Synergistic effect of Maquiberry cystatin, sodium fluoride and stannous chloride for the prevention of initial dental erosion in vitro.

IF 2.6 3区 医学 Q2 DENTISTRY, ORAL SURGERY & MEDICINE
Journal of Applied Oral Science Pub Date : 2025-06-09 eCollection Date: 2025-01-01 DOI:10.1590/1678-7757-2024-0479
Vinícius Taioqui Pelá, Thelma Lopes Silva, Even Akemi Taira, Geórgia Almeida Sant'ana, Letícia Oba Sakae, Flávia Mauad Levy, Taís Scaramucci Forlin, Eduardo Pereira de Souza, Talita Mendes Oliveira Ventura, Thiago Saads Carvalho, Adrian Lussi, Marília Afonso Rabelo Buzalaf
{"title":"Synergistic effect of Maquiberry cystatin, sodium fluoride and stannous chloride for the prevention of initial dental erosion in vitro.","authors":"Vinícius Taioqui Pelá, Thelma Lopes Silva, Even Akemi Taira, Geórgia Almeida Sant'ana, Letícia Oba Sakae, Flávia Mauad Levy, Taís Scaramucci Forlin, Eduardo Pereira de Souza, Talita Mendes Oliveira Ventura, Thiago Saads Carvalho, Adrian Lussi, Marília Afonso Rabelo Buzalaf","doi":"10.1590/1678-7757-2024-0479","DOIUrl":null,"url":null,"abstract":"<p><strong>Objective: </strong>This study analyzed the synergistic effect between a recombinant Maquiberry (MaquiCPI-3) protein, sodium fluoride (NaF), and stannous chloride (SnCl2) against initial dental erosion in vitro.</p><p><strong>Methodology: </strong>A total of 98 bovine enamel samples were prepared and allocated to seven treatment groups (n=14/group) as follows: deionized water (Water); commercial solution, 800 ppm Sn+2, 500 ppm F-, ElmexTM, Erosion, GABA, Therwil, BL, CH (Elmex); 500 ppm of fluoride (F-) from NaF (NaF); 500 ppm of F- from NaF and 800 ppm of tin (Sn+2) from SnCl2 (NaF+SnCl); 0.5 mg/mL MaquiCPI-3 (MaquiCPI-3); combination of MaquiCPI-3 and NaF (Maqui+NaF) and; combination of MaquiCPI-3, NaF and SnCl (Maqui+NaF+SnCl). Samples were treated with the respective solutions (250 μl, 2 min, 37°C, 250 rpm). After forming the acquired enamel pellicle (AEP) by adding human saliva from nine volunteers (250 μl, 1 h, 37°C, 250 rpm), the samples underwent acid challenge (1 mL, 1% citric acid, pH 3.6, 1 min, 25°C, 250 rpm). All procedures were performed in triplicate. Surface microhardness change percentage (%SMC) and relative surface reflection intensity (%SRI) were measured and analyzed by One-way ANOVA/Tukey's tests (p<0.05).</p><p><strong>Results: </strong>The Elmex, NaF, NaF+SnCl, MaquiCPI-3, Maqui+NaF, and Maqui+NaF+SnCl groups showed significantly lower %SMC compared with Water. The NaF, Sn+2, NaF+SnCl, MaquiCPI-3, Maqui+NaF and Maqui+NaF+SnCl groups exhibited significantly greater protection compared with Elmex. Maqui+NaF+SnCl revealed better enamel protection (significant) when compared with the MaquiCPI-3 and Maqui+NaF groups. Elmex, NaF+SnCl, MaquiCPI-3, Maqui+NaF, and Maqui+NaF+SnCl had a significantly higher %SRI compared to the Water and NaF groups, which did not differ between each other.</p><p><strong>Conclusion: </strong>All treatment solutions provided protection against initial dental erosion in vitro. Formulations containing Maqui+NaF+SnCl2 offered superior enamel protection compared with MaquiCPI-3 alone.</p>","PeriodicalId":15133,"journal":{"name":"Journal of Applied Oral Science","volume":"33 ","pages":"e20240479"},"PeriodicalIF":2.6000,"publicationDate":"2025-06-09","publicationTypes":"Journal Article","fieldsOfStudy":null,"isOpenAccess":false,"openAccessPdf":"https://www.ncbi.nlm.nih.gov/pmc/articles/PMC12212056/pdf/","citationCount":"0","resultStr":null,"platform":"Semanticscholar","paperid":null,"PeriodicalName":"Journal of Applied Oral Science","FirstCategoryId":"3","ListUrlMain":"https://doi.org/10.1590/1678-7757-2024-0479","RegionNum":3,"RegionCategory":"医学","ArticlePicture":[],"TitleCN":null,"AbstractTextCN":null,"PMCID":null,"EPubDate":"2025/1/1 0:00:00","PubModel":"eCollection","JCR":"Q2","JCRName":"DENTISTRY, ORAL SURGERY & MEDICINE","Score":null,"Total":0}
引用次数: 0

Abstract

Objective: This study analyzed the synergistic effect between a recombinant Maquiberry (MaquiCPI-3) protein, sodium fluoride (NaF), and stannous chloride (SnCl2) against initial dental erosion in vitro.

