Arteriovenous Oxygen Content Difference: A Diagnostic Predictor for Preselecting Invasive Treatment in Congenital Heart Disease-Related Pulmonary Arterial Hypertension.

IF 2.5 4区 医学 Q2 CARDIAC & CARDIOVASCULAR SYSTEMS
Pulmonary Circulation Pub Date : 2025-05-23 eCollection Date: 2025-04-01 DOI:10.1002/pul2.70091
Ashfaq Ahmad, Songlin Zhang, Lingling Li, Xiaoyu Wang, Yajuan Du, Ting Liu, Fenling Fan
{"title":"Arteriovenous Oxygen Content Difference: A Diagnostic Predictor for Preselecting Invasive Treatment in Congenital Heart Disease-Related Pulmonary Arterial Hypertension.","authors":"Ashfaq Ahmad, Songlin Zhang, Lingling Li, Xiaoyu Wang, Yajuan Du, Ting Liu, Fenling Fan","doi":"10.1002/pul2.70091","DOIUrl":null,"url":null,"abstract":"<p><p>Patients with congenital heart disease-related pulmonary arterial hypertension (CHD-PAH) often require regular follow-up through invasive right heart catheterization (RHC) to assess disease progression and potential interventions. This study aims to evaluate the relationship between arteriovenous oxygen content difference (Ca-vO<sub>2</sub>) and RHC parameters to identify blood gas parameters that can aid in a clue about preselecting patients with CHD-PAH for follow-up RHC and potential surgical or percutaneous shunt closure. In this study, a total of 137 adult CHD-PAH patients were retrospectively enrolled between September 2019 and May 2024. The patients were divided into two groups based on their Qp/Qs ratio (< 1.5 or ≥ 1.5). Key parameters such as Ca-vO<sub>2</sub>, 6-min walk distance (6MWD), TAPSE, and IVC diameter were correlated with RHC parameters such as mean pulmonary artery pressure (mPAP), pulmonary vascular resistance (PVR), and pulmonary capillary wedge pressure (PCWP) and compared across groups with Qp/Qs < 1.5 and ≥ 1.5. Statistical analysis included Pearson's correlation, logistic regression analysis, and receiver operator characteristic (ROC) curve to determine the predictors for shunt severity. The study enrolled 80 patients with CHD-related PAH in the final evaluation, with a mean age of 41 ± 15 years. Ca-vO<sub>2</sub> exhibits a significant positive correlation with RHC parameters, notably with mPAP (<i>r</i> = 0.524, <i>p</i> < 0.0001) and a negative correlation with Qp/Qs (<i>r</i> = -0.463, <i>p</i> = 0.04). Moreover, Ca-vO<sub>2</sub> emerged as a significant diagnostic predictor with an optimal cutoff value of < 4.3 mmol/L (AUC = 0.71, sensitivity 88.8%, specificity 53.4%). Other noninvasive parameters such as 6MWD, TAPSE, and IVC diameter with AUCs of 0.87, 0.83, and 0.85, respectively, also demonstrated a strong predictive value. Ca-vO<sub>2</sub> correlates well with CHD-PAH severity and can serve as a preselecting marker for invasive follow-up in CHD-related PAH. Other noninvasive measures such as 6MWD, TAPSE, and IVC diameter show stronger predictive value for assessing shunt severity.</p>","PeriodicalId":20927,"journal":{"name":"Pulmonary Circulation","volume":"15 2","pages":"e70091"},"PeriodicalIF":2.5000,"publicationDate":"2025-05-23","publicationTypes":"Journal Article","fieldsOfStudy":null,"isOpenAccess":false,"openAccessPdf":"https://www.ncbi.nlm.nih.gov/pmc/articles/PMC12099216/pdf/","citationCount":"0","resultStr":null,"platform":"Semanticscholar","paperid":null,"PeriodicalName":"Pulmonary Circulation","FirstCategoryId":"3","ListUrlMain":"https://doi.org/10.1002/pul2.70091","RegionNum":4,"RegionCategory":"医学","ArticlePicture":[],"TitleCN":null,"AbstractTextCN":null,"PMCID":null,"EPubDate":"2025/4/1 0:00:00","PubModel":"eCollection","JCR":"Q2","JCRName":"CARDIAC & CARDIOVASCULAR SYSTEMS","Score":null,"Total":0}
引用次数: 0

