Luteolin-Rich Fraction from Dracocephalum lindbergii: Promising Agent for Hypertension Treatment.

IF 1.5 Q2 MEDICINE, GENERAL & INTERNAL
International Journal of Preventive Medicine Pub Date : 2025-05-28 eCollection Date: 2025-01-01 DOI:10.4103/ijpvm.ijpvm_282_24
Zahra Pezeshki, Muhammad Hussein Vakily, Mahnaz Vaez, Mustafa Ghanadian
{"title":"Luteolin-Rich Fraction from <i>Dracocephalum lindbergii</i>: Promising Agent for Hypertension Treatment.","authors":"Zahra Pezeshki, Muhammad Hussein Vakily, Mahnaz Vaez, Mustafa Ghanadian","doi":"10.4103/ijpvm.ijpvm_282_24","DOIUrl":null,"url":null,"abstract":"<p><strong>Background: </strong>High blood pressure is one of the most critical issues in maintaining health; it requires prevention and management methods. In traditional medicine, the combination of medicinal plants was usually used to control high blood pressure. One of these plants is <i>Dracocephalum lindbergii</i>. Therefore, this article examines the vasodilating effects of the flavonoid fractions of this plant and deals with this extract as a new suggestion for the prevention and control of high blood pressure.</p><p><strong>Methods: </strong>This research evaluates the hemodynamic properties of flavonoid-rich fractions extracted from this plant in a rat model under conditions of blood pressure induction. First, the phytochemistry laboratory prepared flavonoid fractions by using a chromatography column. Then, after surgical preparation, the arterial pressure of the rats was controlled until stabilization, and it was possible to record basal systolic pressures (SYS), diastolic pressures (DBP), and mean arterial pressures (MAP). Hypertension was maintained by continuous phenylephrine infusion at 0.1 mg/kg per minute, while the vascular responses were monitored during the infusion. After the animal tests, polyamide and Sephadex columns were used to analyze the most bioactive fractions, which led to the isolation of several flavones identified by regular one- and two-dimensional NMR spectra.</p><p><strong>Results: </strong>In this model, administration of nifedipine led to an 8% decrease in SYS and a 9% decrease in DBP. Meanwhile, treatment with flavonoid-rich fractions 3, 4, 5, and 6 reduced SYS from 15% to 42% and DBP blood pressure from 6% to 30%. Among these samples, fraction number 6, followed by fraction number 4, showed more effects. Phytochemical studies of these fractions led to the identification of their major components probably responsible for observer effects, including apigenin (1) and apigenin-7-O-β-D-glucopyranoside (2), isolated from fraction number 4, as well as luteolin-4'-O-β-D-glucopyranoside (3) and luteolin-7-O-β-D-glucopyranoside (4) isolated from fraction 6. However, other minor components in fraction 6 are still possible with blood-pressure-lowering effects.</p><p><strong>Conclusions: </strong>Flavonoid fractions, especially fraction number 6, rich in luteolin derivatives, can provide promising results in reducing blood pressure based on traditional medicine and complementary intervention in a model of acute phenylephrine-induced blood pressure. This study highlights the importance and potency of luteolin-rich fractions of <i>D. lindbergii</i> to serve as a complementary intervention in essential blood pressure control.</p>","PeriodicalId":14342,"journal":{"name":"International Journal of Preventive Medicine","volume":"16 ","pages":"34"},"PeriodicalIF":1.5000,"publicationDate":"2025-05-28","publicationTypes":"Journal Article","fieldsOfStudy":null,"isOpenAccess":false,"openAccessPdf":"https://www.ncbi.nlm.nih.gov/pmc/articles/PMC12165610/pdf/","citationCount":"0","resultStr":null,"platform":"Semanticscholar","paperid":null,"PeriodicalName":"International Journal of Preventive Medicine","FirstCategoryId":"1085","ListUrlMain":"https://doi.org/10.4103/ijpvm.ijpvm_282_24","RegionNum":0,"RegionCategory":null,"ArticlePicture":[],"TitleCN":null,"AbstractTextCN":null,"PMCID":null,"EPubDate":"2025/1/1 0:00:00","PubModel":"eCollection","JCR":"Q2","JCRName":"MEDICINE, GENERAL & INTERNAL","Score":null,"Total":0}
引用次数: 0

Abstract

Background: High blood pressure is one of the most critical issues in maintaining health; it requires prevention and management methods. In traditional medicine, the combination of medicinal plants was usually used to control high blood pressure. One of these plants is Dracocephalum lindbergii. Therefore, this article examines the vasodilating effects of the flavonoid fractions of this plant and deals with this extract as a new suggestion for the prevention and control of high blood pressure.

Methods: This research evaluates the hemodynamic properties of flavonoid-rich fractions extracted from this plant in a rat model under conditions of blood pressure induction. First, the phytochemistry laboratory prepared flavonoid fractions by using a chromatography column. Then, after surgical preparation, the arterial pressure of the rats was controlled until stabilization, and it was possible to record basal systolic pressures (SYS), diastolic pressures (DBP), and mean arterial pressures (MAP). Hypertension was maintained by continuous phenylephrine infusion at 0.1 mg/kg per minute, while the vascular responses were monitored during the infusion. After the animal tests, polyamide and Sephadex columns were used to analyze the most bioactive fractions, which led to the isolation of several flavones identified by regular one- and two-dimensional NMR spectra.