Methodology: A total of 98 bovine enamel samples were prepared and allocated to seven treatment groups (n=14/group) as follows: deionized water (Water); commercial solution, 800 ppm Sn+2, 500 ppm F-, ElmexTM, Erosion, GABA, Therwil, BL, CH (Elmex); 500 ppm of fluoride (F-) from NaF (NaF); 500 ppm of F- from NaF and 800 ppm of tin (Sn+2) from SnCl2 (NaF+SnCl); 0.5 mg/mL MaquiCPI-3 (MaquiCPI-3); combination of MaquiCPI-3 and NaF (Maqui+NaF) and; combination of MaquiCPI-3, NaF and SnCl (Maqui+NaF+SnCl). Samples were treated with the respective solutions (250 μl, 2 min, 37°C, 250 rpm). After forming the acquired enamel pellicle (AEP) by adding human saliva from nine volunteers (250 μl, 1 h, 37°C, 250 rpm), the samples underwent acid challenge (1 mL, 1% citric acid, pH 3.6, 1 min, 25°C, 250 rpm). All procedures were performed in triplicate. Surface microhardness change percentage (%SMC) and relative surface reflection intensity (%SRI) were measured and analyzed by One-way ANOVA/Tukey's tests (p<0.05).

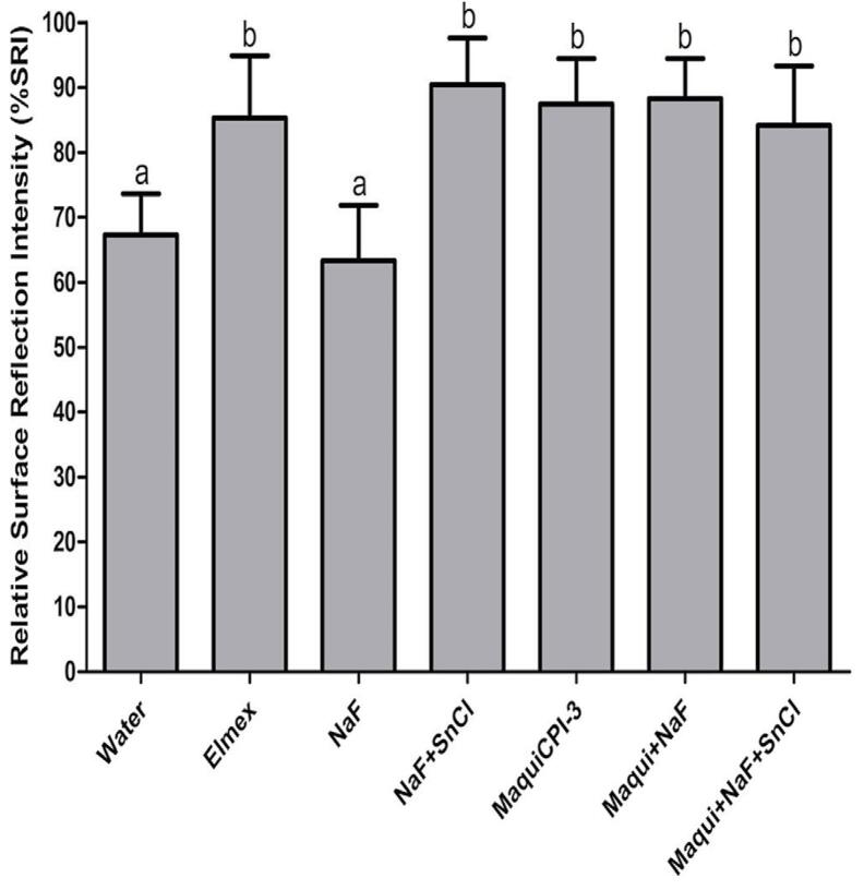
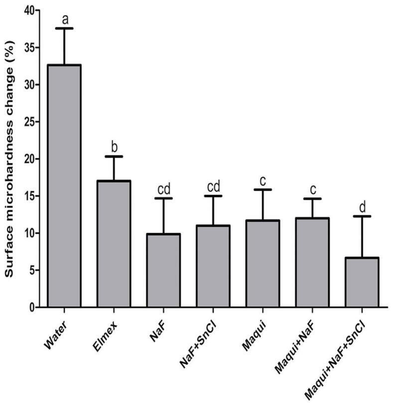
Results: The Elmex, NaF, NaF+SnCl, MaquiCPI-3, Maqui+NaF, and Maqui+NaF+SnCl groups showed significantly lower %SMC compared with Water. The NaF, Sn+2, NaF+SnCl, MaquiCPI-3, Maqui+NaF and Maqui+NaF+SnCl groups exhibited significantly greater protection compared with Elmex. Maqui+NaF+SnCl revealed better enamel protection (significant) when compared with the MaquiCPI-3 and Maqui+NaF groups. Elmex, NaF+SnCl, MaquiCPI-3, Maqui+NaF, and Maqui+NaF+SnCl had a significantly higher %SRI compared to the Water and NaF groups, which did not differ between each other.

