Bone Healing Index and Complications of a Magnetic Internal Lengthening Nail: A Retrospective Series of 286 Bone Lengthening Events.

IF 2.1 Q2 ORTHOPEDICS
Taylor J Reif, Nathan Khabyeh-Hasbani, Joshua Buksbaum, Gerard A Sheridan, Jason S Hoellwarth, Austin T Fragomen, S Robert Rozbruch
{"title":"Bone Healing Index and Complications of a Magnetic Internal Lengthening Nail: A Retrospective Series of 286 Bone Lengthening Events.","authors":"Taylor J Reif, Nathan Khabyeh-Hasbani, Joshua Buksbaum, Gerard A Sheridan, Jason S Hoellwarth, Austin T Fragomen, S Robert Rozbruch","doi":"10.5435/JAAOSGlobal-D-25-00118","DOIUrl":null,"url":null,"abstract":"<p><strong>Background: </strong>The time required to form new bone is a critical aspect of bone lengthening but is not constant depending on the osteotomy location. The objective of this study was to establish the bone healing index (BHI) after femur and tibia bone lengthening procedures. Additional objectives included identifying procedure-related complications and implant reliability.</p><p><strong>Methods: </strong>A retrospective analysis was conducted on all consecutive internal lengthening nails (Precice; Nuvasive) implanted in the femur or tibia at a single institution from September 2012 to November 2019. Groups were delineated by surgical approach (antegrade femur [AF], retrograde femur [RF], or antegrade tibia [AT]). The primary outcome was the BHI (days to consolidate regenerate per centimeter bone lengthened). Additional outcomes included iatrogenic bone deformity, implant complications, and nail reliability. Comparative analysis of demographic characteristics and complications was conducted using chi-square tests, and BHI was compared using independent t-tests. Multivariate analysis was used to evaluate independent outcomes among the groups. Statistical significance was set at P < 0.05.</p><p><strong>Results: </strong>Of 286 bone lengthening events (164 AF, 67 RF, 55 AT), BHI was significantly lower for AF at 24.5 ± 9.5 d/cm than for RF at 33.5 ± 14.5 d/cm and AT at 41.0 ± 17.4 d/cm (P = 0.001) and lower for RF than for AT (P = 0.012). After multivariate analysis, nail approach (AF), younger age (≤16), and lengthening for stature (versus deformity) were significantly associated with a lower BHI. Lengthening > 3 cm was also associated with better BHI. Iatrogenic deformity was induced in 8/164 = 4.9% AF, 2/67 = 3.0% RF, and 5/55 = 9.1% AT. Implant reliability was 92.7% for AF, 93.1% for RF, and 94.8% for AT. Complications requiring another surgery were observed in 39 of 286 (13.6%), and failure to achieve the lengthening goal was observed in 1 of 286 (0.3%).</p><p><strong>Conclusion: </strong>AF lengthening, younger age, stature lengthening, and lengthening > 3 cm lead to better bone healing indices using the Precice internal lengthening nail. Complications and iatrogenic deformity can be partially mitigated with surgeon-controlled decisions (surgical approach, blocking screws, distraction rate, weight-bearing restrictions) and rarely lead to a failure in achieving the lengthening goal if treated promptly.</p><p><strong>Level of evidence: </strong>III.</p>","PeriodicalId":45062,"journal":{"name":"Journal of the American Academy of Orthopaedic Surgeons Global Research and Reviews","volume":"9 6","pages":""},"PeriodicalIF":2.1000,"publicationDate":"2025-05-22","publicationTypes":"Journal Article","fieldsOfStudy":null,"isOpenAccess":false,"openAccessPdf":"https://www.ncbi.nlm.nih.gov/pmc/articles/PMC12107526/pdf/","citationCount":"0","resultStr":null,"platform":"Semanticscholar","paperid":null,"PeriodicalName":"Journal of the American Academy of Orthopaedic Surgeons Global Research and Reviews","FirstCategoryId":"1085","ListUrlMain":"https://doi.org/10.5435/JAAOSGlobal-D-25-00118","RegionNum":0,"RegionCategory":null,"ArticlePicture":[],"TitleCN":null,"AbstractTextCN":null,"PMCID":null,"EPubDate":"2025/6/1 0:00:00","PubModel":"eCollection","JCR":"Q2","JCRName":"ORTHOPEDICS","Score":null,"Total":0}
引用次数: 0

Abstract

Background: The time required to form new bone is a critical aspect of bone lengthening but is not constant depending on the osteotomy location. The objective of this study was to establish the bone healing index (BHI) after femur and tibia bone lengthening procedures. Additional objectives included identifying procedure-related complications and implant reliability.

Methods: A retrospective analysis was conducted on all consecutive internal lengthening nails (Precice; Nuvasive) implanted in the femur or tibia at a single institution from September 2012 to November 2019. Groups were delineated by surgical approach (antegrade femur [AF], retrograde femur [RF], or antegrade tibia [AT]). The primary outcome was the BHI (days to consolidate regenerate per centimeter bone lengthened). Additional outcomes included iatrogenic bone deformity, implant complications, and nail reliability. Comparative analysis of demographic characteristics and complications was conducted using chi-square tests, and BHI was compared using independent t-tests. Multivariate analysis was used to evaluate independent outcomes among the groups. Statistical significance was set at P < 0.05.

