstract Image

补充β -丙氨酸可以提高中长跑运动员的疲劳时间,但不能提高有氧能力。
背景:β -丙氨酸(βA)是一种非必需氨基酸,据称用于提高有氧运动表现。虽然之前的研究表明βA对成年人的耗竭时间(TTE)和有氧能力(vo2峰值)有好处,但在青少年运动员中缺乏证据。因此,本研究的目的是确定补充4周βA对青少年跑步者有氧运动表现的影响。方法:将27名中长跑运动员(年龄17.36±2.17岁)随机分为βA组和安慰剂(PL)组(麦芽糊精)。受试者进行最大运动分级试验(GXT)和次最大运动分级试验(SMT);在GXT和SMT期间测量呼吸(VE)代谢(VO2, RER,乳酸[La])和心血管(HR)变量,以及仅在GXT期间监测第一(VT1)和第二通气阈值(VT2)和TTE。使用重复测量混合模型方差分析评估组内和组间差异。结果:研究结果表明,尽管在4周内vo2峰值略有增加,但βA组的TTE增加了6.5%,而PL组为1.4% (d = 0.46)。此外,在偏向βA的组之间,HRmax、VE、[La]和TTE的影响较小。关于SMT, βA组的平均HR和RER都下降了4%,而乳酸没有变化。结论:尽管没有证据表明VO2peak增加,从业者应该注意到,在青少年跑步者补充βA 28天后,可以观察到TTE的改善。
本文章由计算机程序翻译,如有差异,请以英文原文为准。
求助全文
约1分钟内获得全文 求助全文
来源期刊
Journal of the International Society of Sports Nutrition
Journal of the International Society of Sports Nutrition NUTRITION & DIETETICS-SPORT SCIENCES
CiteScore
8.80
自引率
3.90%
发文量
34
审稿时长
6-12 weeks
期刊介绍: Journal of the International Society of Sports Nutrition (JISSN) focuses on the acute and chronic effects of sports nutrition and supplementation strategies on body composition, physical performance and metabolism. JISSN is aimed at researchers and sport enthusiasts focused on delivering knowledge on exercise and nutrition on health, disease, rehabilitation, training, and performance. The journal provides a platform on which readers can determine nutritional strategies that may enhance exercise and/or training adaptations leading to improved health and performance.
×
引用
GB/T 7714-2015
复制
MLA
复制
APA
复制
导出至
BibTeX EndNote RefMan NoteFirst NoteExpress
×
提示
您的信息不完整,为了账户安全,请先补充。
现在去补充
×
提示
您因"违规操作"
具体请查看互助需知
我知道了
×
提示
确定
请完成安全验证×
copy
已复制链接
快去分享给好友吧!
我知道了
右上角分享
点击右上角分享
0
联系我们:info@booksci.cn Book学术提供免费学术资源搜索服务,方便国内外学者检索中英文文献。致力于提供最便捷和优质的服务体验。 Copyright © 2023 布克学术 All rights reserved.
京ICP备2023020795号-1
ghs 京公网安备 11010802042870号
Book学术文献互助
Book学术文献互助群
群 号:604180095
Book学术官方微信