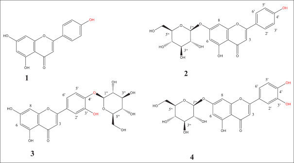
Results: In this model, administration of nifedipine led to an 8% decrease in SYS and a 9% decrease in DBP. Meanwhile, treatment with flavonoid-rich fractions 3, 4, 5, and 6 reduced SYS from 15% to 42% and DBP blood pressure from 6% to 30%. Among these samples, fraction number 6, followed by fraction number 4, showed more effects. Phytochemical studies of these fractions led to the identification of their major components probably responsible for observer effects, including apigenin (1) and apigenin-7-O-β-D-glucopyranoside (2), isolated from fraction number 4, as well as luteolin-4'-O-β-D-glucopyranoside (3) and luteolin-7-O-β-D-glucopyranoside (4) isolated from fraction 6. However, other minor components in fraction 6 are still possible with blood-pressure-lowering effects.

Conclusions: Flavonoid fractions, especially fraction number 6, rich in luteolin derivatives, can provide promising results in reducing blood pressure based on traditional medicine and complementary intervention in a model of acute phenylephrine-induced blood pressure. This study highlights the importance and potency of luteolin-rich fractions of D. lindbergii to serve as a complementary intervention in essential blood pressure control.

Abstract Image

Abstract Image

Abstract Image

富木犀草素提取物:治疗高血压的有效药物。
背景:高血压是维持健康最关键的问题之一;它需要预防和管理方法。在传统医学中,通常使用药用植物的组合来控制高血压。其中一种植物是林德伯格龙头草。因此,本文探讨了这种植物的类黄酮组分的血管扩张作用,并将其作为预防和控制高血压的新建议。方法:在血压诱导的大鼠模型中,研究黄酮类化合物提取物的血流动力学特性。首先,植物化学实验室利用色谱柱制备类黄酮组分。然后,手术准备后,控制大鼠的动脉压,直到稳定,并可以记录基础收缩压(SYS),舒张压(DBP)和平均动脉压(MAP)。以每分钟0.1 mg/kg的速度持续输注苯肾上腺素维持高血压,同时在输注期间监测血管反应。动物实验结束后,采用聚酰胺和Sephadex色谱柱对活性组分进行分析,分离出几种黄酮类化合物,并通过常规的一维和二维NMR谱进行鉴定。结果:在该模型中,给药硝苯地平导致SYS下降8%,DBP下降9%。与此同时,用富含类黄酮的3、4、5和6组分处理后,SYS从15%降低到42%,DBP从6%降低到30%。在这些样本中,分数6的效果最好,分数4的效果次之。对这些馏分进行植物化学研究,鉴定出可能导致观察者效应的主要成分,包括从馏分4中分离出的芹菜素(1)和芹菜素-7-O-β- d -葡萄糖苷(2),以及从馏分6中分离出的木犀草素-4'-O-β- d -葡萄糖苷(3)和木犀草素-7-O-β- d -葡萄糖苷(4)。然而,分数6中的其他少量成分仍然可能具有降血压的作用。结论:黄酮类化合物,尤其是富含木犀草素衍生物的6号组分,在传统药物和辅助干预的基础上对急性苯肾上腺素性血压模型具有良好的降压效果。本研究强调了林德伯格木犀草富含木犀草素的部分作为基本血压控制的补充干预的重要性和效力。
本文章由计算机程序翻译,如有差异,请以英文原文为准。
求助全文
约1分钟内获得全文 求助全文
来源期刊
International Journal of Preventive Medicine
International Journal of Preventive Medicine MEDICINE, GENERAL & INTERNAL-
CiteScore
3.20
自引率
4.80%
发文量
107
期刊介绍: International Journal of Preventive Medicine, a publication of Isfahan University of Medical Sciences, is a peer-reviewed online journal with Continuous print on demand compilation of issues published. The journal’s full text is available online at http://www.ijpvmjournal.net. The journal allows free access (Open Access) to its contents and permits authors to self-archive final accepted version of the articles on any OAI-compliant institutional / subject-based repository. The journal will cover technical and clinical studies related to health, ethical and social issues in field of Preventive Medicine. Articles with clinical interest and implications will be given preference.
×
引用
GB/T 7714-2015
复制
MLA
复制
APA
复制
导出至
BibTeX EndNote RefMan NoteFirst NoteExpress
×
提示
您的信息不完整,为了账户安全,请先补充。
现在去补充
×
提示
您因"违规操作"
具体请查看互助需知
我知道了
×
提示
确定
请完成安全验证×
copy
已复制链接
快去分享给好友吧!
我知道了
右上角分享
点击右上角分享
0
联系我们:info@booksci.cn Book学术提供免费学术资源搜索服务,方便国内外学者检索中英文文献。致力于提供最便捷和优质的服务体验。 Copyright © 2023 布克学术 All rights reserved.
京ICP备2023020795号-1
ghs 京公网安备 11010802042870号
Book学术文献互助
Book学术文献互助群
群 号:604180095
Book学术官方微信