Validation of PREdiction of DELIRium in ICu patients (PRE-DELIRIC) model for ICU delirium in general ICU and patients with liver disease: a retrospective cohort study.

IF 4.7 2区 医学 Q1 CRITICAL CARE MEDICINE
Areti Papadopoulou, Sarah L Cowan, Jacobus Preller, Robert J B Goudie
{"title":"Validation of PREdiction of DELIRium in ICu patients (PRE-DELIRIC) model for ICU delirium in general ICU and patients with liver disease: a retrospective cohort study.","authors":"Areti Papadopoulou, Sarah L Cowan, Jacobus Preller, Robert J B Goudie","doi":"10.1186/s40560-025-00800-3","DOIUrl":null,"url":null,"abstract":"<p><strong>Background: </strong>Delirium, a neuropsychiatric disorder characterized by disturbances in attention, cognition, and awareness, is a common complication among intensive care unit (ICU) patients. Several predictive models have been developed that aim to identify patients at high risk of delirium. PRE-DELIRIC (PREdiction of DELIRium in ICu) and its recalibrated version, have been externally validated in several studies, but modest sample sizes have meant uncertainty remains, particularly in patient subgroups. Of particular relevance to our population (as a tertiary liver disease centre), performance in patients with liver disease has not been specifically assessed.</p><p><strong>Methods: </strong>This retrospective cohort study evaluated the PRE-DELIRIC model using data from 3312 adult ICU patients at Cambridge University Hospital, between February 2017 and September 2021. Delirium was primarily defined as either a positive Confusion Assessment Method for the ICU (CAM-ICU) or any new administration of antipsychotic medication. Predictive performance was assessed according to discrimination, measured by the area under the receiver operating characteristic (AUROC) and precision-recall curves; and calibration, as quantified by calibration slope and intercept. We also conducted subgroup analyses in patients with liver disease, sedated patients, and across varying opioid dosing.</p><p><strong>Results: </strong>Delirium occurred in 32.9% of patients. Overall, PRE-DELIRIC demonstrated moderate-to-good discriminative performance (AUROC 0.74; 95% CI 0.72-0.76); but the model significantly underpredicted delirium incidence for those patients predicted to have moderate-to-high delirium risk (PRE-DELIRIC score 0.2-0.6); and overpredicted for those predicted to be at very high risk (PRE-DELIRIC score > 0.6). Among patients with liver disease (41.6% delirium incidence), discrimination was similar to the overall cohort (AUROC 0.73; 95% CI 0.66-0.81), but calibration was poor, with significant under-prediction of delirium. Discrimination was significantly poorer in both sedated patients and patients receiving high opioid dosing.</p><p><strong>Conclusion: </strong>This is the largest validation study of the PRE-DELIRIC model to date, and the first to specifically consider patients with liver disease. We found moderate-to-good discriminative predictive performance both overall and in liver disease patients, but calibration was only moderate overall, and significantly under-predicted risk in patients with liver disease. Recalibration of the model and further subgroup-specific adjustments may enhance its utility in clinical practice.</p>","PeriodicalId":16123,"journal":{"name":"Journal of Intensive Care","volume":"13 1","pages":"33"},"PeriodicalIF":4.7000,"publicationDate":"2025-06-16","publicationTypes":"Journal Article","fieldsOfStudy":null,"isOpenAccess":false,"openAccessPdf":"https://www.ncbi.nlm.nih.gov/pmc/articles/PMC12168250/pdf/","citationCount":"0","resultStr":null,"platform":"Semanticscholar","paperid":null,"PeriodicalName":"Journal of Intensive Care","FirstCategoryId":"3","ListUrlMain":"https://doi.org/10.1186/s40560-025-00800-3","RegionNum":2,"RegionCategory":"医学","ArticlePicture":[],"TitleCN":null,"AbstractTextCN":null,"PMCID":null,"EPubDate":"","PubModel":"","JCR":"Q1","JCRName":"CRITICAL CARE MEDICINE","Score":null,"Total":0}
引用次数: 0

Abstract

Background: Delirium, a neuropsychiatric disorder characterized by disturbances in attention, cognition, and awareness, is a common complication among intensive care unit (ICU) patients. Several predictive models have been developed that aim to identify patients at high risk of delirium. PRE-DELIRIC (PREdiction of DELIRium in ICu) and its recalibrated version, have been externally validated in several studies, but modest sample sizes have meant uncertainty remains, particularly in patient subgroups. Of particular relevance to our population (as a tertiary liver disease centre), performance in patients with liver disease has not been specifically assessed.

