Emotional mimicry and smiling behaviors in schizophrenia: An ecological approach.

IF 4.1 Q2 PSYCHIATRY
Mathilde Parisi, Stéphane Raffard, Tifenn Fauviaux, Victor Vattier, Dorra Mrabet, Delphine Capdevielle, Ludovic Marin
{"title":"Emotional mimicry and smiling behaviors in schizophrenia: An ecological approach.","authors":"Mathilde Parisi, Stéphane Raffard, Tifenn Fauviaux, Victor Vattier, Dorra Mrabet, Delphine Capdevielle, Ludovic Marin","doi":"10.1038/s41537-025-00632-y","DOIUrl":null,"url":null,"abstract":"<p><p>Individuals with schizophrenia often experience social skill deficits, leading to reduced social interaction quality. Emotional mimicry, the automatic imitation of a counterpart's expression, plays a crucial role in social interactions. This study introduces a novel methodology for assessing positive emotional mimicry during a naturalistic conversation. We recruited interacting partners (n = 20), each engaging in two interactions: one with an individual diagnosed with schizophrenia (n = 20) and one with a matched healthy control (n = 20). Participants were video recorded while taking turns sharing happy personal memories during six minutes. Using OpenFace, we detected participants' emotional expressions and computed mimicry scores based on their temporal alignment. Consistent with our hypotheses, individuals with schizophrenia exhibited reduced smiling and positive emotion mimicry. Furthermore, interacting partners reported lower willingness to continue interacting with individuals with schizophrenia compared to healthy controls. This study stands out for its innovative methodology, assessing a key social skill in an ecological setting. Our findings highlight the potential of emotional mimicry training as an important intervention to improve social interaction in schizophrenia.</p>","PeriodicalId":74758,"journal":{"name":"Schizophrenia (Heidelberg, Germany)","volume":"11 1","pages":"86"},"PeriodicalIF":4.1000,"publicationDate":"2025-06-07","publicationTypes":"Journal Article","fieldsOfStudy":null,"isOpenAccess":false,"openAccessPdf":"https://www.ncbi.nlm.nih.gov/pmc/articles/PMC12145447/pdf/","citationCount":"0","resultStr":null,"platform":"Semanticscholar","paperid":null,"PeriodicalName":"Schizophrenia (Heidelberg, Germany)","FirstCategoryId":"1085","ListUrlMain":"https://doi.org/10.1038/s41537-025-00632-y","RegionNum":0,"RegionCategory":null,"ArticlePicture":[],"TitleCN":null,"AbstractTextCN":null,"PMCID":null,"EPubDate":"","PubModel":"","JCR":"Q2","JCRName":"PSYCHIATRY","Score":null,"Total":0}
引用次数: 0

Abstract

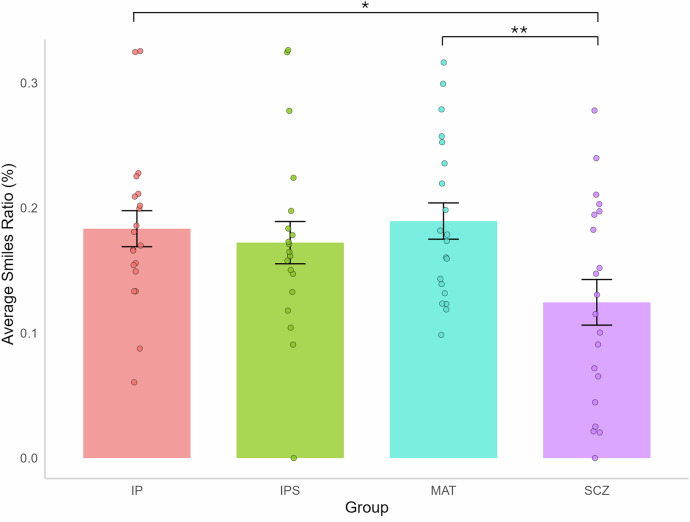
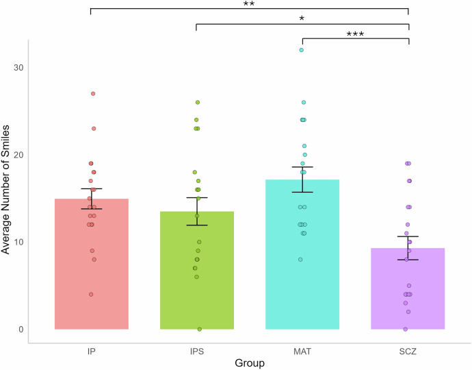
Individuals with schizophrenia often experience social skill deficits, leading to reduced social interaction quality. Emotional mimicry, the automatic imitation of a counterpart's expression, plays a crucial role in social interactions. This study introduces a novel methodology for assessing positive emotional mimicry during a naturalistic conversation. We recruited interacting partners (n = 20), each engaging in two interactions: one with an individual diagnosed with schizophrenia (n = 20) and one with a matched healthy control (n = 20). Participants were video recorded while taking turns sharing happy personal memories during six minutes. Using OpenFace, we detected participants' emotional expressions and computed mimicry scores based on their temporal alignment. Consistent with our hypotheses, individuals with schizophrenia exhibited reduced smiling and positive emotion mimicry. Furthermore, interacting partners reported lower willingness to continue interacting with individuals with schizophrenia compared to healthy controls. This study stands out for its innovative methodology, assessing a key social skill in an ecological setting. Our findings highlight the potential of emotional mimicry training as an important intervention to improve social interaction in schizophrenia.

Abstract Image

Abstract Image

Abstract Image

精神分裂症的情绪模仿和微笑行为:一种生态学方法。
精神分裂症患者通常会经历社交技能缺陷,导致社交互动质量下降。情绪模仿,即自动模仿对方的表情,在社会交往中起着至关重要的作用。本研究介绍了一种评估自然对话中积极情绪模仿的新方法。我们招募了互动伙伴(n = 20),每个人都参与了两种互动:一种是与诊断为精神分裂症的个体(n = 20),另一种是与匹配的健康对照(n = 20)。参与者在六分钟内轮流分享快乐的个人回忆,并被录下来。使用OpenFace,我们检测了参与者的情绪表达,并根据他们的时间排列计算了模仿分数。与我们的假设一致,精神分裂症患者表现出较少的微笑和积极情绪模仿。此外,与健康对照组相比,互动伙伴报告说,与精神分裂症患者继续互动的意愿较低。这项研究以其创新的方法脱颖而出,评估了生态环境中的一项关键社会技能。我们的研究结果强调了情绪模仿训练作为改善精神分裂症患者社会互动的重要干预手段的潜力。
本文章由计算机程序翻译,如有差异,请以英文原文为准。
求助全文
约1分钟内获得全文 求助全文
来源期刊
自引率
0.00%
发文量
0
×
引用
GB/T 7714-2015
复制
MLA
复制
APA
复制
导出至
BibTeX EndNote RefMan NoteFirst NoteExpress
×
提示
您的信息不完整,为了账户安全,请先补充。
现在去补充
×
提示
您因"违规操作"
具体请查看互助需知
我知道了
×
提示
确定
请完成安全验证×
copy
已复制链接
快去分享给好友吧!
我知道了
右上角分享
点击右上角分享
0
联系我们:info@booksci.cn Book学术提供免费学术资源搜索服务,方便国内外学者检索中英文文献。致力于提供最便捷和优质的服务体验。 Copyright © 2023 布克学术 All rights reserved.
京ICP备2023020795号-1
ghs 京公网安备 11010802042870号
Book学术文献互助
Book学术文献互助群
群 号:604180095
Book学术官方微信