The Association between Oligohydramnios and the Risk of Malpresentation: A Meta-Analysis.

Q2 Medicine
Medical Journal of the Islamic Republic of Iran Pub Date : 2024-12-18 eCollection Date: 2024-01-01 DOI:10.47176/mjiri.38.149
Maryam Nurzadeh, Mahsa Naemi
{"title":"The Association between Oligohydramnios and the Risk of Malpresentation: A Meta-Analysis.","authors":"Maryam Nurzadeh, Mahsa Naemi","doi":"10.47176/mjiri.38.149","DOIUrl":null,"url":null,"abstract":"<p><strong>Background: </strong>There is no consensus on the role of oligohydramnios on the increased risk of fetal malpresentation. Therefore, we decided, for the first time, to collect all published studies on this topic to synthesize all available data through a systematic review and meta-analysis to evaluate the effect of oligohydramnios on the increased risk of fetal malpresentation.</p><p><strong>Methods: </strong>A search was done in the following international electronic bibliographic databases: PubMed, Web of Science, and Scopus to April 2021. Heterogeneity among studies was determined by the Q-test and I2 statistic. Publication bias was assessed by Begg and Egger tests. The results were reported using odds ratio (OR) estimates with 95% confidence intervals (CI) using a random-effects model. Data were analyzed using Stata software Version 14 (StataCorp).</p><p><strong>Results: </strong>The meta-analysis identified 431 articles, comprising 227,351 participants, exploring the link between oligohydramnios and malpresentation. A significant association was found (OR, 1.79 [95% CI, 1.42-2.15]), indicating that oligohydramnios increases the risk of malpresentation. The analysis also revealed substantial heterogeneity among the included studies (I² = 80.2%; <i>P</i> < 0.001).</p><p><strong>Conclusion: </strong>This meta-analysis provides robust evidence that oligohydramnios is a significant risk factor for fetal malpresentation. These findings underscore the critical importance of monitoring amniotic fluid levels during pregnancy. The results suggest that healthcare providers should prioritize the assessment of amniotic fluid volume in pregnant patients, especially those presenting with risk factors for oligohydramnios.</p>","PeriodicalId":18361,"journal":{"name":"Medical Journal of the Islamic Republic of Iran","volume":"38 ","pages":"149"},"PeriodicalIF":0.0000,"publicationDate":"2024-12-18","publicationTypes":"Journal Article","fieldsOfStudy":null,"isOpenAccess":false,"openAccessPdf":"https://www.ncbi.nlm.nih.gov/pmc/articles/PMC12138669/pdf/","citationCount":"0","resultStr":null,"platform":"Semanticscholar","paperid":null,"PeriodicalName":"Medical Journal of the Islamic Republic of Iran","FirstCategoryId":"1085","ListUrlMain":"https://doi.org/10.47176/mjiri.38.149","RegionNum":0,"RegionCategory":null,"ArticlePicture":[],"TitleCN":null,"AbstractTextCN":null,"PMCID":null,"EPubDate":"2024/1/1 0:00:00","PubModel":"eCollection","JCR":"Q2","JCRName":"Medicine","Score":null,"Total":0}
引用次数: 0

Abstract

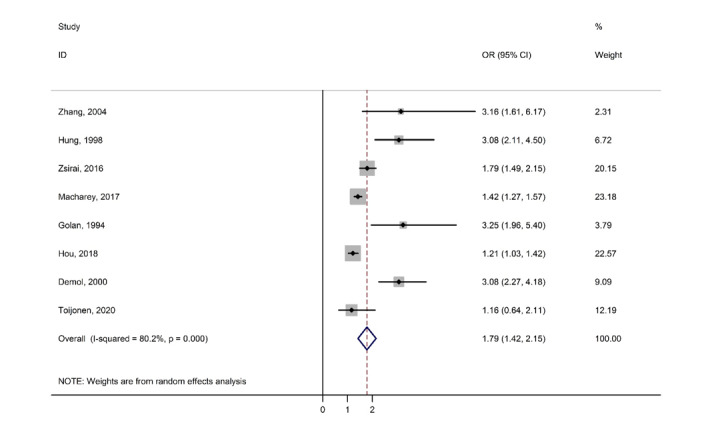
Background: There is no consensus on the role of oligohydramnios on the increased risk of fetal malpresentation. Therefore, we decided, for the first time, to collect all published studies on this topic to synthesize all available data through a systematic review and meta-analysis to evaluate the effect of oligohydramnios on the increased risk of fetal malpresentation.

