Virtual physiological analysis of non-culprit disease in patients with STEMI and multivessel disease: a substudy of the COMPLETE trial.

European heart journal open Pub Date : 2025-06-11 eCollection Date: 2025-05-01 DOI:10.1093/ehjopen/oeaf057
Gareth J Williams, Daniel J Taylor, Abdulaziz Al Baraikan, Hazel Haley, Mina Ghobrial, Matthew Knight, Kenneth Anigboro, Vignesh Rammohan, Rebecca Gosling, Tom Newman, Mark Mills, Rod Hose, David A Wood, John A Cairns, Chinthanie Ramasundarahettige, Rutaba Khatun, Helen Nguyen, Shamir R Mehta, Robert F Storey, Julian P Gunn, Paul D Morris
{"title":"Virtual physiological analysis of non-culprit disease in patients with STEMI and multivessel disease: a substudy of the COMPLETE trial.","authors":"Gareth J Williams, Daniel J Taylor, Abdulaziz Al Baraikan, Hazel Haley, Mina Ghobrial, Matthew Knight, Kenneth Anigboro, Vignesh Rammohan, Rebecca Gosling, Tom Newman, Mark Mills, Rod Hose, David A Wood, John A Cairns, Chinthanie Ramasundarahettige, Rutaba Khatun, Helen Nguyen, Shamir R Mehta, Robert F Storey, Julian P Gunn, Paul D Morris","doi":"10.1093/ehjopen/oeaf057","DOIUrl":null,"url":null,"abstract":"<p><strong>Aims: </strong>In the complete revascularization with multivessel PCI for myocardial infarction (COMPLETE) trial, staged complete revascularization in patients with ST-segment-elevation myocardial infarction (MI) reduced major adverse cardiovascular events compared with culprit-only revascularization. Inclusion was based on angiographic criteria.</p><p><strong>Objectives: </strong>We modelled non-culprit virtual fractional flow reserve (vFFR) and investigated interactions between physiological lesion severity and the benefits of complete revascularization in COMPLETE.</p><p><strong>Methods and results: </strong>All suitable angiograms from COMPLETE underwent software-based 3-dimensional (3D) arterial reconstruction and analysis of 3D-quantitative coronary angiography (QCA) and vFFR using computational fluid dynamics software. Physiological lesion significance was defined as vFFR ≤0.80 and was compared with operators' visual angiographic analysis, 2D-QCA and 3D-QCA. vFFR was computed in 635 patients (710 lesions). 302 patients (48%) had ≥1 physiologically significant lesion and 333 (52%) had none. 321 (45%) lesions were physiologically significant and 389 (55%) were not. There was no statistically significant interaction between physiological lesion significance and any of the trial co-primary or key secondary clinical outcomes, or an exploratory outcome of ischaemia-driven revascularization without preceding MI (all interaction <i>P</i> > 0.30). 3D-QCA predicted vFFR significance more accurately than visual and 2D-QCA (concordance 73% vs. 49% vs. 59%, respectively).</p><p><strong>Conclusion: </strong>In this virtual physiological substudy of the COMPLETE trial, 52% of patients lacked any physiologically significant lesions and the benefits of complete revascularization appeared to be independent of physiological lesion significance. 3D-QCA was a better predictor of physiological significance than either 2D-QCA or operator visual analysis. Further research is warranted to compare angiography-guided and physiology-guided complete revascularization strategies.</p>","PeriodicalId":93995,"journal":{"name":"European heart journal open","volume":"5 3","pages":"oeaf057"},"PeriodicalIF":0.0000,"publicationDate":"2025-06-11","publicationTypes":"Journal Article","fieldsOfStudy":null,"isOpenAccess":false,"openAccessPdf":"https://www.ncbi.nlm.nih.gov/pmc/articles/PMC12152305/pdf/","citationCount":"0","resultStr":null,"platform":"Semanticscholar","paperid":null,"PeriodicalName":"European heart journal open","FirstCategoryId":"1085","ListUrlMain":"https://doi.org/10.1093/ehjopen/oeaf057","RegionNum":0,"RegionCategory":null,"ArticlePicture":[],"TitleCN":null,"AbstractTextCN":null,"PMCID":null,"EPubDate":"2025/5/1 0:00:00","PubModel":"eCollection","JCR":"","JCRName":"","Score":null,"Total":0}
引用次数: 0

Abstract

Aims: In the complete revascularization with multivessel PCI for myocardial infarction (COMPLETE) trial, staged complete revascularization in patients with ST-segment-elevation myocardial infarction (MI) reduced major adverse cardiovascular events compared with culprit-only revascularization. Inclusion was based on angiographic criteria.

Objectives: We modelled non-culprit virtual fractional flow reserve (vFFR) and investigated interactions between physiological lesion severity and the benefits of complete revascularization in COMPLETE.

