Serologically assessed markers of fibroblast activity (PRO-C3 and PRO-C6) and risk assessment of pulmonary fibrosis following severe COVID-19 infection.

IF 1.4 Q3 RESPIRATORY SYSTEM
European Clinical Respiratory Journal Pub Date : 2025-05-29 eCollection Date: 2025-01-01 DOI:10.1080/20018525.2025.2510032
Anne Orholm Nielsen, Kirsten Brændholt Rasmussen, Frederikke Bay Toft, Henning Bay Nielsen, Thomas Hildebrandt, Carsten Sloth, Alejandro E Mayorca-Guiliani, Morten Karsdal, Diana Julie Leeming, Rikke Borg
{"title":"Serologically assessed markers of fibroblast activity (PRO-C3 and PRO-C6) and risk assessment of pulmonary fibrosis following severe COVID-19 infection.","authors":"Anne Orholm Nielsen, Kirsten Brændholt Rasmussen, Frederikke Bay Toft, Henning Bay Nielsen, Thomas Hildebrandt, Carsten Sloth, Alejandro E Mayorca-Guiliani, Morten Karsdal, Diana Julie Leeming, Rikke Borg","doi":"10.1080/20018525.2025.2510032","DOIUrl":null,"url":null,"abstract":"<p><strong>Background: </strong>Impaired lung function and fibrotic scarring of the lungs following severe COVID-19 infection are well-known manifestations. However, the risk factors and predisposing factors are still unknown. This study explored whether serological biomarkers for collagen synthesis associate with impaired lung function and fibrotic scarring after COVID-19 infection.</p><p><strong>Methods: </strong>In a prospective, observational cohort study involving patients hospitalized with COVID-19 requiring intensive care from June 2020 to December 2021, patients were followed up at 1, 3, 6, and 12 months after discharge. Lung function, diffusion capacity, and a panel of serological biomarkers for collagen-based fibrogenesis (PRO-C3, PRO-C6, and PRO-FIB) were measured. Additionally, a high-resolution CT scan of the lungs was performed at 3 and 12 months.</p><p><strong>Results: </strong>Thirty-four patients were included in the study. Twenty-seven (80%) were men (mean age 61 years). Most patients were former or active smokers (56%), while 44% were never smokers. Levels of both PRO-C3, PRO-C6, and PRO-FIB were higher 3 months after discharge compared to the normal range. The highest levels were measured 1 month after discharge, with PRO-C3 23.2 ng/ml, PRO-C6 15.9 ng/ml, and PRO-FIB 29.3 ng/ml. The levels of PRO-C3 declined up to 6 months after discharge and were hereafter stabilized, whereas the levels of PRO-C6 declined for the entire follow up period. Lung function improved during the first 6 months and then stabilized. Comparing lung function with PRO-C3 and PRO-C6 showed a positive correlation with lung function improving, while levels of the biomarkers declined. However, only PRO-C3 was found to be significantly associated with improvement in lung function 1 month after discharge.</p><p><strong>Conclusions: </strong>This study found that PRO-C3 and PRO-C6 are associated with changes in lung function after severe COVID-19 infection. High levels of both PRO-C6 and PRO-C3 were found up to 6 months after discharge in patients with impaired lung function, however, the values declined towards reference levels after 12 months.</p>","PeriodicalId":11872,"journal":{"name":"European Clinical Respiratory Journal","volume":"12 1","pages":"2510032"},"PeriodicalIF":1.4000,"publicationDate":"2025-05-29","publicationTypes":"Journal Article","fieldsOfStudy":null,"isOpenAccess":false,"openAccessPdf":"https://www.ncbi.nlm.nih.gov/pmc/articles/PMC12123901/pdf/","citationCount":"0","resultStr":null,"platform":"Semanticscholar","paperid":null,"PeriodicalName":"European Clinical Respiratory Journal","FirstCategoryId":"1085","ListUrlMain":"https://doi.org/10.1080/20018525.2025.2510032","RegionNum":0,"RegionCategory":null,"ArticlePicture":[],"TitleCN":null,"AbstractTextCN":null,"PMCID":null,"EPubDate":"2025/1/1 0:00:00","PubModel":"eCollection","JCR":"Q3","JCRName":"RESPIRATORY SYSTEM","Score":null,"Total":0}
引用次数: 0

Abstract

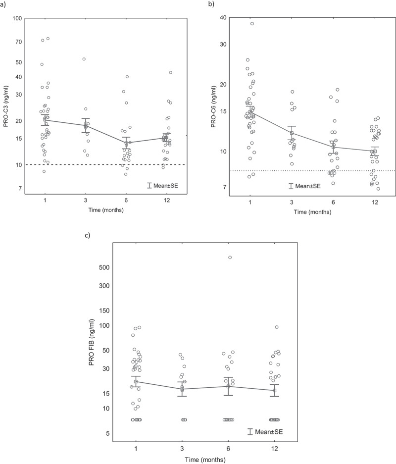
Background: Impaired lung function and fibrotic scarring of the lungs following severe COVID-19 infection are well-known manifestations. However, the risk factors and predisposing factors are still unknown. This study explored whether serological biomarkers for collagen synthesis associate with impaired lung function and fibrotic scarring after COVID-19 infection.

