Double-Blind, Randomized, Controlled Pilot Trial to Specify Collateral Effect and Safety of Perioperative Dexmedetomidine in Patients Undergoing Open Heart Surgery.

Q2 Medicine
Anesthesiology and Pain Medicine Pub Date : 2025-02-22 eCollection Date: 2025-02-28 DOI:10.5812/aapm-157117
Bassim Mohammed Jabbar Hatemi, Ayesheh Enayati, Somayeh Ghorbani, Fatemeh Tahmasebi, Hadi Abo Aljadayel, Ali Jabbari, Ali Movafegh
{"title":"Double-Blind, Randomized, Controlled Pilot Trial to Specify Collateral Effect and Safety of Perioperative Dexmedetomidine in Patients Undergoing Open Heart Surgery.","authors":"Bassim Mohammed Jabbar Hatemi, Ayesheh Enayati, Somayeh Ghorbani, Fatemeh Tahmasebi, Hadi Abo Aljadayel, Ali Jabbari, Ali Movafegh","doi":"10.5812/aapm-157117","DOIUrl":null,"url":null,"abstract":"<p><strong>Background: </strong>This study aimed to assess the collateral effects and safety of dexmedetomidine (Dex) during and one day after surgery in Iranian patients undergoing open heart surgery, to expand the clinical applications of Dex in Iran.</p><p><strong>Methods: </strong>This pilot study was conducted in Gorgan, Golestan province, Iran, in 2024. Both male and female participants undergoing open heart surgery were randomly assigned to either the Dex group (n = 10), receiving 0.5 µg/kg/h along with standard anesthesia management, or the control group (n = 10). The primary outcome was the percentage of patients experiencing adverse events. Secondary outcomes included the stability of hemodynamic and respiratory parameters, the occurrence of arrhythmias, and biological changes assessed during and 24 hours after surgery.</p><p><strong>Results: </strong>Out of 45 participants, 20 were enrolled and analyzed. The comparison between groups showed that observed adverse effects were higher in the control group (4 patients) compared to the Dex group (1 patient), with common events being hypotension, bradycardia, and tachycardia. Biological markers, such as lactate and blood sugar (BS), increased in both groups, with the control group showing a greater increase in both lactate and BS levels (P = 0.012 and P = 0.009, respectively) compared to the Dex group (P = 0.017 and P = 0.093, respectively). Additionally, there were no significant differences in hemodynamic and respiratory markers between the groups (P > 0.05); however, Dex improved and preserved hemodynamic and respiratory stability more effectively.</p><p><strong>Conclusions: </strong>The addition of Dex to the anesthesia protocol was safe and without adverse events, showing a promising role in improving cardiac function in patients undergoing open heart surgery.</p>","PeriodicalId":7841,"journal":{"name":"Anesthesiology and Pain Medicine","volume":"15 1","pages":"e157117"},"PeriodicalIF":0.0000,"publicationDate":"2025-02-22","publicationTypes":"Journal Article","fieldsOfStudy":null,"isOpenAccess":false,"openAccessPdf":"https://www.ncbi.nlm.nih.gov/pmc/articles/PMC12125658/pdf/","citationCount":"0","resultStr":null,"platform":"Semanticscholar","paperid":null,"PeriodicalName":"Anesthesiology and Pain Medicine","FirstCategoryId":"1085","ListUrlMain":"https://doi.org/10.5812/aapm-157117","RegionNum":0,"RegionCategory":null,"ArticlePicture":[],"TitleCN":null,"AbstractTextCN":null,"PMCID":null,"EPubDate":"2025/2/28 0:00:00","PubModel":"eCollection","JCR":"Q2","JCRName":"Medicine","Score":null,"Total":0}
引用次数: 0

Abstract

Background: This study aimed to assess the collateral effects and safety of dexmedetomidine (Dex) during and one day after surgery in Iranian patients undergoing open heart surgery, to expand the clinical applications of Dex in Iran.

