Promoting resilience in stress management (PRISM) for patients with early stage breast cancer: a pilot feasibility study.

IF 3 3区 医学 Q2 ONCOLOGY
Breast Cancer Research and Treatment Pub Date : 2025-08-01 Epub Date: 2025-06-16 DOI:10.1007/s10549-025-07741-3
Gabrielle B Rocque, Etzael Ortiz Olguin, Jessi M Shuey, Tanvi Padalkar, Courtney P Williams, Andres Azuero, Ana Falcao, Nicole L Henderson, Chloe J Taub, Molly Ream, Joyce P Yi-Frazier, Courtney C Junkins, Katherine Reeder-Hayes, Abby R Rosenberg
{"title":"Promoting resilience in stress management (PRISM) for patients with early stage breast cancer: a pilot feasibility study.","authors":"Gabrielle B Rocque, Etzael Ortiz Olguin, Jessi M Shuey, Tanvi Padalkar, Courtney P Williams, Andres Azuero, Ana Falcao, Nicole L Henderson, Chloe J Taub, Molly Ream, Joyce P Yi-Frazier, Courtney C Junkins, Katherine Reeder-Hayes, Abby R Rosenberg","doi":"10.1007/s10549-025-07741-3","DOIUrl":null,"url":null,"abstract":"<p><strong>Purpose: </strong>Women with breast cancer often experience persistent psychological distress. Promoting resilience in stress management (PRISM) is a manualized, skills-based, psychosocial intervention shown to promote resilience and alleviate psychological distress among adolescents and young adults with cancer.</p><p><strong>Methods: </strong>This pilot, convergent mixed methods study examined PRISM's feasibility and in-sample preliminary impact (single-group) on psychosocial outcomes of women with early stage breast cancer (EBC). Women receiving chemotherapy for stage I-III breast cancer completed six standard PRISM sessions focused on rapport building, stress management, goal setting, cognitive reframing, meaning-making, and family integration. Feasibility, the primary outcome, was defined as 70% of participants completing all intervention sessions and pre-post survey. Secondary outcomes included intervention acceptability, appropriateness, and 8 psychosocial outcomes. Patient perspectives on PRISM were elucidated via qualitative interviews and deductively analyze. Pre- and post-intervention changes in survey scores were analyzed using paired t-tests and Cohen's d effect size.</p><p><strong>Results: </strong>Of 57 patients approached, 30 (53%) participated in PRISM; participants were 57% Black with median age of 51 years (IQR 47-59). PRISM sessions were feasible based on the 83% completion rate. Additional secondary implementation outcomes also demonstrated feasibility, acceptability, and appropriateness using validated survey measured. The largest effects were observed in participants' resilience (d = 0.6), growth (d = 0.5), and self-improvement (d = 0.5). Interviews supported both feasibility and impact of PRISM.</p><p><strong>Conclusion: </strong>The PRISM-EBC intervention was feasible, and pre-post changes suggest potential benefit, warranting further investigation in a future randomized controlled trial.</p>","PeriodicalId":9133,"journal":{"name":"Breast Cancer Research and Treatment","volume":" ","pages":"487-497"},"PeriodicalIF":3.0000,"publicationDate":"2025-08-01","publicationTypes":"Journal Article","fieldsOfStudy":null,"isOpenAccess":false,"openAccessPdf":"https://www.ncbi.nlm.nih.gov/pmc/articles/PMC12209016/pdf/","citationCount":"0","resultStr":null,"platform":"Semanticscholar","paperid":null,"PeriodicalName":"Breast Cancer Research and Treatment","FirstCategoryId":"3","ListUrlMain":"https://doi.org/10.1007/s10549-025-07741-3","RegionNum":3,"RegionCategory":"医学","ArticlePicture":[],"TitleCN":null,"AbstractTextCN":null,"PMCID":null,"EPubDate":"2025/6/16 0:00:00","PubModel":"Epub","JCR":"Q2","JCRName":"ONCOLOGY","Score":null,"Total":0}
引用次数: 0

Abstract

Purpose: Women with breast cancer often experience persistent psychological distress. Promoting resilience in stress management (PRISM) is a manualized, skills-based, psychosocial intervention shown to promote resilience and alleviate psychological distress among adolescents and young adults with cancer.

