Clinical and Economic Burden Associated With Anti-Cytomegalovirus (CMV) Prophylaxis Therapies in Adult Kidney Transplant Recipients (LECOCYT): An Observational Study.

IF 3 3区 医学 Q1 SURGERY
Transplant International Pub Date : 2025-05-19 eCollection Date: 2025-01-01 DOI:10.3389/ti.2025.14342
Nassim Kamar, Hannah Kaminski, Christophe Masset, Claire Castagné, Guilhem Tournaire, Xavier Bourge, Lionel Bensimon, Moustafa Naja, Stéphanie Degroote, Isabelle Durand-Zaleski, Christophe Legendre
{"title":"Clinical and Economic Burden Associated With Anti-Cytomegalovirus (CMV) Prophylaxis Therapies in Adult Kidney Transplant Recipients (LECOCYT): An Observational Study.","authors":"Nassim Kamar, Hannah Kaminski, Christophe Masset, Claire Castagné, Guilhem Tournaire, Xavier Bourge, Lionel Bensimon, Moustafa Naja, Stéphanie Degroote, Isabelle Durand-Zaleski, Christophe Legendre","doi":"10.3389/ti.2025.14342","DOIUrl":null,"url":null,"abstract":"<p><p>The incidence of leukopenia and neutropenia associated with cytomegalovirus (CMV) prophylaxis in kidney transplant (KT) recipients is not well established. LECOCYT, a prospective observational multicenter study, aimed to investigate the clinical and economic burdens of CMV prophylaxis during the first 6 months post-transplantation. Grade 3 or 4 leukopenia or neutropenia was assessed in CMV-seropositive donors/CMV-seronegative recipients (D+/R-) who received current anti-CMV prophylaxis, and in CMV-seronegative donors/CMV-seronegative recipients (D-/R-) who did not. The economic burden in D+/R- was also evaluated. The adjusted odds ratio for grade 3 or 4 leukopenia or neutropenia was 5.16 [95% confidence interval: 1.97-13.53] for D+/R- group. The median costs, excluding the KT procedure, for D+/R- subgroup patients who experienced at least one episode of severe leukopenia or neutropenia were approximately €4,500 (Q1 = €561; Q3 = €10,000). D+/R- patients with no episode incurred significantly lower costs, with a median of nearly €2,100 (Q1 = €182; Q3 = €6,500) (p = 0.02). D+/R- patients with severe leukopenia or neutropenia had a higher rate of outpatient consultations than those without episode (73.9% vs. 57.6%, p = 0.002), and a higher average number of consultations per patient (5.5 ± 4.1 vs. 4.5 ± 3.3, p = 0.042) than D+/R- patients without. Anti-CMV prophylaxis in D+/R- transplant recipients was significantly associated with a higher rate of severe leukopenia or neutropenia compared to no prophylaxis in D-/R- recipients.</p>","PeriodicalId":23343,"journal":{"name":"Transplant International","volume":"38 ","pages":"14342"},"PeriodicalIF":3.0000,"publicationDate":"2025-05-19","publicationTypes":"Journal Article","fieldsOfStudy":null,"isOpenAccess":false,"openAccessPdf":"https://www.ncbi.nlm.nih.gov/pmc/articles/PMC12127846/pdf/","citationCount":"0","resultStr":null,"platform":"Semanticscholar","paperid":null,"PeriodicalName":"Transplant International","FirstCategoryId":"3","ListUrlMain":"https://doi.org/10.3389/ti.2025.14342","RegionNum":3,"RegionCategory":"医学","ArticlePicture":[],"TitleCN":null,"AbstractTextCN":null,"PMCID":null,"EPubDate":"2025/1/1 0:00:00","PubModel":"eCollection","JCR":"Q1","JCRName":"SURGERY","Score":null,"Total":0}
引用次数: 0

