Statins and the Risk of Colorectal Cancer in Patients With Inflammatory Bowel Disease: A Systematic Review and Meta-Analysis.

IF 1.7 Q4 GASTROENTEROLOGY & HEPATOLOGY
Gastroenterology Research Pub Date : 2025-06-01 Epub Date: 2025-06-04 DOI:10.14740/gr2028
Joelle Sleiman, Malek Kreidieh, Un Jung Lee, Peter Khouri, Brendan Plann-Curley, Cristina Sison, Liliane Deeb
{"title":"Statins and the Risk of Colorectal Cancer in Patients With Inflammatory Bowel Disease: A Systematic Review and Meta-Analysis.","authors":"Joelle Sleiman, Malek Kreidieh, Un Jung Lee, Peter Khouri, Brendan Plann-Curley, Cristina Sison, Liliane Deeb","doi":"10.14740/gr2028","DOIUrl":null,"url":null,"abstract":"<p><strong>Background: </strong>Statins are reported to reduce colorectal cancer (CRC) risk in the general population, but their effect on individuals with inflammatory bowel disease (IBD) remains uncertain. We aimed to evaluate the relationship between statin use and CRC risk in patients with IBD.</p><p><strong>Methods: </strong>A comprehensive review of the literature was conducted on PubMed, Web of Science, and EMBASE to evaluate the association between statin use and the development of CRC in patients with IBD. After deduplication, there were 324 studies screened, and those reporting odds ratios (ORs) or hazard ratios (HRs) for CRC risk in IBD patients using statins were included. The primary endpoints included the development of CRC (OR) and time to CRC (HR). A meta-analysis utilizing fixed or random-effects models, heterogeneity tests, and a funnel plot was performed in R (version 4.3.0) with alpha of 0.05.</p><p><strong>Results: </strong>This meta-analysis included seven studies involving 59,596 patients: three for OR (11,116 patients) and four for HR (48,480 patients). The pooled OR was 0.22 (95% confidence interval (CI): 0.01 - 7.81), suggesting 78% lower odds of CRC in statin users, though not statistically significant (P = 0.21), with potential publication bias. The pooled HR was 0.77 (95% CI: 0.63 - 0.94), indicating a significant 23% reduction in CRC hazard for statin users (P < 0.05), with low publication bias.</p><p><strong>Conclusion: </strong>Our meta-analysis showed that statin use is associated with a reduced risk of CRC in IBD, significant in HR-based but not in OR-based analysis. Large randomized controlled trials are needed to clarify the duration of statin use and their chemopreventive effects, independent of factors such as targeted therapy for chronic mucosal inflammation.</p>","PeriodicalId":12461,"journal":{"name":"Gastroenterology Research","volume":"18 3","pages":"108-118"},"PeriodicalIF":1.7000,"publicationDate":"2025-06-01","publicationTypes":"Journal Article","fieldsOfStudy":null,"isOpenAccess":false,"openAccessPdf":"https://www.ncbi.nlm.nih.gov/pmc/articles/PMC12151120/pdf/","citationCount":"0","resultStr":null,"platform":"Semanticscholar","paperid":null,"PeriodicalName":"Gastroenterology Research","FirstCategoryId":"1085","ListUrlMain":"https://doi.org/10.14740/gr2028","RegionNum":0,"RegionCategory":null,"ArticlePicture":[],"TitleCN":null,"AbstractTextCN":null,"PMCID":null,"EPubDate":"2025/6/4 0:00:00","PubModel":"Epub","JCR":"Q4","JCRName":"GASTROENTEROLOGY & HEPATOLOGY","Score":null,"Total":0}
引用次数: 0

Abstract

Background: Statins are reported to reduce colorectal cancer (CRC) risk in the general population, but their effect on individuals with inflammatory bowel disease (IBD) remains uncertain. We aimed to evaluate the relationship between statin use and CRC risk in patients with IBD.