Methods: This pilot, convergent mixed methods study examined PRISM's feasibility and in-sample preliminary impact (single-group) on psychosocial outcomes of women with early stage breast cancer (EBC). Women receiving chemotherapy for stage I-III breast cancer completed six standard PRISM sessions focused on rapport building, stress management, goal setting, cognitive reframing, meaning-making, and family integration. Feasibility, the primary outcome, was defined as 70% of participants completing all intervention sessions and pre-post survey. Secondary outcomes included intervention acceptability, appropriateness, and 8 psychosocial outcomes. Patient perspectives on PRISM were elucidated via qualitative interviews and deductively analyze. Pre- and post-intervention changes in survey scores were analyzed using paired t-tests and Cohen's d effect size.

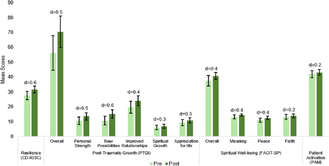
Results: Of 57 patients approached, 30 (53%) participated in PRISM; participants were 57% Black with median age of 51 years (IQR 47-59). PRISM sessions were feasible based on the 83% completion rate. Additional secondary implementation outcomes also demonstrated feasibility, acceptability, and appropriateness using validated survey measured. The largest effects were observed in participants' resilience (d = 0.6), growth (d = 0.5), and self-improvement (d = 0.5). Interviews supported both feasibility and impact of PRISM.

Conclusion: The PRISM-EBC intervention was feasible, and pre-post changes suggest potential benefit, warranting further investigation in a future randomized controlled trial.

Abstract Image

Abstract Image

Abstract Image

促进早期乳腺癌患者压力管理(PRISM)中的复原力:一项试点可行性研究。
目的:患有乳腺癌的女性经常经历持续的心理困扰。在压力管理中促进恢复力(PRISM)是一种手动的、基于技能的社会心理干预,旨在促进青少年和青年癌症患者的恢复力并减轻心理困扰。方法:这项试点、融合混合方法研究检验了PRISM的可行性和样本内(单组)对早期乳腺癌(EBC)妇女心理社会结局的初步影响。接受I-III期乳腺癌化疗的妇女完成了六个标准的PRISM疗程,重点是建立融洽关系、压力管理、目标设定、认知重构、意义制定和家庭融合。可行性,主要结果,被定义为70%的参与者完成所有干预课程和前后调查。次要结局包括干预的可接受性、适当性和8个社会心理结局。通过定性访谈和演绎分析阐明患者对PRISM的看法。使用配对t检验和科恩效应量分析干预前和干预后调查得分的变化。结果:57例患者中,30例(53%)参加了PRISM;参与者中57%为黑人,中位年龄51岁(IQR 47-59)。基于83%的完成率,PRISM疗程是可行的。额外的次要实施结果也证明了可行性、可接受性和适当性,使用有效的调查测量。影响最大的是参与者的弹性(d = 0.6)、成长(d = 0.5)和自我完善(d = 0.5)。访谈支持PRISM的可行性和影响。结论:PRISM-EBC干预是可行的,前后变化提示潜在的益处,值得在未来的随机对照试验中进一步研究。
本文章由计算机程序翻译,如有差异,请以英文原文为准。
求助全文
约1分钟内获得全文 求助全文
来源期刊
CiteScore
6.80
自引率
2.60%
发文量
342
审稿时长
1 months
期刊介绍: Breast Cancer Research and Treatment provides the surgeon, radiotherapist, medical oncologist, endocrinologist, epidemiologist, immunologist or cell biologist investigating problems in breast cancer a single forum for communication. The journal creates a "market place" for breast cancer topics which cuts across all the usual lines of disciplines, providing a site for presenting pertinent investigations, and for discussing critical questions relevant to the entire field. It seeks to develop a new focus and new perspectives for all those concerned with breast cancer.
×
引用
GB/T 7714-2015
复制
MLA
复制
APA
复制
导出至
BibTeX EndNote RefMan NoteFirst NoteExpress
×
提示
您的信息不完整,为了账户安全,请先补充。
现在去补充
×
提示
您因"违规操作"
具体请查看互助需知
我知道了
×
提示
确定
请完成安全验证×
copy
已复制链接
快去分享给好友吧!
我知道了
右上角分享
点击右上角分享
0
联系我们:info@booksci.cn Book学术提供免费学术资源搜索服务,方便国内外学者检索中英文文献。致力于提供最便捷和优质的服务体验。 Copyright © 2023 布克学术 All rights reserved.
京ICP备2023020795号-1
ghs 京公网安备 11010802042870号
Book学术文献互助
Book学术文献互助群
群 号:604180095
Book学术官方微信