Abstract

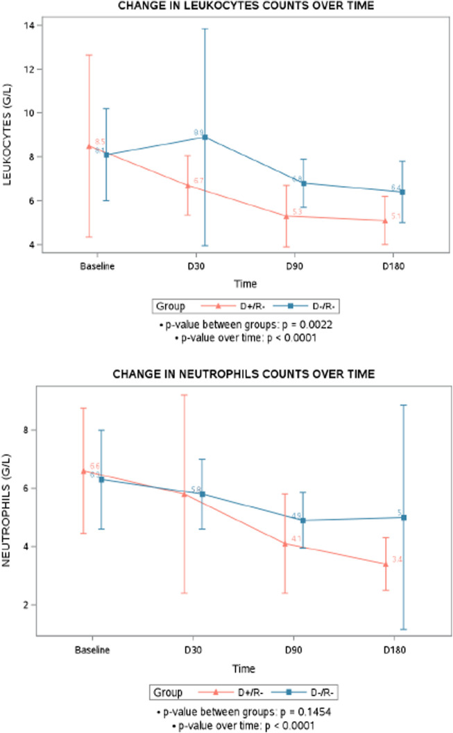
The incidence of leukopenia and neutropenia associated with cytomegalovirus (CMV) prophylaxis in kidney transplant (KT) recipients is not well established. LECOCYT, a prospective observational multicenter study, aimed to investigate the clinical and economic burdens of CMV prophylaxis during the first 6 months post-transplantation. Grade 3 or 4 leukopenia or neutropenia was assessed in CMV-seropositive donors/CMV-seronegative recipients (D+/R-) who received current anti-CMV prophylaxis, and in CMV-seronegative donors/CMV-seronegative recipients (D-/R-) who did not. The economic burden in D+/R- was also evaluated. The adjusted odds ratio for grade 3 or 4 leukopenia or neutropenia was 5.16 [95% confidence interval: 1.97-13.53] for D+/R- group. The median costs, excluding the KT procedure, for D+/R- subgroup patients who experienced at least one episode of severe leukopenia or neutropenia were approximately €4,500 (Q1 = €561; Q3 = €10,000). D+/R- patients with no episode incurred significantly lower costs, with a median of nearly €2,100 (Q1 = €182; Q3 = €6,500) (p = 0.02). D+/R- patients with severe leukopenia or neutropenia had a higher rate of outpatient consultations than those without episode (73.9% vs. 57.6%, p = 0.002), and a higher average number of consultations per patient (5.5 ± 4.1 vs. 4.5 ± 3.3, p = 0.042) than D+/R- patients without. Anti-CMV prophylaxis in D+/R- transplant recipients was significantly associated with a higher rate of severe leukopenia or neutropenia compared to no prophylaxis in D-/R- recipients.

Abstract Image

Abstract Image

Abstract Image

成人肾移植受者(LECOCYT)抗巨细胞病毒(CMV)预防治疗相关的临床和经济负担:一项观察性研究
肾移植(KT)受者中白细胞减少和中性粒细胞减少与巨细胞病毒(CMV)预防相关的发生率尚未得到很好的确定。LECOCYT是一项前瞻性观察性多中心研究,旨在调查移植后前6个月巨细胞病毒预防的临床和经济负担。cmv血清阳性供者/ cmv血清阴性受者(D+/R-)接受当前抗cmv预防,cmv血清阴性供者/ cmv血清阴性受者(D-/R-)未接受当前抗cmv预防,评估3级或4级白细胞减少或中性粒细胞减少。还对D+/R-的经济负担进行了评价。D+/R-组3级或4级白细胞减少或中性粒细胞减少的校正优势比为5.16[95%可信区间:1.97-13.53]。经历至少一次严重白细胞减少或中性粒细胞减少的D+/R-亚组患者的中位费用(不包括KT手术)约为4,500欧元(Q1 = 561欧元;Q3 = 1万欧元)。D+/R—无发作的患者费用显著降低,中位数近2100欧元(Q1 = 182欧元;Q3 = 6500欧元)(p = 0.02)。D+/R-严重白细胞减少或中性粒细胞减少患者的门诊会诊率高于无发作的患者(73.9% vs. 57.6%, p = 0.002),平均每例会诊次数(5.5±4.1 vs. 4.5±3.3,p = 0.042)高于无发作的D+/R-患者。D+/R-移植受者的抗巨细胞病毒预防与D+/R-移植受者的严重白细胞减少或中性粒细胞减少率显著高于未进行预防的受者。
本文章由计算机程序翻译,如有差异,请以英文原文为准。
求助全文
约1分钟内获得全文 求助全文
来源期刊
Transplant International
Transplant International 医学-外科
CiteScore
4.70
自引率
6.50%
发文量
211
审稿时长
3-8 weeks
期刊介绍: The aim of the journal is to serve as a forum for the exchange of scientific information in the form of original and high quality papers in the field of transplantation. Clinical and experimental studies, as well as editorials, letters to the editors, and, occasionally, reviews on the biology, physiology, and immunology of transplantation of tissues and organs, are published. Publishing time for the latter is approximately six months, provided major revisions are not needed. The journal is published in yearly volumes, each volume containing twelve issues. Papers submitted to the journal are subject to peer review.
×
引用
GB/T 7714-2015
复制
MLA
复制
APA
复制
导出至
BibTeX EndNote RefMan NoteFirst NoteExpress
×
提示
您的信息不完整,为了账户安全,请先补充。
现在去补充
×
提示
您因"违规操作"
具体请查看互助需知
我知道了
×
提示
确定
请完成安全验证×
copy
已复制链接
快去分享给好友吧!
我知道了
右上角分享
点击右上角分享
0
联系我们:info@booksci.cn Book学术提供免费学术资源搜索服务,方便国内外学者检索中英文文献。致力于提供最便捷和优质的服务体验。 Copyright © 2023 布克学术 All rights reserved.
京ICP备2023020795号-1
ghs 京公网安备 11010802042870号
Book学术文献互助
Book学术文献互助群
群 号:604180095
Book学术官方微信