Methods: This retrospective cohort study evaluated the PRE-DELIRIC model using data from 3312 adult ICU patients at Cambridge University Hospital, between February 2017 and September 2021. Delirium was primarily defined as either a positive Confusion Assessment Method for the ICU (CAM-ICU) or any new administration of antipsychotic medication. Predictive performance was assessed according to discrimination, measured by the area under the receiver operating characteristic (AUROC) and precision-recall curves; and calibration, as quantified by calibration slope and intercept. We also conducted subgroup analyses in patients with liver disease, sedated patients, and across varying opioid dosing.

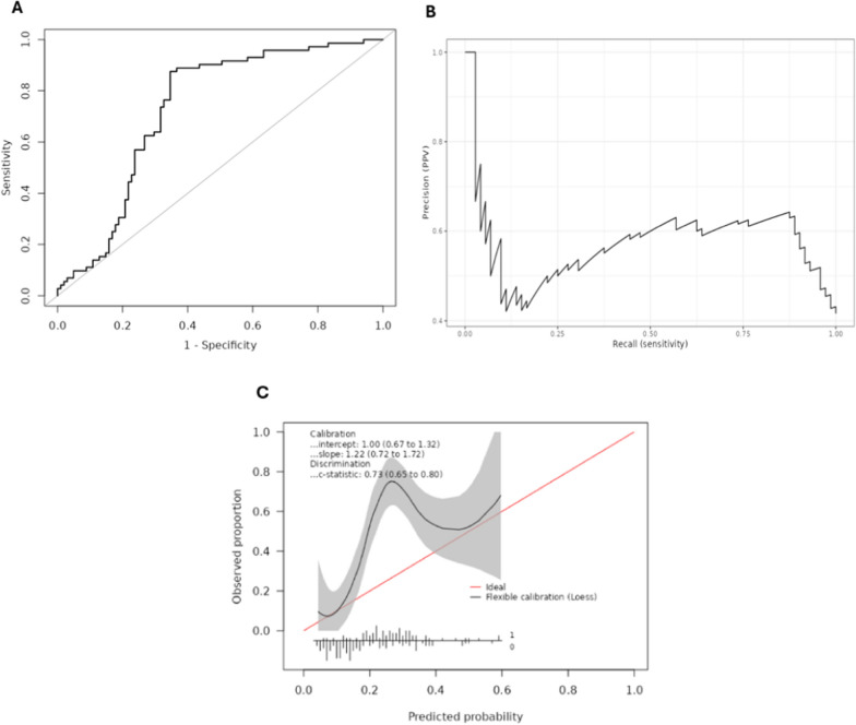
Results: Delirium occurred in 32.9% of patients. Overall, PRE-DELIRIC demonstrated moderate-to-good discriminative performance (AUROC 0.74; 95% CI 0.72-0.76); but the model significantly underpredicted delirium incidence for those patients predicted to have moderate-to-high delirium risk (PRE-DELIRIC score 0.2-0.6); and overpredicted for those predicted to be at very high risk (PRE-DELIRIC score > 0.6). Among patients with liver disease (41.6% delirium incidence), discrimination was similar to the overall cohort (AUROC 0.73; 95% CI 0.66-0.81), but calibration was poor, with significant under-prediction of delirium. Discrimination was significantly poorer in both sedated patients and patients receiving high opioid dosing.

Conclusion: This is the largest validation study of the PRE-DELIRIC model to date, and the first to specifically consider patients with liver disease. We found moderate-to-good discriminative predictive performance both overall and in liver disease patients, but calibration was only moderate overall, and significantly under-predicted risk in patients with liver disease. Recalibration of the model and further subgroup-specific adjustments may enhance its utility in clinical practice.

