Impact of body weight and age on plantar pressure in typically developing children: Normative data and methodological considerations.

IF 1.6 4区 医学 Q3 ORTHOPEDICS
Journal of Childrens Orthopaedics Pub Date : 2025-05-31 eCollection Date: 2025-06-01 DOI:10.1177/18632521251335875
Anika Behrendt, Tobias Siebert, Sonia D'Souza
{"title":"Impact of body weight and age on plantar pressure in typically developing children: Normative data and methodological considerations.","authors":"Anika Behrendt, Tobias Siebert, Sonia D'Souza","doi":"10.1177/18632521251335875","DOIUrl":null,"url":null,"abstract":"<p><strong>Purpose: </strong>Pedobarography is frequently employed for the identification and characterisation of foot pathologies in paediatrics. However, the lack of standardised normalisation methods presents a challenge for cross-age comparisons. This cross-sectional study provides normative plantar pressure data for typically developing children aged 4-17 years and compares normalisations and explanatory powers of parameters measuring peak and total load.</p><p><strong>Methods: </strong>Dynamic foot pressure of 101 typically developing children aged 4-17 years was measured at self-selected speed using the mid-gait protocol. They were divided into five age groups: 4-6, 7-8, 9-11, 12-14 and 15-17 years old. Force and pressure variables measuring peak and total load were normalised by body weight or scaled by maximum value and the foot region where the peak pressure occurred was identified.</p><p><strong>Results: </strong>The absolute values demonstrated an increase in load with advancing age. In contrast, when normalised to body weight, peak pressure and pressure time integrals decreased. The scaled peak pressure showed a load shift to the forefoot. The results indicate that the normalised parameters exhibit superior qualitative significance, suggesting a more dynamic gait pattern and improved morphology of the foot in relation to body weight with increasing age.</p><p><strong>Conclusions: </strong>This study shows that standardisation of the measurement protocol is imperative because results in typically developing children can vary depending up parameter selection and normalisation technique.</p><p><strong>Level of evidence: </strong>3.</p>","PeriodicalId":56060,"journal":{"name":"Journal of Childrens Orthopaedics","volume":" ","pages":"179-188"},"PeriodicalIF":1.6000,"publicationDate":"2025-05-31","publicationTypes":"Journal Article","fieldsOfStudy":null,"isOpenAccess":false,"openAccessPdf":"https://www.ncbi.nlm.nih.gov/pmc/articles/PMC12126460/pdf/","citationCount":"0","resultStr":null,"platform":"Semanticscholar","paperid":null,"PeriodicalName":"Journal of Childrens Orthopaedics","FirstCategoryId":"3","ListUrlMain":"https://doi.org/10.1177/18632521251335875","RegionNum":4,"RegionCategory":"医学","ArticlePicture":[],"TitleCN":null,"AbstractTextCN":null,"PMCID":null,"EPubDate":"2025/6/1 0:00:00","PubModel":"eCollection","JCR":"Q3","JCRName":"ORTHOPEDICS","Score":null,"Total":0}
引用次数: 0

Abstract

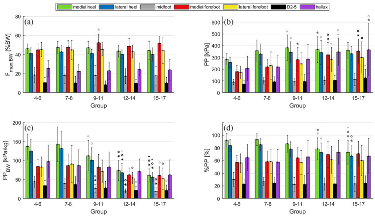
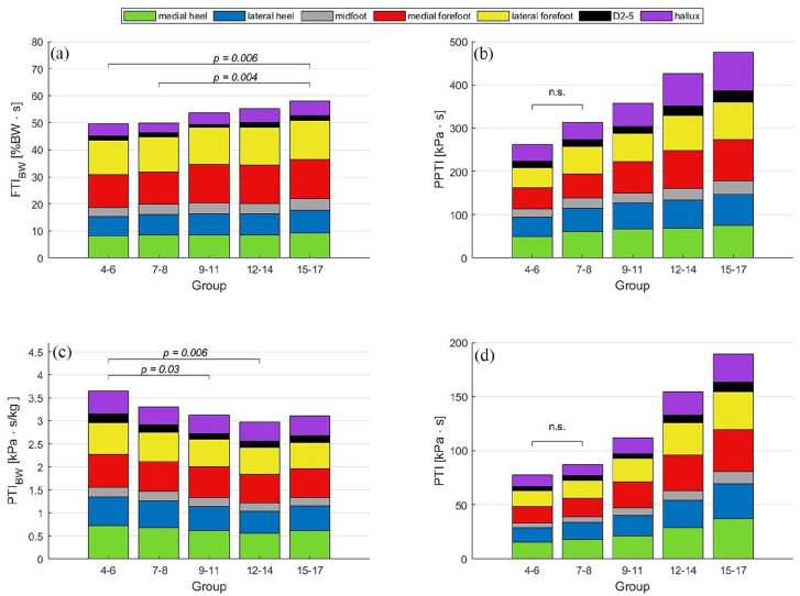
Purpose: Pedobarography is frequently employed for the identification and characterisation of foot pathologies in paediatrics. However, the lack of standardised normalisation methods presents a challenge for cross-age comparisons. This cross-sectional study provides normative plantar pressure data for typically developing children aged 4-17 years and compares normalisations and explanatory powers of parameters measuring peak and total load.