Methods: This pilot study was conducted in Gorgan, Golestan province, Iran, in 2024. Both male and female participants undergoing open heart surgery were randomly assigned to either the Dex group (n = 10), receiving 0.5 µg/kg/h along with standard anesthesia management, or the control group (n = 10). The primary outcome was the percentage of patients experiencing adverse events. Secondary outcomes included the stability of hemodynamic and respiratory parameters, the occurrence of arrhythmias, and biological changes assessed during and 24 hours after surgery.

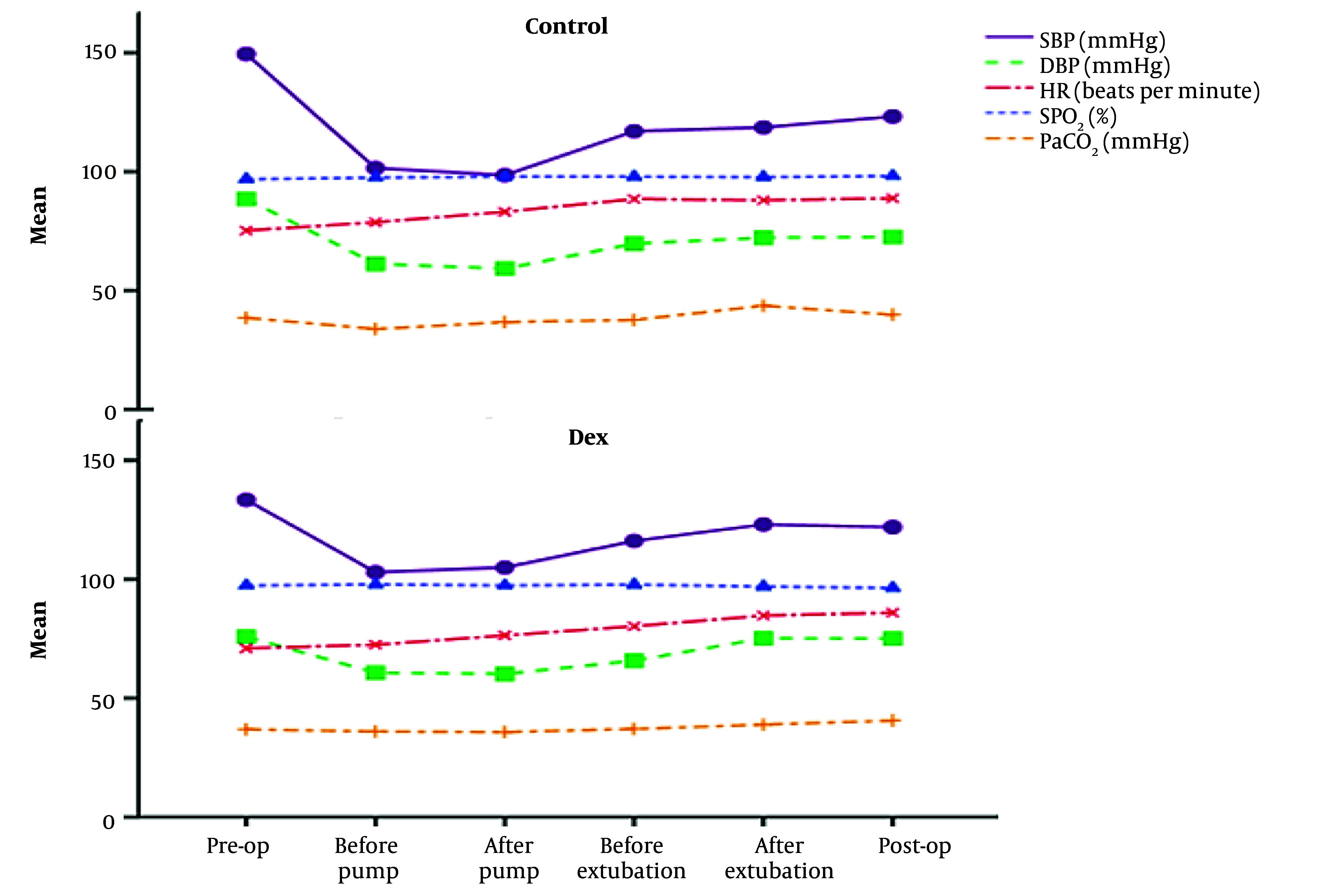
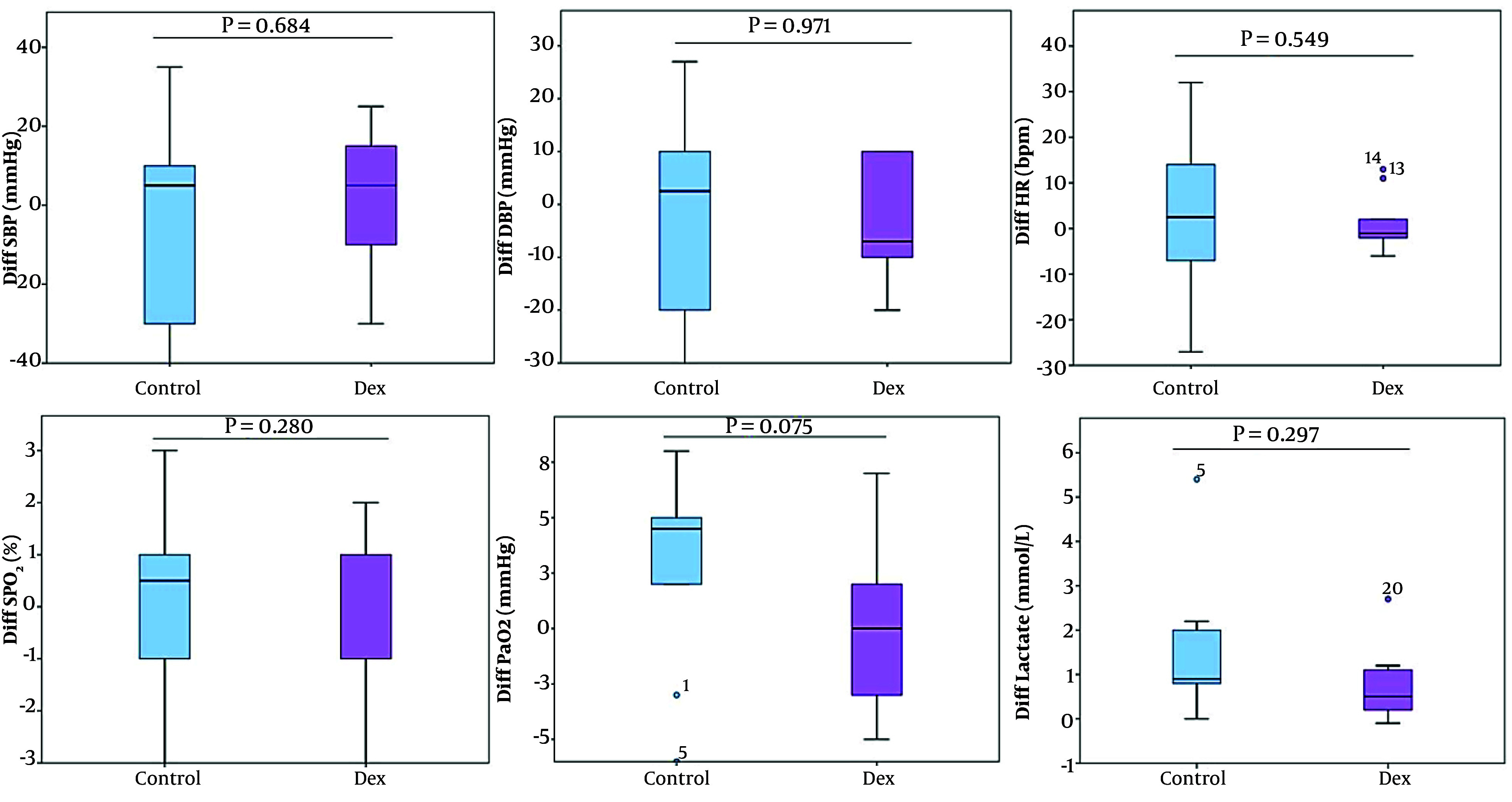
Results: Out of 45 participants, 20 were enrolled and analyzed. The comparison between groups showed that observed adverse effects were higher in the control group (4 patients) compared to the Dex group (1 patient), with common events being hypotension, bradycardia, and tachycardia. Biological markers, such as lactate and blood sugar (BS), increased in both groups, with the control group showing a greater increase in both lactate and BS levels (P = 0.012 and P = 0.009, respectively) compared to the Dex group (P = 0.017 and P = 0.093, respectively). Additionally, there were no significant differences in hemodynamic and respiratory markers between the groups (P > 0.05); however, Dex improved and preserved hemodynamic and respiratory stability more effectively.