Abstract Image

Abstract Image

Abstract Image

普通ICu患者谵妄和肝病患者谵妄的预谵妄模型验证:一项回顾性队列研究。
背景:谵妄是一种以注意力、认知和意识障碍为特征的神经精神障碍,是重症监护病房(ICU)患者常见的并发症。已经开发了几个预测模型,旨在识别谵妄的高风险患者。预谵妄(ICu中谵妄的预测)及其重新校准版本已经在几项研究中得到了外部验证,但适度的样本量意味着不确定性仍然存在,特别是在患者亚组中。与我们的人群(作为三级肝病中心)特别相关的是,尚未对肝病患者的表现进行具体评估。方法:本回顾性队列研究使用剑桥大学医院2017年2月至2021年9月期间3312名成人ICU患者的数据评估预谵妄模型。谵妄主要被定义为ICU (CAM-ICU)的阳性神志不清评估方法或任何新的抗精神病药物管理。预测效果根据区分度进行评估,用受试者工作特征下面积(AUROC)和查准率-查全率曲线来衡量;校准,通过校准斜率和截距来量化。我们还对肝病患者、镇静患者和不同阿片类药物剂量的患者进行了亚组分析。结果:32.9%的患者出现谵妄。总体而言,谵妄前表现出中等至良好的判别表现(AUROC 0.74;95% ci 0.72-0.76);但该模型显著低估了预测有中度至高度谵妄风险的患者的谵妄发生率(谵妄前评分0.2-0.6);而对于那些被预测有非常高风险的人来说,他们的预测过高(谵妄前得分为0.6)。在肝病患者中(谵妄发生率为41.6%),辨别率与整体队列相似(AUROC 0.73;95% CI 0.66-0.81),但校准较差,对谵妄的预测明显不足。在镇静患者和接受高阿片类药物剂量的患者中,歧视明显较差。结论:这是迄今为止最大的PRE-DELIRIC模型验证研究,也是第一个专门考虑肝病患者的研究。我们发现总体和肝病患者的判别预测性能均为中等至良好,但校准总体上仅为中等,并且明显低于肝病患者的预测风险。重新校准模型和进一步的亚组特异性调整可能会提高其在临床实践中的效用。
本文章由计算机程序翻译,如有差异,请以英文原文为准。
求助全文
约1分钟内获得全文 求助全文
来源期刊
Journal of Intensive Care
Journal of Intensive Care Medicine-Critical Care and Intensive Care Medicine
CiteScore
11.90
自引率
1.40%
发文量
51
审稿时长
15 weeks
期刊介绍: "Journal of Intensive Care" is an open access journal dedicated to the comprehensive coverage of intensive care medicine, providing a platform for the latest research and clinical insights in this critical field. The journal covers a wide range of topics, including intensive and critical care, trauma and surgical intensive care, pediatric intensive care, acute and emergency medicine, perioperative medicine, resuscitation, infection control, and organ dysfunction. Recognizing the importance of cultural diversity in healthcare practices, "Journal of Intensive Care" also encourages submissions that explore and discuss the cultural aspects of intensive care, aiming to promote a more inclusive and culturally sensitive approach to patient care. By fostering a global exchange of knowledge and expertise, the journal contributes to the continuous improvement of intensive care practices worldwide.
×
引用
GB/T 7714-2015
复制
MLA
复制
APA
复制
导出至
BibTeX EndNote RefMan NoteFirst NoteExpress
×
提示
您的信息不完整,为了账户安全,请先补充。
现在去补充
×
提示
您因"违规操作"
具体请查看互助需知
我知道了
×
提示
确定
请完成安全验证×
copy
已复制链接
快去分享给好友吧!
我知道了
右上角分享
点击右上角分享
0
联系我们:info@booksci.cn Book学术提供免费学术资源搜索服务,方便国内外学者检索中英文文献。致力于提供最便捷和优质的服务体验。 Copyright © 2023 布克学术 All rights reserved.
京ICP备2023020795号-1
ghs 京公网安备 11010802042870号
Book学术文献互助
Book学术文献互助群
群 号:604180095
Book学术官方微信