Bet Hedging to Aid Seed-Based Wetland Restoration Under Hydrologic Extremes.

IF 2 4区 环境科学与生态学 Q3 ECOLOGY
Wetlands Pub Date : 2025-01-01 Epub Date: 2025-05-22 DOI:10.1007/s13157-025-01935-7
Elana V Feldman, Karin M Kettenring
{"title":"Bet Hedging to Aid Seed-Based Wetland Restoration Under Hydrologic Extremes.","authors":"Elana V Feldman, Karin M Kettenring","doi":"10.1007/s13157-025-01935-7","DOIUrl":null,"url":null,"abstract":"<p><p>Reestablishing native plant communities following invasive species management is a common restoration goal for wetland managers. Although passive recolonization is occasionally sufficient, often, active revegetation through seeding is required. However, the outcomes of seeding likely differ by site (due to varying environmental conditions) and the composition of the seed mix. We evaluated the effects of both passive recolonization and seeding treatments (varying density and diversity of natives) on wetland plant community cover and composition at two sites in the Great Salt Lake Watershed, USA, over two years. We found that passive recolonization was insufficient to increase native plant cover at one location and limit invasive species' cover at either location. Furthermore, different emergent wetland restoration sites, despite geographic proximity, had different plant community outcomes, likely due to distinct site environmental conditions. We also found that the effects of the seeding treatments appeared to be overwhelmed by water depth due to two extreme weather events (severe drought in year 1 and prolonged flooding in year 2). However, these events provided an opportunity to observe the recovery potential of the different functional groups and identify three species of restoration interest (<i>Bolboschoenus maritimus, Schoenoplectus acutus,</i> and <i>Distichlis spicata</i>) that were able to survive the extreme conditions during both growing seasons at one site. These findings underscore the importance of not relying on passive recolonization and instead using bet-hedging strategies (e.g., seeding diverse mixes with species with a range of hydrologic tolerances) to overcome hydrologic extremes, conditions likely to become more common with climate change and ever-increasing upstream water diversions.</p><p><strong>Supplementary information: </strong>The online version contains supplementary material available at 10.1007/s13157-025-01935-7.</p>","PeriodicalId":23640,"journal":{"name":"Wetlands","volume":"45 5","pages":"52"},"PeriodicalIF":2.0000,"publicationDate":"2025-01-01","publicationTypes":"Journal Article","fieldsOfStudy":null,"isOpenAccess":false,"openAccessPdf":"https://www.ncbi.nlm.nih.gov/pmc/articles/PMC12098206/pdf/","citationCount":"0","resultStr":null,"platform":"Semanticscholar","paperid":null,"PeriodicalName":"Wetlands","FirstCategoryId":"93","ListUrlMain":"https://doi.org/10.1007/s13157-025-01935-7","RegionNum":4,"RegionCategory":"环境科学与生态学","ArticlePicture":[],"TitleCN":null,"AbstractTextCN":null,"PMCID":null,"EPubDate":"2025/5/22 0:00:00","PubModel":"Epub","JCR":"Q3","JCRName":"ECOLOGY","Score":null,"Total":0}
引用次数: 0

Abstract

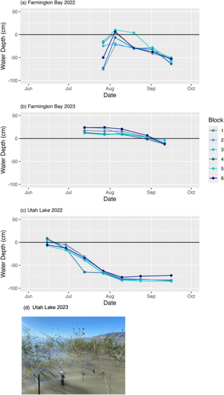
Reestablishing native plant communities following invasive species management is a common restoration goal for wetland managers. Although passive recolonization is occasionally sufficient, often, active revegetation through seeding is required. However, the outcomes of seeding likely differ by site (due to varying environmental conditions) and the composition of the seed mix. We evaluated the effects of both passive recolonization and seeding treatments (varying density and diversity of natives) on wetland plant community cover and composition at two sites in the Great Salt Lake Watershed, USA, over two years. We found that passive recolonization was insufficient to increase native plant cover at one location and limit invasive species' cover at either location. Furthermore, different emergent wetland restoration sites, despite geographic proximity, had different plant community outcomes, likely due to distinct site environmental conditions. We also found that the effects of the seeding treatments appeared to be overwhelmed by water depth due to two extreme weather events (severe drought in year 1 and prolonged flooding in year 2). However, these events provided an opportunity to observe the recovery potential of the different functional groups and identify three species of restoration interest (Bolboschoenus maritimus, Schoenoplectus acutus, and Distichlis spicata) that were able to survive the extreme conditions during both growing seasons at one site. These findings underscore the importance of not relying on passive recolonization and instead using bet-hedging strategies (e.g., seeding diverse mixes with species with a range of hydrologic tolerances) to overcome hydrologic extremes, conditions likely to become more common with climate change and ever-increasing upstream water diversions.

