Interplay Between Cortical and Neurocardiac Interoceptive Processes and its Association with Self-Reported Interoceptive Sensibility.

IF 2.9 3区 医学 Q3 CLINICAL NEUROLOGY
Mariana Oliveira, Márcia da-Silva, Lídia Carvalho, A Ribeiro-Carreira, Ana Rita Pereira, Adriana Sampaio, Joana Coutinho, Alberto J González-Villar
{"title":"Interplay Between Cortical and Neurocardiac Interoceptive Processes and its Association with Self-Reported Interoceptive Sensibility.","authors":"Mariana Oliveira, Márcia da-Silva, Lídia Carvalho, A Ribeiro-Carreira, Ana Rita Pereira, Adriana Sampaio, Joana Coutinho, Alberto J González-Villar","doi":"10.1007/s10548-025-01122-1","DOIUrl":null,"url":null,"abstract":"<p><p>Interoception, the process of sensing and interpreting internal bodily signals, plays a crucial role in emotional regulation, decision-making, and overall well-being. This study aimed to investigate the relationship between self-reported interoceptive processes, assessed through the Body Perception Questionnaire (BPQ), and psychophysiological measures of interoception, including cardiac autonomic markers (HF-HRV and RMSSD), cortical processing of cardiac signals (heartbeat-evoked potentials, HEPs), and EEG microstates. We recorded EEG and ECG from 64 healthy volunteers during open-eyed resting state. A positive association was found between the Subdiaphragmatic Reactivity subscale of the BPQ and the coverage of microstate A, a spatial configuration linked to the activation of temporal brain regions, arousal, and sensory processing. No associations were observed between BPQ scores and cardiac measures or HEP amplitudes, suggesting that subjective reports may not align with psychophysiological indices of interoception. Associations were found between HEP amplitudes and microstates A and B, as well as between HRV measures and microstate D, highlighting potential links between autonomic functioning and brain activity during resting state. Although the BPQ is a widely used tool to assess interoceptive sensibility, it may not fully capture the complexity of this construct. These findings provide insight into the complex interplay between self-reported interoception and psychophysiological markers, while emphasizing the need for further research to clarify these relationships and their implications for emotional and cognitive processing.</p>","PeriodicalId":55329,"journal":{"name":"Brain Topography","volume":"38 4","pages":"48"},"PeriodicalIF":2.9000,"publicationDate":"2025-06-03","publicationTypes":"Journal Article","fieldsOfStudy":null,"isOpenAccess":false,"openAccessPdf":"https://www.ncbi.nlm.nih.gov/pmc/articles/PMC12134038/pdf/","citationCount":"0","resultStr":null,"platform":"Semanticscholar","paperid":null,"PeriodicalName":"Brain Topography","FirstCategoryId":"3","ListUrlMain":"https://doi.org/10.1007/s10548-025-01122-1","RegionNum":3,"RegionCategory":"医学","ArticlePicture":[],"TitleCN":null,"AbstractTextCN":null,"PMCID":null,"EPubDate":"","PubModel":"","JCR":"Q3","JCRName":"CLINICAL NEUROLOGY","Score":null,"Total":0}
引用次数: 0