Conclusions: The addition of Dex to the anesthesia protocol was safe and without adverse events, showing a promising role in improving cardiac function in patients undergoing open heart surgery.

Abstract Image

Abstract Image

Abstract Image

双盲、随机、对照试验确定右美托咪定在心脏直视手术患者围手术期的副作用和安全性。
背景:本研究旨在评价右美托咪定(dexmedetomidine,右美托咪定)在伊朗心脏直视手术患者术中及术后1天的副作用和安全性,以扩大右美托咪定在伊朗的临床应用。方法:该试点研究于2024年在伊朗戈列斯坦省戈尔根进行。接受心脏直视手术的男性和女性参与者被随机分配到Dex组(n = 10),接受0.5µg/kg/h的标准麻醉管理,或对照组(n = 10)。主要结局是出现不良事件的患者百分比。次要结果包括血流动力学和呼吸参数的稳定性,心律失常的发生,以及手术期间和术后24小时评估的生物学变化。结果:在45名参与者中,有20人入选并进行了分析。组间比较显示,观察到的不良反应,对照组(4例)高于右美托咪唑组(1例),常见事件为低血压、心动过缓、心动过速。两组的乳酸和血糖(BS)等生物标志物均有所升高,对照组的乳酸和BS水平均较Dex组升高(P = 0.017和P = 0.093), P = 0.012和P = 0.009。各组血液动力学指标和呼吸指标比较,差异均无统计学意义(P < 0.05);然而,右美托咪定能更有效地改善和保持血液动力学和呼吸稳定性。结论:在麻醉方案中加入右美托咪唑是安全的,无不良反应,对改善心内直视手术患者的心功能有很好的作用。
本文章由计算机程序翻译,如有差异,请以英文原文为准。
求助全文
约1分钟内获得全文 求助全文
来源期刊
Anesthesiology and Pain Medicine
Anesthesiology and Pain Medicine Medicine-Anesthesiology and Pain Medicine
CiteScore
4.60
自引率
0.00%
发文量
49
×
引用
GB/T 7714-2015
复制
MLA
复制
APA
复制
导出至
BibTeX EndNote RefMan NoteFirst NoteExpress
×
提示
您的信息不完整,为了账户安全,请先补充。
现在去补充
×
提示
您因"违规操作"
具体请查看互助需知
我知道了
×
提示
确定
请完成安全验证×
copy
已复制链接
快去分享给好友吧!
我知道了
右上角分享
点击右上角分享
0
联系我们:info@booksci.cn Book学术提供免费学术资源搜索服务,方便国内外学者检索中英文文献。致力于提供最便捷和优质的服务体验。 Copyright © 2023 布克学术 All rights reserved.
京ICP备2023020795号-1
ghs 京公网安备 11010802042870号
Book学术文献互助
Book学术文献互助群
群 号:604180095
Book学术官方微信