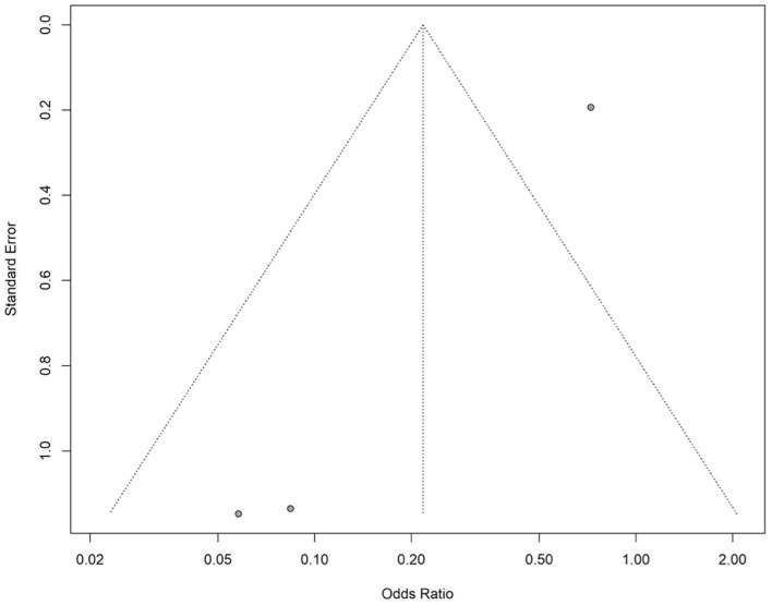
Methods: A comprehensive review of the literature was conducted on PubMed, Web of Science, and EMBASE to evaluate the association between statin use and the development of CRC in patients with IBD. After deduplication, there were 324 studies screened, and those reporting odds ratios (ORs) or hazard ratios (HRs) for CRC risk in IBD patients using statins were included. The primary endpoints included the development of CRC (OR) and time to CRC (HR). A meta-analysis utilizing fixed or random-effects models, heterogeneity tests, and a funnel plot was performed in R (version 4.3.0) with alpha of 0.05.

Results: This meta-analysis included seven studies involving 59,596 patients: three for OR (11,116 patients) and four for HR (48,480 patients). The pooled OR was 0.22 (95% confidence interval (CI): 0.01 - 7.81), suggesting 78% lower odds of CRC in statin users, though not statistically significant (P = 0.21), with potential publication bias. The pooled HR was 0.77 (95% CI: 0.63 - 0.94), indicating a significant 23% reduction in CRC hazard for statin users (P < 0.05), with low publication bias.

Conclusion: Our meta-analysis showed that statin use is associated with a reduced risk of CRC in IBD, significant in HR-based but not in OR-based analysis. Large randomized controlled trials are needed to clarify the duration of statin use and their chemopreventive effects, independent of factors such as targeted therapy for chronic mucosal inflammation.

Abstract Image

Abstract Image

Abstract Image

他汀类药物与炎症性肠病患者的结直肠癌风险:系统回顾和荟萃分析。
背景:据报道,他汀类药物在一般人群中可降低结直肠癌(CRC)风险,但其对炎症性肠病(IBD)患者的影响仍不确定。我们的目的是评估他汀类药物使用与IBD患者结直肠癌风险之间的关系。方法:综合PubMed、Web of Science和EMBASE上的文献,评估他汀类药物使用与IBD患者结直肠癌发展之间的关系。重复数据删除后,筛选了324项研究,并纳入了那些报告使用他汀类药物的IBD患者结直肠癌风险的比值比(ORs)或危险比(hr)的研究。主要终点包括CRC的发展(OR)和到CRC的时间(HR)。采用固定效应或随机效应模型、异质性检验和漏斗图进行meta分析,使用R(4.3.0版本),alpha为0.05。结果:本荟萃分析包括7项研究,涉及59,596例患者:3项用于OR(11,116例),4项用于HR(48,480例)。合并OR为0.22(95%可信区间(CI): 0.01 - 7.81),表明他汀类药物使用者发生CRC的几率低78%,但无统计学意义(P = 0.21),存在潜在的发表偏倚。合并HR为0.77 (95% CI: 0.63 - 0.94),表明他汀类药物使用者的CRC风险显著降低23% (P < 0.05),发表偏倚低。结论:我们的荟萃分析显示,他汀类药物的使用与IBD患者发生CRC的风险降低相关,在基于hr的分析中有显著性,但在基于or的分析中无显著性。需要大型随机对照试验来明确他汀类药物使用的持续时间及其化学预防作用,独立于慢性粘膜炎症的靶向治疗等因素。
本文章由计算机程序翻译,如有差异,请以英文原文为准。
求助全文
约1分钟内获得全文 求助全文
来源期刊
Gastroenterology Research
Gastroenterology Research GASTROENTEROLOGY & HEPATOLOGY-
自引率
0.00%
发文量
35
×
引用
GB/T 7714-2015
复制
MLA
复制
APA
复制
导出至
BibTeX EndNote RefMan NoteFirst NoteExpress
×
提示
您的信息不完整,为了账户安全,请先补充。
现在去补充
×
提示
您因"违规操作"
具体请查看互助需知
我知道了
×
提示
确定
请完成安全验证×
copy
已复制链接
快去分享给好友吧!
我知道了
右上角分享
点击右上角分享
0
联系我们:info@booksci.cn Book学术提供免费学术资源搜索服务,方便国内外学者检索中英文文献。致力于提供最便捷和优质的服务体验。 Copyright © 2023 布克学术 All rights reserved.
京ICP备2023020795号-1
ghs 京公网安备 11010802042870号
Book学术文献互助
Book学术文献互助群
群 号:604180095
Book学术官方微信