Sustainable and green extraction of citrus peel essential oil using intermittent solvent-free microwave technology.

IF 5.1 3区 生物学 Q1 BIOTECHNOLOGY & APPLIED MICROBIOLOGY
Yuhao Xie, Longdi Zhang, Wenting Wu, Jiahao Xie, Boliang Gao, Yiwen Xiao, Du Zhu
{"title":"Sustainable and green extraction of citrus peel essential oil using intermittent solvent-free microwave technology.","authors":"Yuhao Xie, Longdi Zhang, Wenting Wu, Jiahao Xie, Boliang Gao, Yiwen Xiao, Du Zhu","doi":"10.1186/s40643-025-00885-6","DOIUrl":null,"url":null,"abstract":"<p><p>In the present study, a novel technology called intermittent solvent-free microwave extraction (ISFME), which integrates intermittent microwave treatment with solvent-free extraction, was proposed. Taking Nanfeng citrus peel as the research object, the extraction efficiency and composition of its essential oil were evaluated and compared with conventional hydrodistillation (HD) and solvent-free microwave extraction (SFME). Results from single-factor experiments and response surface method optimization indicate that the optimal parameters for SFME are a power of 660 W, a duration of 20 min, and a water content of 60%, yielding an essential oil output of 3.47%. In contrast, the optimal parameters for ISFME, determined through single-factor experiments, are a moisture content of 50%, a power setting of 380 W, a reaction time of 6 min, a 15 min interval, and 4 reaction cycles, resulting in an essential oil yield of 3.51%. Notably, the extraction efficiencies of ISFME and SFME are significantly superior to that of HD, which requires 240 min and yields only 3.28% essential oil. Furthermore, ISFME demonstrates comparable performance to SFME in terms of reaction time, extraction rate, and oil quality, while operating at a substantially lower power requirement of 380 W compared to the 660 W needed for SFME. Additionally, the carbon dioxide emissions and energy consumption associated with ISFME are markedly lower than those of traditional methods, amounting to only one-third of the energy consumption of SFME. These findings underscore that ISFME not only enhances the efficiency and quality of essential oil extraction but also minimizes environmental impact, thereby highlighting its significant advantages in terms of sustainability and ecological responsibility.</p>","PeriodicalId":9067,"journal":{"name":"Bioresources and Bioprocessing","volume":"12 1","pages":"48"},"PeriodicalIF":5.1000,"publicationDate":"2025-05-29","publicationTypes":"Journal Article","fieldsOfStudy":null,"isOpenAccess":false,"openAccessPdf":"https://www.ncbi.nlm.nih.gov/pmc/articles/PMC12122996/pdf/","citationCount":"0","resultStr":null,"platform":"Semanticscholar","paperid":null,"PeriodicalName":"Bioresources and Bioprocessing","FirstCategoryId":"5","ListUrlMain":"https://doi.org/10.1186/s40643-025-00885-6","RegionNum":3,"RegionCategory":"生物学","ArticlePicture":[],"TitleCN":null,"AbstractTextCN":null,"PMCID":null,"EPubDate":"","PubModel":"","JCR":"Q1","JCRName":"BIOTECHNOLOGY & APPLIED MICROBIOLOGY","Score":null,"Total":0}
引用次数: 0

Abstract

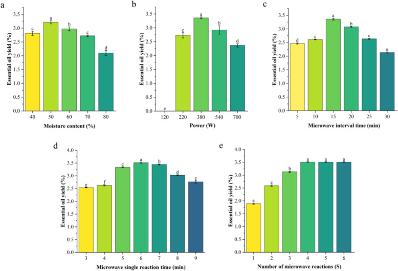
In the present study, a novel technology called intermittent solvent-free microwave extraction (ISFME), which integrates intermittent microwave treatment with solvent-free extraction, was proposed. Taking Nanfeng citrus peel as the research object, the extraction efficiency and composition of its essential oil were evaluated and compared with conventional hydrodistillation (HD) and solvent-free microwave extraction (SFME). Results from single-factor experiments and response surface method optimization indicate that the optimal parameters for SFME are a power of 660 W, a duration of 20 min, and a water content of 60%, yielding an essential oil output of 3.47%. In contrast, the optimal parameters for ISFME, determined through single-factor experiments, are a moisture content of 50%, a power setting of 380 W, a reaction time of 6 min, a 15 min interval, and 4 reaction cycles, resulting in an essential oil yield of 3.51%. Notably, the extraction efficiencies of ISFME and SFME are significantly superior to that of HD, which requires 240 min and yields only 3.28% essential oil. Furthermore, ISFME demonstrates comparable performance to SFME in terms of reaction time, extraction rate, and oil quality, while operating at a substantially lower power requirement of 380 W compared to the 660 W needed for SFME. Additionally, the carbon dioxide emissions and energy consumption associated with ISFME are markedly lower than those of traditional methods, amounting to only one-third of the energy consumption of SFME. These findings underscore that ISFME not only enhances the efficiency and quality of essential oil extraction but also minimizes environmental impact, thereby highlighting its significant advantages in terms of sustainability and ecological responsibility.

