Sex-specific differences of advanced glycation end products in diabetes.

IF 5.2 2区 医学 Q1 ENDOCRINOLOGY & METABOLISM
Michael Hellwig, Julia Decker, Leticia Prates Roma, Stefan Schunk, Emmanuel Ampofo, Sandra Rother
{"title":"Sex-specific differences of advanced glycation end products in diabetes.","authors":"Michael Hellwig, Julia Decker, Leticia Prates Roma, Stefan Schunk, Emmanuel Ampofo, Sandra Rother","doi":"10.1038/s41387-025-00379-6","DOIUrl":null,"url":null,"abstract":"<p><p>Advanced glycation end products (AGEs) are formed through non-enzymatic glycation reactions and accumulate in tissues, particularly under pathological conditions such as diabetes mellitus. These compounds are linked to the progression of diabetic complications, including nephropathy, retinopathy, and cardiovascular disease, through mechanisms such as oxidative stress and chronic inflammation. Emerging evidence suggests significant sex-specific differences in AGE formation, accumulation, and their biological effects, influenced by hormonal variations, dietary patterns, and metabolic differences. While the underlying biochemistry of AGE formation, such as the Maillard reaction and dicarbonyl compound activity, is well-characterized, the implications of these processes for clinical outcomes remain underexplored. This mini-review highlights the interplay between molecular mechanisms and sex-specific factors in AGE-related pathophysiology. It further discusses potential therapeutic approaches targeting AGE formation and receptor-mediated pathways, emphasizing the importance of integrating sex-specific considerations into diabetes management. Bridging molecular insights with clinical practice could advance personalized treatment strategies for diabetic complications.</p>","PeriodicalId":19339,"journal":{"name":"Nutrition & Diabetes","volume":"15 1","pages":"27"},"PeriodicalIF":5.2000,"publicationDate":"2025-06-14","publicationTypes":"Journal Article","fieldsOfStudy":null,"isOpenAccess":false,"openAccessPdf":"https://www.ncbi.nlm.nih.gov/pmc/articles/PMC12167377/pdf/","citationCount":"0","resultStr":null,"platform":"Semanticscholar","paperid":null,"PeriodicalName":"Nutrition & Diabetes","FirstCategoryId":"3","ListUrlMain":"https://doi.org/10.1038/s41387-025-00379-6","RegionNum":2,"RegionCategory":"医学","ArticlePicture":[],"TitleCN":null,"AbstractTextCN":null,"PMCID":null,"EPubDate":"","PubModel":"","JCR":"Q1","JCRName":"ENDOCRINOLOGY & METABOLISM","Score":null,"Total":0}
引用次数: 0

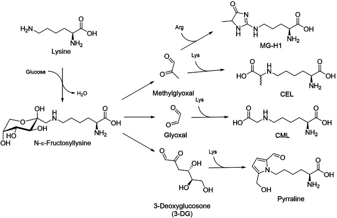
Abstract

Advanced glycation end products (AGEs) are formed through non-enzymatic glycation reactions and accumulate in tissues, particularly under pathological conditions such as diabetes mellitus. These compounds are linked to the progression of diabetic complications, including nephropathy, retinopathy, and cardiovascular disease, through mechanisms such as oxidative stress and chronic inflammation. Emerging evidence suggests significant sex-specific differences in AGE formation, accumulation, and their biological effects, influenced by hormonal variations, dietary patterns, and metabolic differences. While the underlying biochemistry of AGE formation, such as the Maillard reaction and dicarbonyl compound activity, is well-characterized, the implications of these processes for clinical outcomes remain underexplored. This mini-review highlights the interplay between molecular mechanisms and sex-specific factors in AGE-related pathophysiology. It further discusses potential therapeutic approaches targeting AGE formation and receptor-mediated pathways, emphasizing the importance of integrating sex-specific considerations into diabetes management. Bridging molecular insights with clinical practice could advance personalized treatment strategies for diabetic complications.

Abstract Image

Abstract Image

Abstract Image

糖尿病晚期糖基化终产物的性别差异。
晚期糖基化终产物(AGEs)通过非酶糖基化反应形成并在组织中积累,特别是在糖尿病等病理条件下。这些化合物通过氧化应激和慢性炎症等机制与糖尿病并发症的进展有关,包括肾病、视网膜病变和心血管疾病。新出现的证据表明,受激素变化、饮食模式和代谢差异的影响,AGE的形成、积累及其生物学效应存在显著的性别差异。虽然AGE形成的潜在生物化学,如美拉德反应和二羰基化合物活性,已经得到了很好的表征,但这些过程对临床结果的影响仍未得到充分探讨。这篇小综述强调了在与年龄相关的病理生理中分子机制和性别特异性因素之间的相互作用。它进一步讨论了针对AGE形成和受体介导途径的潜在治疗方法,强调了将性别特异性考虑纳入糖尿病管理的重要性。将分子的见解与临床实践相结合,可以推进糖尿病并发症的个性化治疗策略。
本文章由计算机程序翻译,如有差异,请以英文原文为准。
求助全文
约1分钟内获得全文 求助全文
来源期刊
Nutrition & Diabetes
Nutrition & Diabetes ENDOCRINOLOGY & METABOLISM-NUTRITION & DIETETICS
CiteScore
9.20
自引率
0.00%
发文量
50
审稿时长
>12 weeks
期刊介绍: Nutrition & Diabetes is a peer-reviewed, online, open access journal bringing to the fore outstanding research in the areas of nutrition and chronic disease, including diabetes, from the molecular to the population level.
×
引用
GB/T 7714-2015
复制
MLA
复制
APA
复制
导出至
BibTeX EndNote RefMan NoteFirst NoteExpress
×
提示
您的信息不完整,为了账户安全,请先补充。
现在去补充
×
提示
您因"违规操作"
具体请查看互助需知
我知道了
×
提示
确定
请完成安全验证×
copy
已复制链接
快去分享给好友吧!
我知道了
右上角分享
点击右上角分享
0
联系我们:info@booksci.cn Book学术提供免费学术资源搜索服务,方便国内外学者检索中英文文献。致力于提供最便捷和优质的服务体验。 Copyright © 2023 布克学术 All rights reserved.
京ICP备2023020795号-1
ghs 京公网安备 11010802042870号
Book学术文献互助
Book学术文献互助群
群 号:604180095
Book学术官方微信