Methods: In a prospective, observational cohort study involving patients hospitalized with COVID-19 requiring intensive care from June 2020 to December 2021, patients were followed up at 1, 3, 6, and 12 months after discharge. Lung function, diffusion capacity, and a panel of serological biomarkers for collagen-based fibrogenesis (PRO-C3, PRO-C6, and PRO-FIB) were measured. Additionally, a high-resolution CT scan of the lungs was performed at 3 and 12 months.

Results: Thirty-four patients were included in the study. Twenty-seven (80%) were men (mean age 61 years). Most patients were former or active smokers (56%), while 44% were never smokers. Levels of both PRO-C3, PRO-C6, and PRO-FIB were higher 3 months after discharge compared to the normal range. The highest levels were measured 1 month after discharge, with PRO-C3 23.2 ng/ml, PRO-C6 15.9 ng/ml, and PRO-FIB 29.3 ng/ml. The levels of PRO-C3 declined up to 6 months after discharge and were hereafter stabilized, whereas the levels of PRO-C6 declined for the entire follow up period. Lung function improved during the first 6 months and then stabilized. Comparing lung function with PRO-C3 and PRO-C6 showed a positive correlation with lung function improving, while levels of the biomarkers declined. However, only PRO-C3 was found to be significantly associated with improvement in lung function 1 month after discharge.

Conclusions: This study found that PRO-C3 and PRO-C6 are associated with changes in lung function after severe COVID-19 infection. High levels of both PRO-C6 and PRO-C3 were found up to 6 months after discharge in patients with impaired lung function, however, the values declined towards reference levels after 12 months.

Abstract Image

Abstract Image

Abstract Image

血清学评估成纤维细胞活性标志物(PRO-C3和PRO-C6)和严重COVID-19感染后肺纤维化风险评估。
背景:COVID-19严重感染后肺功能受损和肺部纤维化瘢痕形成是众所周知的表现。然而,其危险因素和易感因素尚不清楚。本研究探讨了胶原合成的血清学生物标志物是否与COVID-19感染后肺功能受损和纤维化瘢痕形成有关。方法:在一项前瞻性、观察性队列研究中,纳入了2020年6月至2021年12月住院且需要重症监护的COVID-19患者,分别在出院后1、3、6和12个月对患者进行随访。测量肺功能、扩散能力和一组胶原纤维生成的血清学生物标志物(PRO-C3、PRO-C6和PRO-FIB)。此外,在3个月和12个月时进行肺部高分辨率CT扫描。结果:34例患者纳入研究。27例(80%)为男性(平均年龄61岁)。大多数患者是前吸烟者或活跃吸烟者(56%),而44%的患者从未吸烟。与正常范围相比,出院后3个月PRO-C3、PRO-C6和PRO-FIB水平均较高。在出院后1个月测得最高水平,PRO-C3为23.2 ng/ml, PRO-C6为15.9 ng/ml, PRO-FIB为29.3 ng/ml。PRO-C3水平在出院后6个月下降,此后趋于稳定,而PRO-C6水平在整个随访期间下降。肺功能在前6个月有所改善,随后趋于稳定。肺功能与PRO-C3和PRO-C6的比较显示肺功能改善正相关,而生物标志物水平下降。然而,只有PRO-C3被发现与出院后1个月肺功能改善显著相关。结论:本研究发现PRO-C3和PRO-C6与重症COVID-19感染后肺功能的改变有关。在肺功能受损的患者出院后6个月,PRO-C6和PRO-C3水平均较高,但12个月后降至参考水平。
本文章由计算机程序翻译,如有差异,请以英文原文为准。
求助全文
约1分钟内获得全文 求助全文
来源期刊
CiteScore
3.80
自引率
0.00%
发文量
15
审稿时长
16 weeks
×
引用
GB/T 7714-2015
复制
MLA
复制
APA
复制
导出至
BibTeX EndNote RefMan NoteFirst NoteExpress
×
提示
您的信息不完整,为了账户安全,请先补充。
现在去补充
×
提示
您因"违规操作"
具体请查看互助需知
我知道了
×
提示
确定
请完成安全验证×
copy
已复制链接
快去分享给好友吧!
我知道了
右上角分享
点击右上角分享
0
联系我们:info@booksci.cn Book学术提供免费学术资源搜索服务,方便国内外学者检索中英文文献。致力于提供最便捷和优质的服务体验。 Copyright © 2023 布克学术 All rights reserved.
京ICP备2023020795号-1
ghs 京公网安备 11010802042870号
Book学术文献互助
Book学术文献互助群
群 号:604180095
Book学术官方微信