Abstract Image

Abstract Image

Abstract Image

间歇式无溶剂微波技术可持续绿色提取柑橘皮精油。
本研究提出了一种间歇无溶剂微波萃取(ISFME)新技术,它将间歇微波处理与无溶剂萃取相结合。以南丰柑桔皮为研究对象,对其挥发油的提取效率和成分进行了评价,并与常规加氢蒸馏法(HD)和无溶剂微波萃取法(SFME)进行了比较。单因素实验和响应面法优化结果表明,sme的最佳工艺参数为:功率660 W,持续时间20 min,含水量60%,精油得率为3.47%。通过单因素实验确定了ISFME的最佳工艺参数为:含水率50%,功率380 W,反应时间6 min,反应间隔15 min,反应周期4次,精油得率为3.51%。值得注意的是,ISFME和SFME的提取效率明显优于HD,后者的提取时间为240 min,提取率仅为3.28%。此外,ISFME在反应时间、提取率和油质量方面表现出与SFME相当的性能,而与SFME所需的660瓦相比,ISFME在380瓦的功率下运行。此外,与传统方法相比,与ISFME相关的二氧化碳排放和能源消耗明显降低,仅占SFME能源消耗的三分之一。这些发现强调,ISFME不仅提高了精油提取的效率和质量,而且最大限度地减少了对环境的影响,从而突出了其在可持续性和生态责任方面的显着优势。
本文章由计算机程序翻译,如有差异,请以英文原文为准。
求助全文
约1分钟内获得全文 求助全文
来源期刊
Bioresources and Bioprocessing
Bioresources and Bioprocessing BIOTECHNOLOGY & APPLIED MICROBIOLOGY-
CiteScore
7.20
自引率
8.70%
发文量
118
审稿时长
13 weeks
期刊介绍: Bioresources and Bioprocessing (BIOB) is a peer-reviewed open access journal published under the brand SpringerOpen. BIOB aims at providing an international academic platform for exchanging views on and promoting research to support bioresource development, processing and utilization in a sustainable manner. As an application-oriented research journal, BIOB covers not only the application and management of bioresource technology but also the design and development of bioprocesses that will lead to new and sustainable production processes. BIOB publishes original and review articles on most topics relating to bioresource and bioprocess engineering, including: -Biochemical and microbiological engineering -Biocatalysis and biotransformation -Biosynthesis and metabolic engineering -Bioprocess and biosystems engineering -Bioenergy and biorefinery -Cell culture and biomedical engineering -Food, agricultural and marine biotechnology -Bioseparation and biopurification engineering -Bioremediation and environmental biotechnology
×
引用
GB/T 7714-2015
复制
MLA
复制
APA
复制
导出至
BibTeX EndNote RefMan NoteFirst NoteExpress
×
提示
您的信息不完整,为了账户安全,请先补充。
现在去补充
×
提示
您因"违规操作"
具体请查看互助需知
我知道了
×
提示
确定
请完成安全验证×
copy
已复制链接
快去分享给好友吧!
我知道了
右上角分享
点击右上角分享
0
联系我们:info@booksci.cn Book学术提供免费学术资源搜索服务,方便国内外学者检索中英文文献。致力于提供最便捷和优质的服务体验。 Copyright © 2023 布克学术 All rights reserved.
京ICP备2023020795号-1
ghs 京公网安备 11010802042870号
Book学术文献互助
Book学术文献互助群
群 号:604180095
Book学术官方微信