Supplementary information: The online version contains supplementary material available at 10.1007/s13157-025-01935-7.

Abstract Image

Abstract Image

Abstract Image

极端水文条件下种子湿地恢复的下注对冲研究
在入侵物种管理之后重建本土植物群落是湿地管理者的共同目标。虽然被动的再殖民偶尔是足够的,但通常需要通过播种进行主动的植被恢复。然而,播种的结果可能因地点(由于不同的环境条件)和种子混合物的组成而异。在两年多的时间里,我们评估了被动再定殖和播种处理(不同密度和多样性)对美国大盐湖流域两个地点湿地植物群落覆盖和组成的影响。研究发现,被动再定殖不足以增加一个地点的本土植物覆盖,也不足以限制两个地点的入侵物种覆盖。此外,尽管地理位置接近,但不同的应急湿地恢复点具有不同的植物群落结果,这可能是由于不同的场地环境条件。我们还发现,由于两个极端天气事件(第一年的严重干旱和第二年的长期洪水),播种处理的效果似乎被水深所淹没。然而,这些事件提供了一个机会来观察不同功能群的恢复潜力,并确定了三种恢复感兴趣的物种(Bolboschoenus maritimus, schoenplectus acutus和Distichlis spicata)能够在一个地点的两个生长季节的极端条件下生存。这些发现强调了不依赖被动再定殖的重要性,而是使用下注对冲策略(例如,播种具有一系列水文耐受性的物种的多样化混合物)来克服水文极端条件,这些条件可能随着气候变化和不断增加的上游调水而变得更加常见。补充信息:在线版本包含补充资料,可在10.1007/s13157-025-01935-7获得。
本文章由计算机程序翻译,如有差异,请以英文原文为准。
求助全文
约1分钟内获得全文 求助全文
来源期刊
Wetlands
Wetlands 环境科学-环境科学
CiteScore
4.00
自引率
10.00%
发文量
108
审稿时长
4.0 months
期刊介绍: Wetlands is an international journal concerned with all aspects of wetlands biology, ecology, hydrology, water chemistry, soil and sediment characteristics, management, and laws and regulations. The journal is published 6 times per year, with the goal of centralizing the publication of pioneering wetlands work that has otherwise been spread among a myriad of journals. Since wetlands research usually requires an interdisciplinary approach, the journal in not limited to specific disciplines but seeks manuscripts reporting research results from all relevant disciplines. Manuscripts focusing on management topics and regulatory considerations relevant to wetlands are also suitable. Submissions may be in the form of articles or short notes. Timely review articles will also be considered, but the subject and content should be discussed with the Editor-in-Chief (NDSU.wetlands.editor@ndsu.edu) prior to submission. All papers published in Wetlands are reviewed by two qualified peers, an Associate Editor, and the Editor-in-Chief prior to acceptance and publication. All papers must present new information, must be factual and original, and must not have been published elsewhere.
×
引用
GB/T 7714-2015
复制
MLA
复制
APA
复制
导出至
BibTeX EndNote RefMan NoteFirst NoteExpress
×
提示
您的信息不完整,为了账户安全,请先补充。
现在去补充
×
提示
您因"违规操作"
具体请查看互助需知
我知道了
×
提示
确定
请完成安全验证×
copy
已复制链接
快去分享给好友吧!
我知道了
右上角分享
点击右上角分享
0
联系我们:info@booksci.cn Book学术提供免费学术资源搜索服务,方便国内外学者检索中英文文献。致力于提供最便捷和优质的服务体验。 Copyright © 2023 布克学术 All rights reserved.
京ICP备2023020795号-1
ghs 京公网安备 11010802042870号
Book学术文献互助
Book学术文献互助群
群 号:604180095
Book学术官方微信