Impact of HLA locus mismatch on peripheral blood allogeneic hematopoietic stem cell transplantation from unrelated donors using an ATG-based GVHD prophylaxis strategy.

IF 2.8 Q2 HEMATOLOGY
Jiawen Wang, Yanping Liu, Han Zhu, Kourong Miao
{"title":"Impact of HLA locus mismatch on peripheral blood allogeneic hematopoietic stem cell transplantation from unrelated donors using an ATG-based GVHD prophylaxis strategy.","authors":"Jiawen Wang, Yanping Liu, Han Zhu, Kourong Miao","doi":"10.1007/s44313-025-00082-6","DOIUrl":null,"url":null,"abstract":"<p><p>Allogeneic hematopoietic stem cell transplantation (allo-HSCT) is an important treatment option for hematologic diseases. However, limited studies have evaluated the prognosis of patients receiving single human leukocyte antigen (HLA) mismatched unrelated donor allo-HSCT (HLA 9/10 MMUD-HSCT) compared to those receiving fully matched unrelated donor allo-HSCT (10/10 MUD-HSCT). This study retrospectively analyzed 126 cases of unrelated donor allo-HSCT (URD-HSCT) at our center, in which anti-human thymocyte globulin (ATG, 7.5 mg/kg) was used as a graft-versus-host disease (GVHD) prophylaxis strategy. The MUD-HSCT group had a significantly lower incidence of grade II-IV acute GVHD (13.89% vs. 35.19% in the MMUD-HSCT group, p = 0.005). In contrast, the incidence of moderate-to-severe chronic GVHD (cGVHD) did not differ significantly between the two groups (16.67% vs. 29.63%, p = 0.083). The median follow-up time was 16.98 months (range: 7.88-38.55). There were no significant differences between the two groups in the 1-year cumulative incidence of relapse (CIR) (p = 0.707), 3-year CIR (p = 0.764), 1-year disease-free survival (DFS) (p = 0.954), 3-year DFS (p = 0.888), 1-year overall survival (OS) (p = 0.611), 3-year OS (p = 0.796), 3-year non-relapse mortality (NRM) (p = 0.711), or GVHD-free relapse-free survival (GRFS) (p = 0.546). The estimated median OS and DFS times were not reached in either group. In conclusion, under an ATG-based GVHD prophylaxis regimen, HLA 9/10 MMUD-HSCT is a viable alternative donor option, offering comparable clinical outcomes to those of fully matched unrelated donor HSCT.</p>","PeriodicalId":46224,"journal":{"name":"Blood Research","volume":"60 1","pages":"34"},"PeriodicalIF":2.8000,"publicationDate":"2025-06-03","publicationTypes":"Journal Article","fieldsOfStudy":null,"isOpenAccess":false,"openAccessPdf":"https://www.ncbi.nlm.nih.gov/pmc/articles/PMC12133669/pdf/","citationCount":"0","resultStr":null,"platform":"Semanticscholar","paperid":null,"PeriodicalName":"Blood Research","FirstCategoryId":"1085","ListUrlMain":"https://doi.org/10.1007/s44313-025-00082-6","RegionNum":0,"RegionCategory":null,"ArticlePicture":[],"TitleCN":null,"AbstractTextCN":null,"PMCID":null,"EPubDate":"","PubModel":"","JCR":"Q2","JCRName":"HEMATOLOGY","Score":null,"Total":0}
引用次数: 0

