Forecasting Hospitalization for Adult Asthma Patients in Emergency Departments Based on Multiple Environmental and Clinical Factors.

IF 3 3区 医学 Q2 ALLERGY
Journal of Asthma and Allergy Pub Date : 2025-05-31 eCollection Date: 2025-01-01 DOI:10.2147/JAA.S512405
Hanxu Xi, Yudi Zhang, Rui Zuo, Wei Li, Chen Zhang, Yongchang Sun, Hong Ji, Zhiqiang He, Chun Chang
{"title":"Forecasting Hospitalization for Adult Asthma Patients in Emergency Departments Based on Multiple Environmental and Clinical Factors.","authors":"Hanxu Xi, Yudi Zhang, Rui Zuo, Wei Li, Chen Zhang, Yongchang Sun, Hong Ji, Zhiqiang He, Chun Chang","doi":"10.2147/JAA.S512405","DOIUrl":null,"url":null,"abstract":"<p><strong>Background: </strong>Asthma is the world's second most prevalent chronic respiratory disease. Current clinical decisions regarding hospitalization for adult asthma patients in emergency departments (EDs) primarily rely on presenting clinical status, acute exacerbation severity, therapeutic response and high-risk factors. Assessing the need for hospitalization of patients with complex comorbidities remains a significant challenge.</p><p><strong>Research question: </strong>This study aims to develop models that integrate various environmental and clinical factors to predict the hospitalization of adult asthma patients in EDs and to interpret these models.</p><p><strong>Study design and methods: </strong>A retrospective analysis was conducted utilizing data from asthma patients at a single ED from 2016 to 2023; the data included demographics, vital signs, illness severity, laboratory test results, and comorbidities, along with environmental variables. Predictive models were constructed using the extreme gradient boosting (XGBoost), light gradient boosting machine (LightGBM), support vector machine (SVM), logistic regression (LR), and random forest (RF). Area under the receiver operating characteristic curve (AUC), accuracy, and F1 score were the primary metrics used to assess model performance.</p><p><strong>Results: </strong>The analysis included 1140 ED visits. The median age was 51.0 years (interquartile range: 31.0 to 67.0 years), and 56.5% of the patients (644) were female. Overall, 21.8% of patients (249) required hospitalization after their ED visits. The AUC results for predicting hospitalization without external environmental factors were 0.8075 for XGBoost, 0.8233 for LightGBM, 0.7935 for SVM, 0.8033 for LR, and 0.8272 for RF. After integrating ambient air pollutant and meteorological features, the RF model consistently outperformed the other models, achieving an AUC of 0.8555. The most critical parameters for predicting hospitalization were found to be illness severity, oxygen saturation, age, and heart rate.</p><p><strong>Interpretation: </strong>Machine learning (ML) models based on clinical, meteorological, and air pollution data can rapidly and accurately predict hospitalization of adult asthma patients in EDs.</p>","PeriodicalId":15079,"journal":{"name":"Journal of Asthma and Allergy","volume":"18 ","pages":"861-876"},"PeriodicalIF":3.0000,"publicationDate":"2025-05-31","publicationTypes":"Journal Article","fieldsOfStudy":null,"isOpenAccess":false,"openAccessPdf":"https://www.ncbi.nlm.nih.gov/pmc/articles/PMC12135953/pdf/","citationCount":"0","resultStr":null,"platform":"Semanticscholar","paperid":null,"PeriodicalName":"Journal of Asthma and Allergy","FirstCategoryId":"3","ListUrlMain":"https://doi.org/10.2147/JAA.S512405","RegionNum":3,"RegionCategory":"医学","ArticlePicture":[],"TitleCN":null,"AbstractTextCN":null,"PMCID":null,"EPubDate":"2025/1/1 0:00:00","PubModel":"eCollection","JCR":"Q2","JCRName":"ALLERGY","Score":null,"Total":0}
引用次数: 0

Abstract

Background: Asthma is the world's second most prevalent chronic respiratory disease. Current clinical decisions regarding hospitalization for adult asthma patients in emergency departments (EDs) primarily rely on presenting clinical status, acute exacerbation severity, therapeutic response and high-risk factors. Assessing the need for hospitalization of patients with complex comorbidities remains a significant challenge.

Research question: This study aims to develop models that integrate various environmental and clinical factors to predict the hospitalization of adult asthma patients in EDs and to interpret these models.

Study design and methods: A retrospective analysis was conducted utilizing data from asthma patients at a single ED from 2016 to 2023; the data included demographics, vital signs, illness severity, laboratory test results, and comorbidities, along with environmental variables. Predictive models were constructed using the extreme gradient boosting (XGBoost), light gradient boosting machine (LightGBM), support vector machine (SVM), logistic regression (LR), and random forest (RF). Area under the receiver operating characteristic curve (AUC), accuracy, and F1 score were the primary metrics used to assess model performance.