Methods: Dynamic foot pressure of 101 typically developing children aged 4-17 years was measured at self-selected speed using the mid-gait protocol. They were divided into five age groups: 4-6, 7-8, 9-11, 12-14 and 15-17 years old. Force and pressure variables measuring peak and total load were normalised by body weight or scaled by maximum value and the foot region where the peak pressure occurred was identified.

Results: The absolute values demonstrated an increase in load with advancing age. In contrast, when normalised to body weight, peak pressure and pressure time integrals decreased. The scaled peak pressure showed a load shift to the forefoot. The results indicate that the normalised parameters exhibit superior qualitative significance, suggesting a more dynamic gait pattern and improved morphology of the foot in relation to body weight with increasing age.

Conclusions: This study shows that standardisation of the measurement protocol is imperative because results in typically developing children can vary depending up parameter selection and normalisation technique.

Level of evidence: 3.

Abstract Image

Abstract Image

Abstract Image

体重和年龄对典型发育儿童足底压力的影响:规范性数据和方法学考虑。
目的:足部摄影术经常用于儿科足部病理的识别和表征。然而,缺乏标准化的标准化方法对跨年龄比较提出了挑战。本横断面研究提供了4-17岁典型发育儿童的标准足底压力数据,并比较了测量峰值和总负荷参数的归一化和解释力。方法:对101例4 ~ 17岁正常发育儿童采用中步法以自行选择的速度进行动态足压测量。他们被分为5个年龄组:4-6岁、7-8岁、9-11岁、12-14岁和15-17岁。测量峰值和总负荷的力和压力变量按体重归一化或按最大值缩放,并确定发生峰值压力的足部区域。结果:负荷绝对值随年龄增长而增加。相反,当与体重归一化时,峰值压力和压力时间积分下降。缩放的峰值压力显示负载向前足转移。结果表明,归一化参数具有较好的定性意义,表明随着年龄的增长,步态模式更加动态,足部形态与体重的关系也有所改善。结论:本研究表明,测量方案的标准化是必要的,因为典型发育儿童的结果可能因参数选择和标准化技术而异。证据等级:3。
本文章由计算机程序翻译,如有差异,请以英文原文为准。
求助全文
约1分钟内获得全文 求助全文
来源期刊
Journal of Childrens Orthopaedics
Journal of Childrens Orthopaedics Medicine-Orthopedics and Sports Medicine
CiteScore
2.70
自引率
14.30%
发文量
61
审稿时长
23 weeks
期刊介绍: Aims & Scope The Journal of Children’s Orthopaedics is the official journal of the European Paediatric Orthopaedic Society (EPOS) and is published by The British Editorial Society of Bone & Joint Surgery. It provides a forum for the advancement of the knowledge and education in paediatric orthopaedics and traumatology across geographical borders. It advocates an increased worldwide involvement in preventing and treating musculoskeletal diseases in children and adolescents. The journal publishes high quality, peer-reviewed articles that focus on clinical practice, diagnosis and treatment of disorders unique to paediatric orthopaedics, as well as on basic and applied research. It aims to help physicians stay abreast of the latest and ever-changing developments in the field of paediatric orthopaedics and traumatology. The journal welcomes original contributions submitted exclusively for review to the journal. This continuously published online journal is fully open access and will publish one print issue each year to coincide with the EPOS Annual Congress, featuring the meeting’s abstracts.
×
引用
GB/T 7714-2015
复制
MLA
复制
APA
复制
导出至
BibTeX EndNote RefMan NoteFirst NoteExpress
×
提示
您的信息不完整,为了账户安全,请先补充。
现在去补充
×
提示
您因"违规操作"
具体请查看互助需知
我知道了
×
提示
确定
请完成安全验证×
copy
已复制链接
快去分享给好友吧!
我知道了
右上角分享
点击右上角分享
0
联系我们:info@booksci.cn Book学术提供免费学术资源搜索服务,方便国内外学者检索中英文文献。致力于提供最便捷和优质的服务体验。 Copyright © 2023 布克学术 All rights reserved.
京ICP备2023020795号-1
ghs 京公网安备 11010802042870号
Book学术文献互助
Book学术文献互助群
群 号:604180095
Book学术官方微信