Conclusion: All treatment solutions provided protection against initial dental erosion in vitro. Formulations containing Maqui+NaF+SnCl2 offered superior enamel protection compared with MaquiCPI-3 alone.

Abstract Image

Abstract Image

Abstract Image

猕猴桃胱抑素、氟化钠和氯化亚锡对体外预防初始牙蚀的协同作用。
目的:研究重组Maquiberry蛋白(MaquiCPI-3)与氟化钠(NaF)、氯化亚锡(SnCl2)对体外初始牙侵蚀的协同作用。方法:制备98个牛牙釉质样品,分为7个处理组(n=14/组):去离子水(water);商业溶液,800 ppm Sn+ 2500 ppm F-, ElmexTM, Erosion, GABA, therwill, BL, CH (Elmex);500ppm的氟(F-)来自NaF (NaF);从NaF中提取F- 500 ppm,从SnCl2 (NaF+SnCl)中提取锡(Sn+2) 800 ppm;0.5 mg/mL MaquiCPI-3 (MaquiCPI-3);MaquiCPI-3与NaF联合(Maqui+NaF)和;MaquiCPI-3、NaF和SnCl的组合(Maqui+NaF+SnCl)。分别用250 μl、2 min、37℃、250 rpm的溶液处理样品。9名志愿者的唾液(250 μl, 1 h, 37℃,250 rpm)形成获得性牙釉质膜(AEP)后,进行酸激(1 mL, 1%柠檬酸,pH 3.6, 1 min, 25℃,250 rpm)。所有的程序都进行了三次。采用单因素方差分析/Tukey’s检验对表面显微硬度变化百分比(%SMC)和相对表面反射强度(%SRI)进行测量和分析(结果:Elmex、NaF、NaF+SnCl、MaquiCPI-3、Maqui+NaF和Maqui+NaF+SnCl组的%SMC明显低于Water组。与Elmex相比,NaF、Sn+2、NaF+SnCl、MaquiCPI-3、Maqui+NaF和Maqui+NaF+SnCl组的保护作用显著增强。与Maqui+NaF组和Maqui+NaF组相比,Maqui+NaF+SnCl对牙釉质的保护效果更好(显著)。与Water和NaF组相比,Elmex、NaF+SnCl、MaquiCPI-3、Maqui+NaF和Maqui+NaF+SnCl组具有显著更高的%SRI,彼此之间没有差异。结论:所有处理液均对牙体初始腐蚀有保护作用。与单独使用MaquiCPI-3相比,含有Maqui+NaF+SnCl2的配方提供了更好的牙釉质保护。
本文章由计算机程序翻译,如有差异,请以英文原文为准。
求助全文
约1分钟内获得全文 求助全文
来源期刊
Journal of Applied Oral Science
Journal of Applied Oral Science 医学-牙科与口腔外科
CiteScore
4.80
自引率
3.70%
发文量
46
审稿时长
4-8 weeks
期刊介绍: The Journal of Applied Oral Science is committed in publishing the scientific and technologic advances achieved by the dental community, according to the quality indicators and peer reviewed material, with the objective of assuring its acceptability at the local, regional, national and international levels. The primary goal of The Journal of Applied Oral Science is to publish the outcomes of original investigations as well as invited case reports and invited reviews in the field of Dentistry and related areas.
×
引用
GB/T 7714-2015
复制
MLA
复制
APA
复制
导出至
BibTeX EndNote RefMan NoteFirst NoteExpress
×
提示
您的信息不完整,为了账户安全,请先补充。
现在去补充
×
提示
您因"违规操作"
具体请查看互助需知
我知道了
×
提示
确定
请完成安全验证×
copy
已复制链接
快去分享给好友吧!
我知道了
右上角分享
点击右上角分享
0
联系我们:info@booksci.cn Book学术提供免费学术资源搜索服务,方便国内外学者检索中英文文献。致力于提供最便捷和优质的服务体验。 Copyright © 2023 布克学术 All rights reserved.
京ICP备2023020795号-1
ghs 京公网安备 11010802042870号
Book学术文献互助
Book学术文献互助群
群 号:604180095
Book学术官方微信