Does individual-level socio-economic position modify the association between area-level deprivation and early childhood language development? A multilevel analysis of cross-sectional population data from Germany.

IF 3.9 3区 医学 Q1 PUBLIC, ENVIRONMENTAL & OCCUPATIONAL HEALTH
Stephanie Hoffmann, Niels Michalski, Nico Dragano, Jacob Spallek
{"title":"Does individual-level socio-economic position modify the association between area-level deprivation and early childhood language development? A multilevel analysis of cross-sectional population data from Germany.","authors":"Stephanie Hoffmann, Niels Michalski, Nico Dragano, Jacob Spallek","doi":"10.1093/eurpub/ckaf082","DOIUrl":null,"url":null,"abstract":"<p><p>Early childhood is a public health priority for enhancing health equity across the life course. Children are susceptible to individual-level socio-economic position (SEP) and the socio-economic deprivation of their place of residence, both of which contribute to differences in psychomotor development, including language. This study investigates whether individual-level SEP modifies the association between area-level deprivation and language development. This study used population-based, cross-sectional data from a School Entry Survey in Germany (2021; female: n = 9751, male: n = 10 623; age in years: ≤6 n = 11 423; 6-≤7 n = 8 746; >7 n = 205; native language: German n = 18 752; not German n = 943; bilingual n = 679), which was linked to the 'German Index of Socioeconomic Deprivation' (GISD). Binary multilevel models [odds ratio (OR), 95% CI] were used to analyse the interaction of GISD (measured continuously) with individual-level SEP (categorized as high/medium/low) according to delayed language development (DLD in % yes/no), which was assessed using validated instruments of 'social-pediatric screening of developmental status for school entry'. Individual SEP was tested as a moderator by stratifying the analyses. The interaction of GISD with SEP was associated with DLD (ORmediumSEP*GISD = 1.13; 1.04-1.24; ORlowSEP*GISD = 1.27; 1.13-1.43), with the main effect of GISD (OR = 0.85; 0.77-0.93). In SEP stratification, GISD was only partially associated with DLD (ORhighSEP = 0.81; 0.73-0.91; ORmediumSEP = 0.97; 0.89-1.07; ORlowSEP = 1.14; 0.99-1.32). This study demonstrates an association between area-level deprivation and DLD that is modified by individual-level SEP. The findings underscore the importance of stratification by individual-level SEP in analysing area-level effects on health, as the area-level effects can be contradictory according to individual-level SEP.</p>","PeriodicalId":12059,"journal":{"name":"European Journal of Public Health","volume":" ","pages":"611-616"},"PeriodicalIF":3.9000,"publicationDate":"2025-08-01","publicationTypes":"Journal Article","fieldsOfStudy":null,"isOpenAccess":false,"openAccessPdf":"https://www.ncbi.nlm.nih.gov/pmc/articles/PMC12311342/pdf/","citationCount":"0","resultStr":null,"platform":"Semanticscholar","paperid":null,"PeriodicalName":"European Journal of Public Health","FirstCategoryId":"3","ListUrlMain":"https://doi.org/10.1093/eurpub/ckaf082","RegionNum":3,"RegionCategory":"医学","ArticlePicture":[],"TitleCN":null,"AbstractTextCN":null,"PMCID":null,"EPubDate":"","PubModel":"","JCR":"Q1","JCRName":"PUBLIC, ENVIRONMENTAL & OCCUPATIONAL HEALTH","Score":null,"Total":0}
引用次数: 0

Abstract

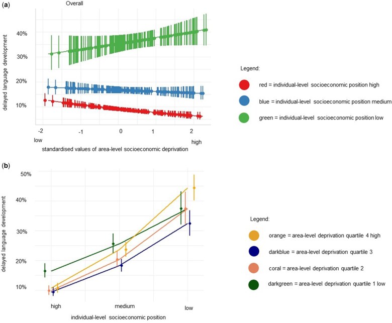
Early childhood is a public health priority for enhancing health equity across the life course. Children are susceptible to individual-level socio-economic position (SEP) and the socio-economic deprivation of their place of residence, both of which contribute to differences in psychomotor development, including language. This study investigates whether individual-level SEP modifies the association between area-level deprivation and language development. This study used population-based, cross-sectional data from a School Entry Survey in Germany (2021; female: n = 9751, male: n = 10 623; age in years: ≤6 n = 11 423; 6-≤7 n = 8 746; >7 n = 205; native language: German n = 18 752; not German n = 943; bilingual n = 679), which was linked to the 'German Index of Socioeconomic Deprivation' (GISD). Binary multilevel models [odds ratio (OR), 95% CI] were used to analyse the interaction of GISD (measured continuously) with individual-level SEP (categorized as high/medium/low) according to delayed language development (DLD in % yes/no), which was assessed using validated instruments of 'social-pediatric screening of developmental status for school entry'. Individual SEP was tested as a moderator by stratifying the analyses. The interaction of GISD with SEP was associated with DLD (ORmediumSEP*GISD = 1.13; 1.04-1.24; ORlowSEP*GISD = 1.27; 1.13-1.43), with the main effect of GISD (OR = 0.85; 0.77-0.93). In SEP stratification, GISD was only partially associated with DLD (ORhighSEP = 0.81; 0.73-0.91; ORmediumSEP = 0.97; 0.89-1.07; ORlowSEP = 1.14; 0.99-1.32). This study demonstrates an association between area-level deprivation and DLD that is modified by individual-level SEP. The findings underscore the importance of stratification by individual-level SEP in analysing area-level effects on health, as the area-level effects can be contradictory according to individual-level SEP.

