Phytochrome E Plays a Role in the Suppression of Germination in Far-Red Light in Tomato.

IF 2.3 3区 生物学 Q2 PLANT SCIENCES
Plant Direct Pub Date : 2025-05-23 eCollection Date: 2025-05-01 DOI:10.1002/pld3.70079
Samantha Barnwell, Keisha D Carlson, Daniel Balderrama, Sara Pernikoff, Tahseen Tanatrah, Andreas Madlung
{"title":"Phytochrome E Plays a Role in the Suppression of Germination in Far-Red Light in Tomato.","authors":"Samantha Barnwell, Keisha D Carlson, Daniel Balderrama, Sara Pernikoff, Tahseen Tanatrah, Andreas Madlung","doi":"10.1002/pld3.70079","DOIUrl":null,"url":null,"abstract":"<p><p>As photoautotrophs, plants use light not only as a source of energy but also as cues for directing growth and development. Phytochromes comprise a small gene family of plant specific light receptors that absorb mostly in the red/far-red portion of the electromagnetic spectrum. These light receptors are well-studied in the model species <i>Arabidopsis thaliana,</i> yet much less is known about their functions in other species. We have generated CRISPR-induced mutations in <i>SlPHYTOCHROME E</i> (<i>SlPHYE</i>) and <i>SlPHYF,</i> produced higher order mutants, and characterized some of their physiological functions in tomato (<i>Solanum lycopersicum</i>). We report that SlphyE plays a major role in detecting far-red light, repressing germination when light conditions are unfavorable for establishing a new seedling. While SlphyE functions on its own, it also synergistically works with another phytochrome, SlphyB1, which by itself only plays a minor role in germination control. Aside from its role in far-red light detection, SlPhyE is also involved in perceiving red light, leading to the repression of hypocotyl elongation and the promotion of light avoidance growth in the roots. SlPhyF acts synergistically with phyB1 during photomorphogenesis but it is not involved in far-red light detection during germination.</p>","PeriodicalId":20230,"journal":{"name":"Plant Direct","volume":"9 5","pages":"e70079"},"PeriodicalIF":2.3000,"publicationDate":"2025-05-23","publicationTypes":"Journal Article","fieldsOfStudy":null,"isOpenAccess":false,"openAccessPdf":"https://www.ncbi.nlm.nih.gov/pmc/articles/PMC12100499/pdf/","citationCount":"0","resultStr":null,"platform":"Semanticscholar","paperid":null,"PeriodicalName":"Plant Direct","FirstCategoryId":"99","ListUrlMain":"https://doi.org/10.1002/pld3.70079","RegionNum":3,"RegionCategory":"生物学","ArticlePicture":[],"TitleCN":null,"AbstractTextCN":null,"PMCID":null,"EPubDate":"2025/5/1 0:00:00","PubModel":"eCollection","JCR":"Q2","JCRName":"PLANT SCIENCES","Score":null,"Total":0}
引用次数: 0

Abstract

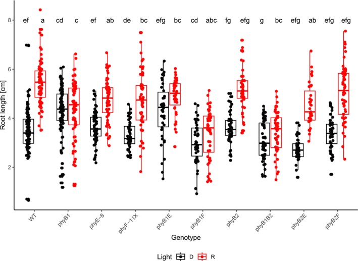
As photoautotrophs, plants use light not only as a source of energy but also as cues for directing growth and development. Phytochromes comprise a small gene family of plant specific light receptors that absorb mostly in the red/far-red portion of the electromagnetic spectrum. These light receptors are well-studied in the model species Arabidopsis thaliana, yet much less is known about their functions in other species. We have generated CRISPR-induced mutations in SlPHYTOCHROME E (SlPHYE) and SlPHYF, produced higher order mutants, and characterized some of their physiological functions in tomato (Solanum lycopersicum). We report that SlphyE plays a major role in detecting far-red light, repressing germination when light conditions are unfavorable for establishing a new seedling. While SlphyE functions on its own, it also synergistically works with another phytochrome, SlphyB1, which by itself only plays a minor role in germination control. Aside from its role in far-red light detection, SlPhyE is also involved in perceiving red light, leading to the repression of hypocotyl elongation and the promotion of light avoidance growth in the roots. SlPhyF acts synergistically with phyB1 during photomorphogenesis but it is not involved in far-red light detection during germination.

Abstract Image

Abstract Image

Abstract Image

光敏色素E在远红光下抑制番茄萌发中的作用。
作为光自养生物,植物不仅利用光作为能量来源,而且作为指导生长发育的线索。光敏色素由植物特异性光受体的一个小基因家族组成,主要吸收电磁波谱中的红色/远红色部分。这些光受体在模式物种拟南芥中得到了很好的研究,但对它们在其他物种中的功能知之甚少。我们已经在番茄(Solanum lycopersicum)中产生了crispr诱导的SlPHYTOCHROME E (SlPHYE)和SlPHYF突变,产生了高阶突变体,并表征了它们的一些生理功能。我们报道了SlphyE在检测远红光中起主要作用,当光条件不利于建立新幼苗时抑制萌发。虽然SlphyE单独发挥作用,但它也与另一种光敏色素SlphyB1协同作用,后者本身在发芽控制中仅起次要作用。除了在远红光检测中发挥作用外,SlPhyE还参与感知红光,从而抑制下胚轴伸长并促进根的避光生长。SlPhyF在光形态发生过程中与phyB1协同作用,但在萌发过程中不参与远红光检测。
本文章由计算机程序翻译,如有差异,请以英文原文为准。
求助全文
约1分钟内获得全文 求助全文
来源期刊
Plant Direct
Plant Direct Environmental Science-Ecology
CiteScore
5.00
自引率
3.30%
发文量
101
审稿时长
14 weeks
期刊介绍: Plant Direct is a monthly, sound science journal for the plant sciences that gives prompt and equal consideration to papers reporting work dealing with a variety of subjects. Topics include but are not limited to genetics, biochemistry, development, cell biology, biotic stress, abiotic stress, genomics, phenomics, bioinformatics, physiology, molecular biology, and evolution. A collaborative journal launched by the American Society of Plant Biologists, the Society for Experimental Biology and Wiley, Plant Direct publishes papers submitted directly to the journal as well as those referred from a select group of the societies’ journals.
×
引用
GB/T 7714-2015
复制
MLA
复制
APA
复制
导出至
BibTeX EndNote RefMan NoteFirst NoteExpress
×
提示
您的信息不完整,为了账户安全,请先补充。
现在去补充
×
提示
您因"违规操作"
具体请查看互助需知
我知道了
×
提示
确定
请完成安全验证×
copy
已复制链接
快去分享给好友吧!
我知道了
右上角分享
点击右上角分享
0
联系我们:info@booksci.cn Book学术提供免费学术资源搜索服务,方便国内外学者检索中英文文献。致力于提供最便捷和优质的服务体验。 Copyright © 2023 布克学术 All rights reserved.
京ICP备2023020795号-1
ghs 京公网安备 11010802042870号
Book学术文献互助
Book学术文献互助群
群 号:604180095
Book学术官方微信