Construction of the Biological Saccharification Process from Lignocellulosic Biomass Using a Filamentous Fungus Trichoderma reesei.

IF 1.4 Q4 BIOCHEMISTRY & MOLECULAR BIOLOGY
Journal of applied glycoscience Pub Date : 2025-05-20 eCollection Date: 2025-01-01 DOI:10.5458/jag.7202203
Masakazu Ike, Kenji Yamagishi, Ken Tokuyasu
{"title":"Construction of the Biological Saccharification Process from Lignocellulosic Biomass Using a Filamentous Fungus <i>Trichoderma reesei</i>.","authors":"Masakazu Ike, Kenji Yamagishi, Ken Tokuyasu","doi":"10.5458/jag.7202203","DOIUrl":null,"url":null,"abstract":"<p><p>Here, we aimed to construct a biological saccharification process that combines the steps of enzyme production and enzymatic saccharification using an aerobic fungus <i>Trichoderma reesei</i>, an excellent cellulase producer. Sugar production consists of the growth phase at 28 °C and the saccharification phase at 50 °C. Final sugar yields from alkali-treated rice straw and microcrystalline cellulose using the <i>T. reesei</i> M2-1 strain were greatly affected by mycelial inoculum size and growth phase periods. The optimization of these factors yielded 74.5 % and 60.6 % of sugar from the alkali-treated rice straw and microcrystalline cellulose, respectively, at 120 h of the biological saccharification process. In comparison with the process employing anaerobic microorganisms, a relatively higher yield of sugars was achieved within a shorter period and the use of non-GM fungal strain. However, large variability in sugar yields based on feedstocks suggests imperceptible differences in initial conditions.</p>","PeriodicalId":14999,"journal":{"name":"Journal of applied glycoscience","volume":"72 2","pages":"7202203"},"PeriodicalIF":1.4000,"publicationDate":"2025-05-20","publicationTypes":"Journal Article","fieldsOfStudy":null,"isOpenAccess":false,"openAccessPdf":"https://www.ncbi.nlm.nih.gov/pmc/articles/PMC12149730/pdf/","citationCount":"0","resultStr":null,"platform":"Semanticscholar","paperid":null,"PeriodicalName":"Journal of applied glycoscience","FirstCategoryId":"1085","ListUrlMain":"https://doi.org/10.5458/jag.7202203","RegionNum":0,"RegionCategory":null,"ArticlePicture":[],"TitleCN":null,"AbstractTextCN":null,"PMCID":null,"EPubDate":"2025/1/1 0:00:00","PubModel":"eCollection","JCR":"Q4","JCRName":"BIOCHEMISTRY & MOLECULAR BIOLOGY","Score":null,"Total":0}
引用次数: 0

Abstract

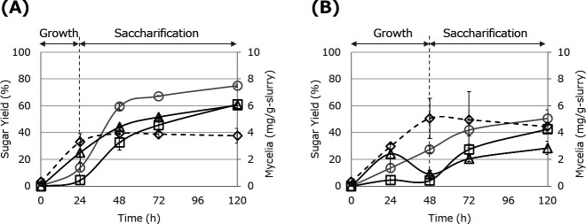
Here, we aimed to construct a biological saccharification process that combines the steps of enzyme production and enzymatic saccharification using an aerobic fungus Trichoderma reesei, an excellent cellulase producer. Sugar production consists of the growth phase at 28 °C and the saccharification phase at 50 °C. Final sugar yields from alkali-treated rice straw and microcrystalline cellulose using the T. reesei M2-1 strain were greatly affected by mycelial inoculum size and growth phase periods. The optimization of these factors yielded 74.5 % and 60.6 % of sugar from the alkali-treated rice straw and microcrystalline cellulose, respectively, at 120 h of the biological saccharification process. In comparison with the process employing anaerobic microorganisms, a relatively higher yield of sugars was achieved within a shorter period and the use of non-GM fungal strain. However, large variability in sugar yields based on feedstocks suggests imperceptible differences in initial conditions.

Abstract Image

Abstract Image

Abstract Image

利用丝状真菌里氏木霉构建木质纤维素生物质生物糖化工艺。
在这里,我们的目的是构建一个生物糖化过程,结合酶生产和酶糖化的步骤,利用好氧真菌木霉,一种优秀的纤维素酶生产。糖的生产包括生长阶段在28°C和糖化阶段在50°C。利用T. reesei M2-1菌株从碱处理过的水稻秸秆和微晶纤维素中最终产糖量受菌丝接种量大小和生长阶段的影响较大。经优化后,在生物糖化120 h时,经碱处理的稻草和微晶纤维素的糖收率分别为74.5%和60.6%。与采用厌氧微生物的工艺相比,使用非转基因真菌菌株在较短的时间内实现了相对较高的糖产量。然而,基于原料的糖产量的巨大变化表明初始条件的细微差异。
本文章由计算机程序翻译,如有差异,请以英文原文为准。
求助全文
约1分钟内获得全文 求助全文
来源期刊
Journal of applied glycoscience
Journal of applied glycoscience BIOCHEMISTRY & MOLECULAR BIOLOGY-
自引率
9.10%
发文量
13
×
引用
GB/T 7714-2015
复制
MLA
复制
APA
复制
导出至
BibTeX EndNote RefMan NoteFirst NoteExpress
×
提示
您的信息不完整,为了账户安全,请先补充。
现在去补充
×
提示
您因"违规操作"
具体请查看互助需知
我知道了
×
提示
确定
请完成安全验证×
copy
已复制链接
快去分享给好友吧!
我知道了
右上角分享
点击右上角分享
0
联系我们:info@booksci.cn Book学术提供免费学术资源搜索服务,方便国内外学者检索中英文文献。致力于提供最便捷和优质的服务体验。 Copyright © 2023 布克学术 All rights reserved.
京ICP备2023020795号-1
ghs 京公网安备 11010802042870号
Book学术文献互助
Book学术文献互助群
群 号:604180095
Book学术官方微信