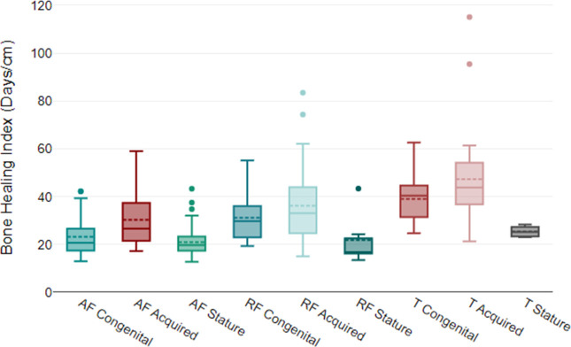
Results: Of 286 bone lengthening events (164 AF, 67 RF, 55 AT), BHI was significantly lower for AF at 24.5 ± 9.5 d/cm than for RF at 33.5 ± 14.5 d/cm and AT at 41.0 ± 17.4 d/cm (P = 0.001) and lower for RF than for AT (P = 0.012). After multivariate analysis, nail approach (AF), younger age (≤16), and lengthening for stature (versus deformity) were significantly associated with a lower BHI. Lengthening > 3 cm was also associated with better BHI. Iatrogenic deformity was induced in 8/164 = 4.9% AF, 2/67 = 3.0% RF, and 5/55 = 9.1% AT. Implant reliability was 92.7% for AF, 93.1% for RF, and 94.8% for AT. Complications requiring another surgery were observed in 39 of 286 (13.6%), and failure to achieve the lengthening goal was observed in 1 of 286 (0.3%).

Conclusion: AF lengthening, younger age, stature lengthening, and lengthening > 3 cm lead to better bone healing indices using the Precice internal lengthening nail. Complications and iatrogenic deformity can be partially mitigated with surgeon-controlled decisions (surgical approach, blocking screws, distraction rate, weight-bearing restrictions) and rarely lead to a failure in achieving the lengthening goal if treated promptly.

Level of evidence: III.

Abstract Image

Abstract Image

磁性内延长钉的骨愈合指数和并发症:286例骨延长事件的回顾性分析。
背景:形成新骨所需的时间是骨延长的一个关键方面,但不是恒定的取决于截骨位置。本研究的目的是建立股骨和胫骨延长手术后的骨愈合指数(BHI)。其他目标包括确定手术相关的并发症和植入物的可靠性。方法:回顾性分析所有连续内延长钉(Precice;2012年9月至2019年11月在同一家机构植入股骨或胫骨。通过手术入路(股骨顺行[AF],股骨逆行[RF]或胫骨顺行[AT])划分各组。主要结果是BHI(每厘米骨延长巩固再生的天数)。其他结果包括医源性骨畸形、种植体并发症和钉的可靠性。统计学特征及并发症比较分析采用卡方检验,BHI比较采用独立t检验。采用多变量分析评价各组间的独立结局。差异有统计学意义,P < 0.05。结果:在286例骨延长事件中(164例AF, 67例RF, 55例AT), AF组的BHI(24.5±9.5 d/cm)显著低于RF组(33.5±14.5 d/cm)和AT组(41.0±17.4 d/cm) (P = 0.001), RF组低于AT组(P = 0.012)。多因素分析后发现,入路(AF)、年龄较小(≤16岁)和身材延长(相对于畸形)与较低的BHI显著相关。延长bbb3cm也与更好的BHI相关。8/164 = 4.9% AF, 2/67 = 3.0% RF, 5/55 = 9.1% AT诱导医源性畸形。AF的种植体可靠性为92.7%,RF为93.1%,AT为94.8%。286例患者中有39例(13.6%)出现并发症需要再次手术,286例患者中有1例(0.3%)未能达到延长目标。结论:使用Precice内延长钉延长AF、延长年龄、延长身高、延长bb3 cm可使骨愈合指标更好。并发症和医源性畸形可以通过手术控制的决定(手术入路、阻断螺钉、牵开率、负重限制)得到部分缓解,如果及时治疗,很少会导致无法实现延长目标。证据水平:III。
本文章由计算机程序翻译,如有差异,请以英文原文为准。
求助全文
约1分钟内获得全文 求助全文
来源期刊
CiteScore
2.60
自引率
6.70%
发文量
282
审稿时长
8 weeks
×
引用
GB/T 7714-2015
复制
MLA
复制
APA
复制
导出至
BibTeX EndNote RefMan NoteFirst NoteExpress
×
提示
您的信息不完整,为了账户安全,请先补充。
现在去补充
×
提示
您因"违规操作"
具体请查看互助需知
我知道了
×
提示
确定
请完成安全验证×
copy
已复制链接
快去分享给好友吧!
我知道了
右上角分享
点击右上角分享
0
联系我们:info@booksci.cn Book学术提供免费学术资源搜索服务,方便国内外学者检索中英文文献。致力于提供最便捷和优质的服务体验。 Copyright © 2023 布克学术 All rights reserved.
京ICP备2023020795号-1
ghs 京公网安备 11010802042870号
Book学术文献互助
Book学术文献互助群
群 号:604180095
Book学术官方微信