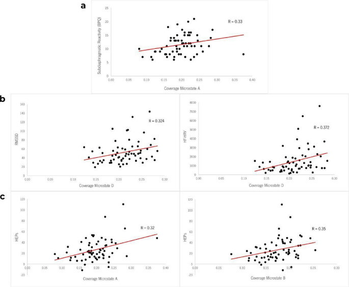
Abstract

Interoception, the process of sensing and interpreting internal bodily signals, plays a crucial role in emotional regulation, decision-making, and overall well-being. This study aimed to investigate the relationship between self-reported interoceptive processes, assessed through the Body Perception Questionnaire (BPQ), and psychophysiological measures of interoception, including cardiac autonomic markers (HF-HRV and RMSSD), cortical processing of cardiac signals (heartbeat-evoked potentials, HEPs), and EEG microstates. We recorded EEG and ECG from 64 healthy volunteers during open-eyed resting state. A positive association was found between the Subdiaphragmatic Reactivity subscale of the BPQ and the coverage of microstate A, a spatial configuration linked to the activation of temporal brain regions, arousal, and sensory processing. No associations were observed between BPQ scores and cardiac measures or HEP amplitudes, suggesting that subjective reports may not align with psychophysiological indices of interoception. Associations were found between HEP amplitudes and microstates A and B, as well as between HRV measures and microstate D, highlighting potential links between autonomic functioning and brain activity during resting state. Although the BPQ is a widely used tool to assess interoceptive sensibility, it may not fully capture the complexity of this construct. These findings provide insight into the complex interplay between self-reported interoception and psychophysiological markers, while emphasizing the need for further research to clarify these relationships and their implications for emotional and cognitive processing.

Abstract Image

Abstract Image

皮层和神经心脏内感受过程之间的相互作用及其与自我报告的内感受敏感性的关联。
内感受是感知和解释身体内部信号的过程,在情绪调节、决策和整体健康中起着至关重要的作用。本研究旨在探讨自我报告的内感受过程(通过身体知觉问卷(BPQ)评估)与内感受的心理生理指标之间的关系,包括心脏自主神经标志物(HF-HRV和RMSSD)、心脏信号的皮质处理(心跳诱发电位,HEPs)和脑电图微状态。我们记录了64名健康志愿者在睁眼静息状态下的脑电图和心电图。在BPQ的膈下反应量表和微观状态A的覆盖范围之间发现了正相关,微观状态A是一种与大脑颞区激活、觉醒和感觉处理相关的空间配置。未观察到BPQ评分与心脏测量或HEP振幅之间的关联,这表明主观报告可能与内感受的心理生理指标不一致。研究发现HEP振幅与微状态A和B之间存在关联,HRV测量与微状态D之间也存在关联,这突出了静息状态下自主神经功能与大脑活动之间的潜在联系。虽然BPQ是一种广泛使用的评估内感受性的工具,但它可能无法完全捕捉到内感受性结构的复杂性。这些发现为自我报告的内感受和心理生理标记之间的复杂相互作用提供了见解,同时强调需要进一步研究来阐明这些关系及其对情绪和认知处理的影响。
本文章由计算机程序翻译,如有差异,请以英文原文为准。
求助全文
约1分钟内获得全文 求助全文
来源期刊
Brain Topography
Brain Topography 医学-临床神经学
CiteScore
4.70
自引率
7.40%
发文量
41
审稿时长
3 months
期刊介绍: Brain Topography publishes clinical and basic research on cognitive neuroscience and functional neurophysiology using the full range of imaging techniques including EEG, MEG, fMRI, TMS, diffusion imaging, spectroscopy, intracranial recordings, lesion studies, and related methods. Submissions combining multiple techniques are particularly encouraged, as well as reports of new and innovative methodologies.
×
引用
GB/T 7714-2015
复制
MLA
复制
APA
复制
导出至
BibTeX EndNote RefMan NoteFirst NoteExpress
×
提示
您的信息不完整,为了账户安全,请先补充。
现在去补充
×
提示
您因"违规操作"
具体请查看互助需知
我知道了
×
提示
确定
请完成安全验证×
copy
已复制链接
快去分享给好友吧!
我知道了
右上角分享
点击右上角分享
0
联系我们:info@booksci.cn Book学术提供免费学术资源搜索服务,方便国内外学者检索中英文文献。致力于提供最便捷和优质的服务体验。 Copyright © 2023 布克学术 All rights reserved.
京ICP备2023020795号-1
ghs 京公网安备 11010802042870号
Book学术文献互助
Book学术文献互助群
群 号:604180095
Book学术官方微信