Abstract Image

个人层面的社会经济地位是否改变了区域层面的剥夺与儿童早期语言发展之间的关系?德国横断面人口数据的多水平分析。
幼儿期是促进整个生命过程中健康公平的公共卫生重点。儿童容易受到个人层面的社会经济地位(SEP)和他们居住地的社会经济剥夺的影响,这两者都会导致精神运动发展的差异,包括语言。本研究探讨了个体水平SEP是否改变了区域水平剥夺与语言发展之间的关系。本研究使用了来自德国入学调查(2021年;女性:n = 9751,男性:n = 10623;年龄:≤6 n = 11 423;6-≤7 n = 8 746;>7 n = 205;母语:德语n = 18 752;非德语n = 943;双语(n = 679),这与“德国社会经济剥夺指数”(GISD)有关。使用二元多水平模型[比值比(OR), 95% CI]来分析GISD(连续测量)与个体水平SEP(根据延迟语言发展(DLD百分比为是/否)分类为高/中/低)的相互作用,使用经过验证的“入学发育状态社会-儿科筛查”工具进行评估。通过分层分析检验个体SEP是否为调节因子。GISD与SEP的相互作用与DLD相关(ORmediumSEP*GISD = 1.13;1.04 - -1.24;ORlowSEP*GISD = 1.27;1.13-1.43),主要效应为GISD (OR = 0.85;0.77 - -0.93)。在SEP分层中,GISD与DLD仅部分相关(ORhighSEP = 0.81;0.73 - -0.91;ORmediumSEP = 0.97;0.89 - -1.07;ORlowSEP = 1.14;0.99 - -1.32)。该研究表明,区域水平的剥夺与DLD之间存在关联,但个体水平的SEP对其进行了修正。研究结果强调了个体水平SEP分层在分析区域水平对健康的影响时的重要性,因为根据个体水平SEP,区域水平的影响可能相互矛盾。
本文章由计算机程序翻译,如有差异,请以英文原文为准。
求助全文
约1分钟内获得全文 求助全文
来源期刊
European Journal of Public Health
European Journal of Public Health 医学-公共卫生、环境卫生与职业卫生
CiteScore
5.60
自引率
2.30%
发文量
2039
审稿时长
3-8 weeks
期刊介绍: The European Journal of Public Health (EJPH) is a multidisciplinary journal aimed at attracting contributions from epidemiology, health services research, health economics, social sciences, management sciences, ethics and law, environmental health sciences, and other disciplines of relevance to public health. The journal provides a forum for discussion and debate of current international public health issues, with a focus on the European Region. Bi-monthly issues contain peer-reviewed original articles, editorials, commentaries, book reviews, news, letters to the editor, announcements of events, and various other features.
×
引用
GB/T 7714-2015
复制
MLA
复制
APA
复制
导出至
BibTeX EndNote RefMan NoteFirst NoteExpress
×
提示
您的信息不完整,为了账户安全,请先补充。
现在去补充
×
提示
您因"违规操作"
具体请查看互助需知
我知道了
×
提示
确定
请完成安全验证×
copy
已复制链接
快去分享给好友吧!
我知道了
右上角分享
点击右上角分享
0
联系我们:info@booksci.cn Book学术提供免费学术资源搜索服务,方便国内外学者检索中英文文献。致力于提供最便捷和优质的服务体验。 Copyright © 2023 布克学术 All rights reserved.
京ICP备2023020795号-1
ghs 京公网安备 11010802042870号
Book学术文献互助
Book学术文献互助群
群 号:604180095
Book学术官方微信