Abstract

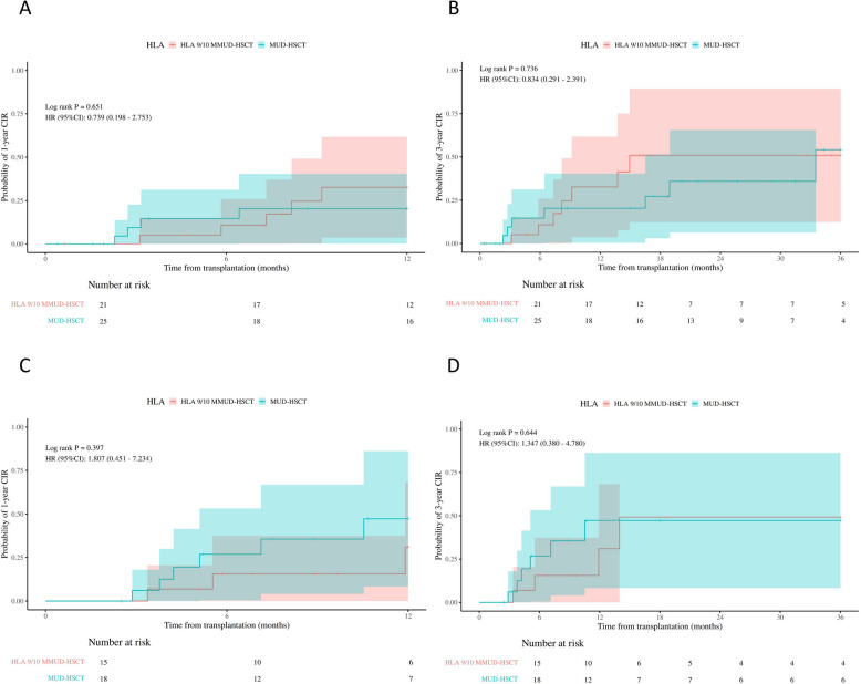
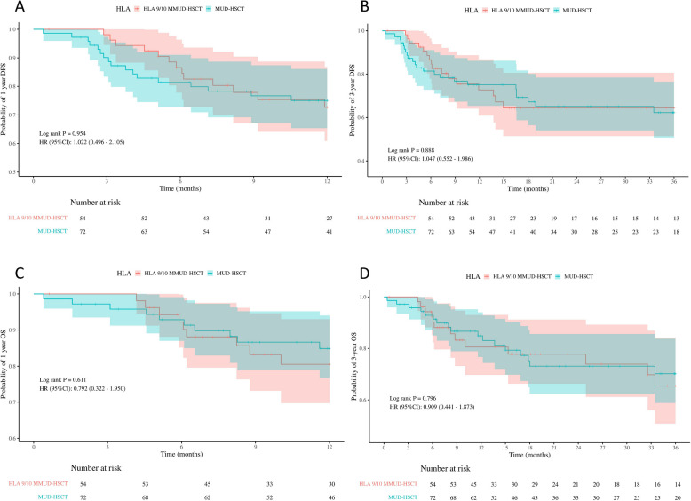
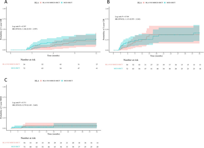
Allogeneic hematopoietic stem cell transplantation (allo-HSCT) is an important treatment option for hematologic diseases. However, limited studies have evaluated the prognosis of patients receiving single human leukocyte antigen (HLA) mismatched unrelated donor allo-HSCT (HLA 9/10 MMUD-HSCT) compared to those receiving fully matched unrelated donor allo-HSCT (10/10 MUD-HSCT). This study retrospectively analyzed 126 cases of unrelated donor allo-HSCT (URD-HSCT) at our center, in which anti-human thymocyte globulin (ATG, 7.5 mg/kg) was used as a graft-versus-host disease (GVHD) prophylaxis strategy. The MUD-HSCT group had a significantly lower incidence of grade II-IV acute GVHD (13.89% vs. 35.19% in the MMUD-HSCT group, p = 0.005). In contrast, the incidence of moderate-to-severe chronic GVHD (cGVHD) did not differ significantly between the two groups (16.67% vs. 29.63%, p = 0.083). The median follow-up time was 16.98 months (range: 7.88-38.55). There were no significant differences between the two groups in the 1-year cumulative incidence of relapse (CIR) (p = 0.707), 3-year CIR (p = 0.764), 1-year disease-free survival (DFS) (p = 0.954), 3-year DFS (p = 0.888), 1-year overall survival (OS) (p = 0.611), 3-year OS (p = 0.796), 3-year non-relapse mortality (NRM) (p = 0.711), or GVHD-free relapse-free survival (GRFS) (p = 0.546). The estimated median OS and DFS times were not reached in either group. In conclusion, under an ATG-based GVHD prophylaxis regimen, HLA 9/10 MMUD-HSCT is a viable alternative donor option, offering comparable clinical outcomes to those of fully matched unrelated donor HSCT.

Abstract Image

Abstract Image

Abstract Image

HLA位点不匹配对使用基于atg的GVHD预防策略的非亲属供体外周血异体造血干细胞移植的影响
同种异体造血干细胞移植是治疗血液病的重要选择。然而,有限的研究评估了接受单一人类白细胞抗原(HLA)不匹配的非亲属供体同种异体造血干细胞移植(HLA 9/10 MMUD-HSCT)患者与接受完全匹配的非亲属供体同种异体造血干细胞移植(10/10 MUD-HSCT)患者的预后。本研究回顾性分析了我院126例非亲本供体同种异体造血干细胞移植(URD-HSCT)患者,其中使用抗人胸腺细胞球蛋白(ATG, 7.5 mg/kg)作为移植物抗宿主病(GVHD)预防策略。MUD-HSCT组II-IV级急性GVHD发生率显著降低(13.89% vs. 35.19%, p = 0.005)。相比之下,中重度慢性GVHD (cGVHD)的发生率在两组之间无显著差异(16.67% vs 29.63%, p = 0.083)。中位随访时间为16.98个月(范围:7.88 ~ 38.55)。两组患者1年累积复发率(CIR) (p = 0.707)、3年累积复发率(p = 0.764)、1年无病生存期(DFS) (p = 0.954)、3年无病生存期(p = 0.888)、1年总生存期(OS) (p = 0.611)、3年OS (p = 0.796)、3年无复发死亡率(NRM) (p = 0.711)、无gvhd无复发生存期(GRFS) (p = 0.546)差异均无统计学意义。两组均未达到估计的中位OS和DFS时间。总之,在基于atg的GVHD预防方案下,HLA 9/10 mmmud -HSCT是一种可行的替代供体选择,提供与完全匹配的非血缘供体HSCT相当的临床结果。
本文章由计算机程序翻译,如有差异,请以英文原文为准。
求助全文
约1分钟内获得全文 求助全文
来源期刊
Blood Research
Blood Research HEMATOLOGY-
CiteScore
3.70
自引率
0.00%
发文量
64
×
引用
GB/T 7714-2015
复制
MLA
复制
APA
复制
导出至
BibTeX EndNote RefMan NoteFirst NoteExpress
×
提示
您的信息不完整,为了账户安全,请先补充。
现在去补充
×
提示
您因"违规操作"
具体请查看互助需知
我知道了
×
提示
确定
请完成安全验证×
copy
已复制链接
快去分享给好友吧!
我知道了
右上角分享
点击右上角分享
0
联系我们:info@booksci.cn Book学术提供免费学术资源搜索服务,方便国内外学者检索中英文文献。致力于提供最便捷和优质的服务体验。 Copyright © 2023 布克学术 All rights reserved.
京ICP备2023020795号-1
ghs 京公网安备 11010802042870号
Book学术文献互助
Book学术文献互助群
群 号:604180095
Book学术官方微信