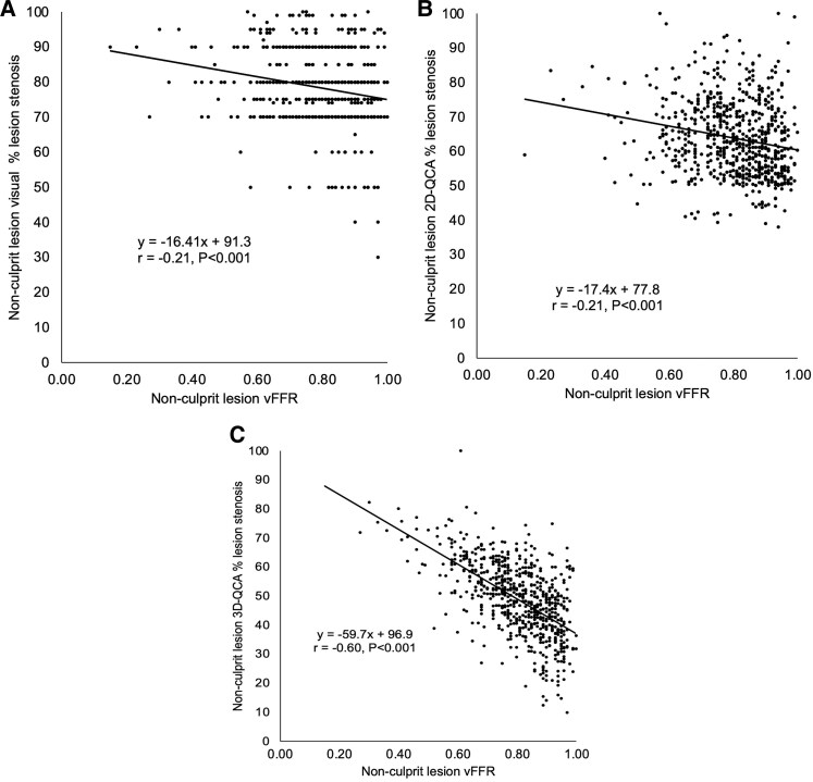
Methods and results: All suitable angiograms from COMPLETE underwent software-based 3-dimensional (3D) arterial reconstruction and analysis of 3D-quantitative coronary angiography (QCA) and vFFR using computational fluid dynamics software. Physiological lesion significance was defined as vFFR ≤0.80 and was compared with operators' visual angiographic analysis, 2D-QCA and 3D-QCA. vFFR was computed in 635 patients (710 lesions). 302 patients (48%) had ≥1 physiologically significant lesion and 333 (52%) had none. 321 (45%) lesions were physiologically significant and 389 (55%) were not. There was no statistically significant interaction between physiological lesion significance and any of the trial co-primary or key secondary clinical outcomes, or an exploratory outcome of ischaemia-driven revascularization without preceding MI (all interaction P > 0.30). 3D-QCA predicted vFFR significance more accurately than visual and 2D-QCA (concordance 73% vs. 49% vs. 59%, respectively).

Conclusion: In this virtual physiological substudy of the COMPLETE trial, 52% of patients lacked any physiologically significant lesions and the benefits of complete revascularization appeared to be independent of physiological lesion significance. 3D-QCA was a better predictor of physiological significance than either 2D-QCA or operator visual analysis. Further research is warranted to compare angiography-guided and physiology-guided complete revascularization strategies.

Abstract Image

Abstract Image

Abstract Image

STEMI和多血管疾病患者非罪魁祸首疾病的虚拟生理分析:COMPLETE试验的一个亚研究
目的:在心肌梗死多支PCI完全血运重建术(complete)试验中,st段抬高型心肌梗死(MI)患者分阶段完全血运重建术与单纯的罪魁祸首血运重建术相比,减少了主要不良心血管事件。纳入基于血管造影标准。目的:我们模拟了非罪魁祸首虚拟分数血流储备(vFFR),并研究了complete中生理损伤严重程度与完全血运重建益处之间的相互作用。方法和结果:所有来自COMPLETE的合适的血管图像都进行了基于软件的三维(3D)动脉重建,并使用计算流体动力学软件进行了三维定量冠状动脉造影(QCA)和vFFR分析。生理病变显著性定义为vFFR≤0.80,并与操作者血管造影分析、2D-QCA、3D-QCA进行比较。计算了635例患者(710个病灶)的vFFR。302例(48%)患者有≥1个显著性生理病变,333例(52%)患者无显著性生理病变。321例(45%)病变具有生理意义,389例(55%)无。生理病变的显著性与任何试验的共同主要或关键次要临床结局,或缺血驱动的无心肌梗死的探索性结局之间无统计学意义的相互作用(所有相互作用P < 0.30)。3D-QCA比视觉和2D-QCA更准确地预测vFFR的显著性(一致性分别为73%、49%和59%)。结论:在COMPLETE试验的虚拟生理亚研究中,52%的患者没有任何生理上的显著病变,完全血运重建术的益处似乎独立于生理病变的显著性。3D-QCA比2D-QCA或操作者视觉分析更能预测生理意义。进一步的研究需要比较血管造影引导和生理引导下的完全血运重建策略。
本文章由计算机程序翻译,如有差异,请以英文原文为准。
求助全文
约1分钟内获得全文 求助全文
来源期刊
CiteScore
2.80
自引率
0.00%
发文量
0
×
引用
GB/T 7714-2015
复制
MLA
复制
APA
复制
导出至
BibTeX EndNote RefMan NoteFirst NoteExpress
×
提示
您的信息不完整,为了账户安全,请先补充。
现在去补充
×
提示
您因"违规操作"
具体请查看互助需知
我知道了
×
提示
确定
请完成安全验证×
copy
已复制链接
快去分享给好友吧!
我知道了
右上角分享
点击右上角分享
0
联系我们:info@booksci.cn Book学术提供免费学术资源搜索服务,方便国内外学者检索中英文文献。致力于提供最便捷和优质的服务体验。 Copyright © 2023 布克学术 All rights reserved.
京ICP备2023020795号-1
ghs 京公网安备 11010802042870号
Book学术文献互助
Book学术文献互助群
群 号:604180095
Book学术官方微信