Abstract

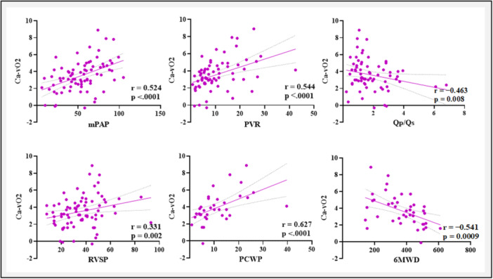
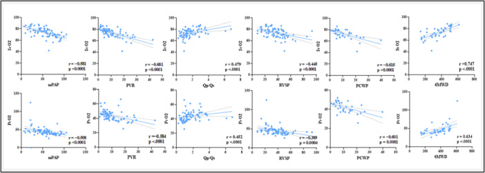
Patients with congenital heart disease-related pulmonary arterial hypertension (CHD-PAH) often require regular follow-up through invasive right heart catheterization (RHC) to assess disease progression and potential interventions. This study aims to evaluate the relationship between arteriovenous oxygen content difference (Ca-vO2) and RHC parameters to identify blood gas parameters that can aid in a clue about preselecting patients with CHD-PAH for follow-up RHC and potential surgical or percutaneous shunt closure. In this study, a total of 137 adult CHD-PAH patients were retrospectively enrolled between September 2019 and May 2024. The patients were divided into two groups based on their Qp/Qs ratio (< 1.5 or ≥ 1.5). Key parameters such as Ca-vO2, 6-min walk distance (6MWD), TAPSE, and IVC diameter were correlated with RHC parameters such as mean pulmonary artery pressure (mPAP), pulmonary vascular resistance (PVR), and pulmonary capillary wedge pressure (PCWP) and compared across groups with Qp/Qs < 1.5 and ≥ 1.5. Statistical analysis included Pearson's correlation, logistic regression analysis, and receiver operator characteristic (ROC) curve to determine the predictors for shunt severity. The study enrolled 80 patients with CHD-related PAH in the final evaluation, with a mean age of 41 ± 15 years. Ca-vO2 exhibits a significant positive correlation with RHC parameters, notably with mPAP (r = 0.524, p < 0.0001) and a negative correlation with Qp/Qs (r = -0.463, p = 0.04). Moreover, Ca-vO2 emerged as a significant diagnostic predictor with an optimal cutoff value of < 4.3 mmol/L (AUC = 0.71, sensitivity 88.8%, specificity 53.4%). Other noninvasive parameters such as 6MWD, TAPSE, and IVC diameter with AUCs of 0.87, 0.83, and 0.85, respectively, also demonstrated a strong predictive value. Ca-vO2 correlates well with CHD-PAH severity and can serve as a preselecting marker for invasive follow-up in CHD-related PAH. Other noninvasive measures such as 6MWD, TAPSE, and IVC diameter show stronger predictive value for assessing shunt severity.

Abstract Image

Abstract Image

Abstract Image

动静脉氧含量差异:先天性心脏病相关肺动脉高压预先选择侵入性治疗的诊断预测指标。
先天性心脏病相关性肺动脉高压(CHD-PAH)患者通常需要通过侵入性右心导管(RHC)进行定期随访,以评估疾病进展和潜在的干预措施。本研究旨在评估动静脉氧含量差(Ca-vO2)与RHC参数之间的关系,以确定血气参数,为预先选择冠心病- pah患者进行随访RHC和可能的手术或经皮分流术提供线索。在这项研究中,在2019年9月至2024年5月期间,共有137名成年冠心病- pah患者被回顾性纳入研究。根据Qp/Qs比(2,6 min步行距离(6MWD))、TAPSE、IVC直径与平均肺动脉压(mPAP)、肺血管阻力(PVR)、肺毛细血管楔压(PCWP)等RHC参数的相关性将患者分为两组,各组间比较Qp/Qs 2与RHC参数呈显著正相关,尤其是与mPAP呈显著正相关(r = 0.524, pr = -0.463, p = 0.04)。此外,Ca-vO2是一个重要的诊断预测因子,其最佳临界值为2,与冠心病相关性PAH的严重程度密切相关,可作为冠心病相关性PAH有创随访的预选标志物。其他无创测量如6MWD、TAPSE和IVC直径在评估分流严重程度方面显示出更强的预测价值。
本文章由计算机程序翻译,如有差异,请以英文原文为准。
求助全文
约1分钟内获得全文 求助全文
来源期刊
Pulmonary Circulation
Pulmonary Circulation Medicine-Pulmonary and Respiratory Medicine
CiteScore
4.20
自引率
11.50%
发文量
153
审稿时长
15 weeks
期刊介绍: Pulmonary Circulation''s main goal is to encourage basic, translational, and clinical research by investigators, physician-scientists, and clinicans, in the hope of increasing survival rates for pulmonary hypertension and other pulmonary vascular diseases worldwide, and developing new therapeutic approaches for the diseases. Freely available online, Pulmonary Circulation allows diverse knowledge of research, techniques, and case studies to reach a wide readership of specialists in order to improve patient care and treatment outcomes.
×
引用
GB/T 7714-2015
复制
MLA
复制
APA
复制
导出至
BibTeX EndNote RefMan NoteFirst NoteExpress
×
提示
您的信息不完整,为了账户安全,请先补充。
现在去补充
×
提示
您因"违规操作"
具体请查看互助需知
我知道了
×
提示
确定
请完成安全验证×
copy
已复制链接
快去分享给好友吧!
我知道了
右上角分享
点击右上角分享
0
联系我们:info@booksci.cn Book学术提供免费学术资源搜索服务,方便国内外学者检索中英文文献。致力于提供最便捷和优质的服务体验。 Copyright © 2023 布克学术 All rights reserved.
京ICP备2023020795号-1
ghs 京公网安备 11010802042870号
Book学术文献互助
Book学术文献互助群
群 号:604180095
Book学术官方微信