Methods: A search was done in the following international electronic bibliographic databases: PubMed, Web of Science, and Scopus to April 2021. Heterogeneity among studies was determined by the Q-test and I2 statistic. Publication bias was assessed by Begg and Egger tests. The results were reported using odds ratio (OR) estimates with 95% confidence intervals (CI) using a random-effects model. Data were analyzed using Stata software Version 14 (StataCorp).

Results: The meta-analysis identified 431 articles, comprising 227,351 participants, exploring the link between oligohydramnios and malpresentation. A significant association was found (OR, 1.79 [95% CI, 1.42-2.15]), indicating that oligohydramnios increases the risk of malpresentation. The analysis also revealed substantial heterogeneity among the included studies (I² = 80.2%; P < 0.001).

Conclusion: This meta-analysis provides robust evidence that oligohydramnios is a significant risk factor for fetal malpresentation. These findings underscore the critical importance of monitoring amniotic fluid levels during pregnancy. The results suggest that healthcare providers should prioritize the assessment of amniotic fluid volume in pregnant patients, especially those presenting with risk factors for oligohydramnios.

Abstract Image

Abstract Image

羊水过少与不良表现风险的关系:一项荟萃分析。
背景:羊水过少对胎儿畸形风险增加的作用尚无共识。因此,我们首次决定收集所有已发表的关于该主题的研究,通过系统回顾和荟萃分析综合所有可用数据,以评估羊水过少对胎儿畸形风险增加的影响。方法:检索截至2021年4月的PubMed、Web of Science和Scopus等国际电子书目数据库。通过q检验和I2统计量确定研究间的异质性。发表偏倚采用Begg和Egger检验。使用随机效应模型,使用95%置信区间的比值比(OR)估计报告结果。数据分析使用Stata软件Version 14 (StataCorp)。结果:荟萃分析确定了431篇文章,包括227,351名参与者,探讨羊水过少和表现不良之间的联系。我们发现了显著的相关性(OR, 1.79 [95% CI, 1.42-2.15]),表明羊水过少增加了不良表现的风险。分析还显示纳入研究之间存在显著的异质性(I²= 80.2%;P < 0.001)。结论:这项荟萃分析提供了强有力的证据,证明羊水过少是胎儿畸形的重要危险因素。这些发现强调了在怀孕期间监测羊水水平的重要性。结果提示,医疗保健提供者应优先评估孕妇羊水容量,特别是那些有羊水过少危险因素的孕妇。
本文章由计算机程序翻译,如有差异,请以英文原文为准。
求助全文
约1分钟内获得全文 求助全文
来源期刊
CiteScore
2.40
自引率
0.00%
发文量
90
审稿时长
8 weeks
×
引用
GB/T 7714-2015
复制
MLA
复制
APA
复制
导出至
BibTeX EndNote RefMan NoteFirst NoteExpress
×
提示
您的信息不完整,为了账户安全,请先补充。
现在去补充
×
提示
您因"违规操作"
具体请查看互助需知
我知道了
×
提示
确定
请完成安全验证×
copy
已复制链接
快去分享给好友吧!
我知道了
右上角分享
点击右上角分享
0
联系我们:info@booksci.cn Book学术提供免费学术资源搜索服务,方便国内外学者检索中英文文献。致力于提供最便捷和优质的服务体验。 Copyright © 2023 布克学术 All rights reserved.
京ICP备2023020795号-1
ghs 京公网安备 11010802042870号
Book学术文献互助
Book学术文献互助群
群 号:604180095
Book学术官方微信