Effect of occlusal reduction on post-operative pain of symptomatic and asymptomatic molar teeth.

IF 1.9 4区 医学 Q3 DENTISTRY, ORAL SURGERY & MEDICINE
Aysenur Kamacı Esen, Fatma Furuncuoğlu, Fatima Betul Basturk, Muhammet Nuri Taşcıoğlu, Masoud Parirokh
{"title":"Effect of occlusal reduction on post-operative pain of symptomatic and asymptomatic molar teeth.","authors":"Aysenur Kamacı Esen, Fatma Furuncuoğlu, Fatima Betul Basturk, Muhammet Nuri Taşcıoğlu, Masoud Parirokh","doi":"10.2340/aos.v84.43872","DOIUrl":null,"url":null,"abstract":"<p><strong>Objective: </strong>This study aimed to compare the intensity of post-operative pain after single-visit root canal treatment of symptomatic or asymptomatic teeth following occlusal reduction.</p><p><strong>Methods: </strong>A total of 140 symptomatic or asymptomatic patients in need of root canal therapy were registered in this prospective, single-centre, single-blind, randomised clinical trial. For all patients, root canal treatment was carried out in a single visit, and the teeth were restored using composite resin. The patients were randomly allocated into four treatment groups, two of which included occlusal reduction while two treatments left the occlusional contacts intact. Patients' pain were assessed using a 0-3 verbal rate scale 1, 3, and 7 days following root canal treatment. The pain incidence and intensity were compared using the chi-square and Fisher's exact tests.</p><p><strong>Results: </strong>Overall, the post-operative pain intensity was low. Symptomatic individuals had significantly more discomfort at day 1 post-operatively compared to asymptomatic patients (p < 0.008). The pain incidence significantly decreased over time for symptomatic patients. When compared to asymptomatic patients without occlusal reduction, symptomatic patients with occlusal reduction had a greater pain incidence at day 3 (p < 0.011). For other time intervals, no significant differences in post-operative pain incidence or intensity were found.</p><p><strong>Conclusion: </strong>Single-visit root canal treatments involving occlusal reduction in both symptomatic or asymptomatic molars had no significant effect on post-operative pain.</p>","PeriodicalId":7313,"journal":{"name":"Acta Odontologica Scandinavica","volume":"84 ","pages":"371-376"},"PeriodicalIF":1.9000,"publicationDate":"2025-06-11","publicationTypes":"Journal Article","fieldsOfStudy":null,"isOpenAccess":false,"openAccessPdf":"https://www.ncbi.nlm.nih.gov/pmc/articles/PMC12186432/pdf/","citationCount":"0","resultStr":null,"platform":"Semanticscholar","paperid":null,"PeriodicalName":"Acta Odontologica Scandinavica","FirstCategoryId":"3","ListUrlMain":"https://doi.org/10.2340/aos.v84.43872","RegionNum":4,"RegionCategory":"医学","ArticlePicture":[],"TitleCN":null,"AbstractTextCN":null,"PMCID":null,"EPubDate":"","PubModel":"","JCR":"Q3","JCRName":"DENTISTRY, ORAL SURGERY & MEDICINE","Score":null,"Total":0}
引用次数: 0

Abstract

Objective: This study aimed to compare the intensity of post-operative pain after single-visit root canal treatment of symptomatic or asymptomatic teeth following occlusal reduction.

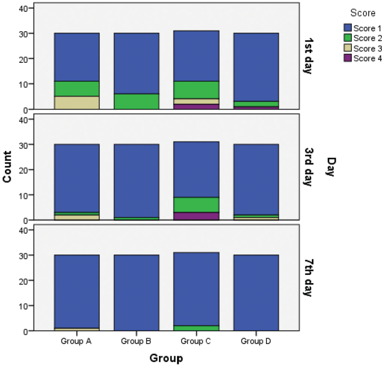
Methods: A total of 140 symptomatic or asymptomatic patients in need of root canal therapy were registered in this prospective, single-centre, single-blind, randomised clinical trial. For all patients, root canal treatment was carried out in a single visit, and the teeth were restored using composite resin. The patients were randomly allocated into four treatment groups, two of which included occlusal reduction while two treatments left the occlusional contacts intact. Patients' pain were assessed using a 0-3 verbal rate scale 1, 3, and 7 days following root canal treatment. The pain incidence and intensity were compared using the chi-square and Fisher's exact tests.

Results: Overall, the post-operative pain intensity was low. Symptomatic individuals had significantly more discomfort at day 1 post-operatively compared to asymptomatic patients (p < 0.008). The pain incidence significantly decreased over time for symptomatic patients. When compared to asymptomatic patients without occlusal reduction, symptomatic patients with occlusal reduction had a greater pain incidence at day 3 (p < 0.011). For other time intervals, no significant differences in post-operative pain incidence or intensity were found.

Conclusion: Single-visit root canal treatments involving occlusal reduction in both symptomatic or asymptomatic molars had no significant effect on post-operative pain.

Abstract Image

Abstract Image

咬合复位对有症状和无症状磨牙术后疼痛的影响。
目的:本研究旨在比较有症状或无症状牙合复位后单次根管治疗的疼痛强度。方法:在这项前瞻性、单中心、单盲、随机临床试验中,共登记了140例需要根管治疗的有症状或无症状患者。所有患者均在一次就诊中进行根管治疗,并使用复合树脂修复牙齿。患者被随机分为4个治疗组,其中2个治疗组包括咬合复位,2个治疗组保留咬合接触完整。在根管治疗后1、3和7天,采用0-3口头评分量表评估患者的疼痛。采用卡方检验和Fisher精确检验比较疼痛发生率和强度。结果:总体而言,术后疼痛强度较低。与无症状患者相比,有症状患者术后第1天的不适明显增加(p < 0.008)。有症状的患者疼痛发生率随时间显著降低。与无咬合减少症状的患者相比,有咬合减少症状的患者在第3天的疼痛发生率更高(p < 0.011)。对于其他时间间隔,术后疼痛发生率和强度无显著差异。结论:对有症状或无症状的磨牙进行单次根管治疗并降低咬合对术后疼痛无显著影响。
本文章由计算机程序翻译,如有差异,请以英文原文为准。
求助全文
约1分钟内获得全文 求助全文
来源期刊
Acta Odontologica Scandinavica
Acta Odontologica Scandinavica 医学-牙科与口腔外科
CiteScore
4.00
自引率
5.00%
发文量
69
审稿时长
6-12 weeks
期刊介绍: Acta Odontologica Scandinavica publishes papers conveying new knowledge within all areas of oral health and disease sciences.
×
引用
GB/T 7714-2015
复制
MLA
复制
APA
复制
导出至
BibTeX EndNote RefMan NoteFirst NoteExpress
×
提示
您的信息不完整,为了账户安全,请先补充。
现在去补充
×
提示
您因"违规操作"
具体请查看互助需知
我知道了
×
提示
确定
请完成安全验证×
copy
已复制链接
快去分享给好友吧!
我知道了
右上角分享
点击右上角分享
0
联系我们:info@booksci.cn Book学术提供免费学术资源搜索服务,方便国内外学者检索中英文文献。致力于提供最便捷和优质的服务体验。 Copyright © 2023 布克学术 All rights reserved.
京ICP备2023020795号-1
ghs 京公网安备 11010802042870号
Book学术文献互助
Book学术文献互助群
群 号:604180095
Book学术官方微信