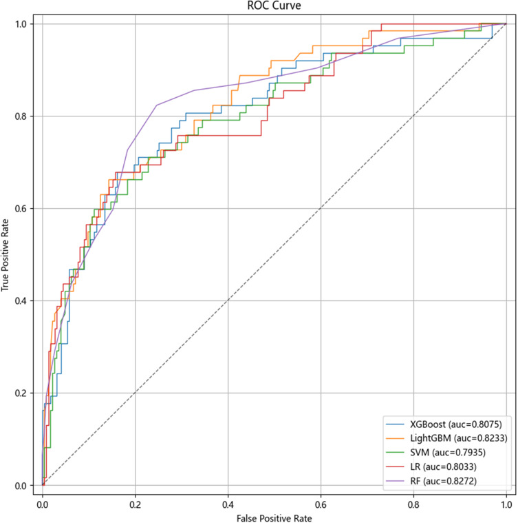
Results: The analysis included 1140 ED visits. The median age was 51.0 years (interquartile range: 31.0 to 67.0 years), and 56.5% of the patients (644) were female. Overall, 21.8% of patients (249) required hospitalization after their ED visits. The AUC results for predicting hospitalization without external environmental factors were 0.8075 for XGBoost, 0.8233 for LightGBM, 0.7935 for SVM, 0.8033 for LR, and 0.8272 for RF. After integrating ambient air pollutant and meteorological features, the RF model consistently outperformed the other models, achieving an AUC of 0.8555. The most critical parameters for predicting hospitalization were found to be illness severity, oxygen saturation, age, and heart rate.

Interpretation: Machine learning (ML) models based on clinical, meteorological, and air pollution data can rapidly and accurately predict hospitalization of adult asthma patients in EDs.

Abstract Image

Abstract Image

Abstract Image

基于多环境及临床因素的成人哮喘急诊科住院预测
背景:哮喘是世界上第二大流行的慢性呼吸道疾病。目前成人哮喘患者在急诊科(EDs)住院的临床决策主要依赖于临床状态、急性加重严重程度、治疗反应和高危因素。评估复杂合并症患者的住院需求仍然是一项重大挑战。研究问题:本研究旨在建立综合各种环境和临床因素的模型来预测成人哮喘患者在急诊科的住院情况,并对这些模型进行解释。研究设计和方法:回顾性分析2016年至2023年在单一ED就诊的哮喘患者的数据;数据包括人口统计、生命体征、疾病严重程度、实验室检测结果、合并症以及环境变量。采用极端梯度增强(XGBoost)、轻梯度增强机(LightGBM)、支持向量机(SVM)、逻辑回归(LR)和随机森林(RF)构建预测模型。受试者工作特征曲线下面积(AUC)、准确性和F1评分是评估模型性能的主要指标。结果:分析包括1140例急诊科就诊。中位年龄为51.0岁(四分位数范围:31.0 ~ 67.0岁),56.5%(644例)为女性。总体而言,21.8%的患者(249例)在急诊科就诊后需要住院。无外部环境因素时,XGBoost预测住院的AUC为0.8075,LightGBM为0.8233,SVM为0.7935,LR为0.8033,RF为0.8272。在综合了环境空气污染物和气象特征后,RF模型始终优于其他模型,AUC达到0.8555。预测住院最关键的参数是病情严重程度、血氧饱和度、年龄和心率。基于临床、气象和空气污染数据的机器学习(ML)模型可以快速准确地预测成人哮喘患者在急诊室的住院情况。
本文章由计算机程序翻译,如有差异,请以英文原文为准。
求助全文
约1分钟内获得全文 求助全文
来源期刊
Journal of Asthma and Allergy
Journal of Asthma and Allergy Medicine-Immunology and Allergy
CiteScore
5.30
自引率
6.20%
发文量
185
审稿时长
16 weeks
期刊介绍: An international, peer-reviewed journal publishing original research, reports, editorials and commentaries on the following topics: Asthma; Pulmonary physiology; Asthma related clinical health; Clinical immunology and the immunological basis of disease; Pharmacological interventions and new therapies. Although the main focus of the journal will be to publish research and clinical results in humans, preclinical, animal and in vitro studies will be published where they shed light on disease processes and potential new therapies.
×
引用
GB/T 7714-2015
复制
MLA
复制
APA
复制
导出至
BibTeX EndNote RefMan NoteFirst NoteExpress
×
提示
您的信息不完整,为了账户安全,请先补充。
现在去补充
×
提示
您因"违规操作"
具体请查看互助需知
我知道了
×
提示
确定
请完成安全验证×
copy
已复制链接
快去分享给好友吧!
我知道了
右上角分享
点击右上角分享
0
联系我们:info@booksci.cn Book学术提供免费学术资源搜索服务,方便国内外学者检索中英文文献。致力于提供最便捷和优质的服务体验。 Copyright © 2023 布克学术 All rights reserved.
京ICP备2023020795号-1
ghs 京公网安备 11010802042870号
Book学术文献互助
Book学术文献互助群
群 号:604180095
Book学术官方微信