Machine Learning Model Integrating CT Radiomics of the Lung to Predict Checkpoint Inhibitor Pneumonitis in Patients with Advanced Cancer.

IF 2.8 4区 医学 Q3 ONCOLOGY
Technology in Cancer Research & Treatment Pub Date : 2025-01-01 Epub Date: 2025-05-23 DOI:10.1177/15330338251344004
François Cousin, Thomas Louis, Pierre Frères, Julien Guiot, Mariaelena Occhipinti, Fabio Bottari, Wim Vos, Roland Hustinx
{"title":"Machine Learning Model Integrating CT Radiomics of the Lung to Predict Checkpoint Inhibitor Pneumonitis in Patients with Advanced Cancer.","authors":"François Cousin, Thomas Louis, Pierre Frères, Julien Guiot, Mariaelena Occhipinti, Fabio Bottari, Wim Vos, Roland Hustinx","doi":"10.1177/15330338251344004","DOIUrl":null,"url":null,"abstract":"<p><p>ObjectiveCheckpoint inhibitor pneumonitis (CIP) is a potentially life-threatening immune-related adverse event. Efficient strategies to select patients at risk are still required. The aim of our study was to assess the utility of a machine learning model, integrating pre-treatment CT lung radiomics features with clinical data, to predict patients at risk of developing CIP.MethodsIn this retrospective study, 116 patients with varied malignancies treated with immune checkpoint inhibitors (ICIs) were included. In this cohort, 35 patients presented with CIP and 81 patients did not. Each lung and its lobes were segmented on pre-treatment CT scans to perform a handcrafted radiomic analysis. Radiomic features were associated with clinical parameters to build generalized linear (GLM) and random forest (RF) models, to predict occurrence of CIP. The models were fine-tuned, validated and tested using a nested 5-fold cross-validation method.ResultsThe RF models combining radiomic and clinical features showed the best performances with an area under the ROC curve (AUC) of 0.75 (95%CI:0.62-0.88) on the test set. The most accurate clinical model was a RF model and achieved an AUC of 0.72 (95%CI:0.51-0.92). The best radiomic model was a GLM model and achieved an AUC of 0.71 (95%CI:0.58-0.84).ConclusionsOur CT-based lung radiomic models showed moderate to good performance at predicting CIP. We demonstrated the potential role of machine learning models associating clinical parameters and lung CT radiomic features to better identify patients treated with ICIs at risk of developing CIP.Advances in knowledge: Radiomics analysis of the lung parenchyma could be used as a non-invasive tool to select patients at risk of developing immune-checkpoint pneumonitis.</p>","PeriodicalId":22203,"journal":{"name":"Technology in Cancer Research & Treatment","volume":"24 ","pages":"15330338251344004"},"PeriodicalIF":2.8000,"publicationDate":"2025-01-01","publicationTypes":"Journal Article","fieldsOfStudy":null,"isOpenAccess":false,"openAccessPdf":"https://www.ncbi.nlm.nih.gov/pmc/articles/PMC12102562/pdf/","citationCount":"0","resultStr":null,"platform":"Semanticscholar","paperid":null,"PeriodicalName":"Technology in Cancer Research & Treatment","FirstCategoryId":"3","ListUrlMain":"https://doi.org/10.1177/15330338251344004","RegionNum":4,"RegionCategory":"医学","ArticlePicture":[],"TitleCN":null,"AbstractTextCN":null,"PMCID":null,"EPubDate":"2025/5/23 0:00:00","PubModel":"Epub","JCR":"Q3","JCRName":"ONCOLOGY","Score":null,"Total":0}
引用次数: 0

Abstract

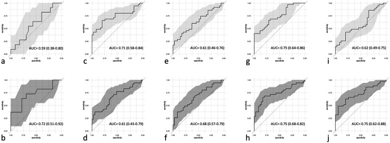
ObjectiveCheckpoint inhibitor pneumonitis (CIP) is a potentially life-threatening immune-related adverse event. Efficient strategies to select patients at risk are still required. The aim of our study was to assess the utility of a machine learning model, integrating pre-treatment CT lung radiomics features with clinical data, to predict patients at risk of developing CIP.MethodsIn this retrospective study, 116 patients with varied malignancies treated with immune checkpoint inhibitors (ICIs) were included. In this cohort, 35 patients presented with CIP and 81 patients did not. Each lung and its lobes were segmented on pre-treatment CT scans to perform a handcrafted radiomic analysis. Radiomic features were associated with clinical parameters to build generalized linear (GLM) and random forest (RF) models, to predict occurrence of CIP. The models were fine-tuned, validated and tested using a nested 5-fold cross-validation method.ResultsThe RF models combining radiomic and clinical features showed the best performances with an area under the ROC curve (AUC) of 0.75 (95%CI:0.62-0.88) on the test set. The most accurate clinical model was a RF model and achieved an AUC of 0.72 (95%CI:0.51-0.92). The best radiomic model was a GLM model and achieved an AUC of 0.71 (95%CI:0.58-0.84).ConclusionsOur CT-based lung radiomic models showed moderate to good performance at predicting CIP. We demonstrated the potential role of machine learning models associating clinical parameters and lung CT radiomic features to better identify patients treated with ICIs at risk of developing CIP.Advances in knowledge: Radiomics analysis of the lung parenchyma could be used as a non-invasive tool to select patients at risk of developing immune-checkpoint pneumonitis.

Abstract Image

Abstract Image

Abstract Image

整合肺部CT放射组学的机器学习模型预测晚期癌症患者的检查点抑制剂肺炎。
目的检查点抑制剂肺炎(CIP)是一种潜在危及生命的免疫相关不良事件。仍然需要有效的策略来选择有风险的患者。本研究的目的是评估机器学习模型的效用,将治疗前CT肺放射组学特征与临床数据相结合,以预测有发生CIP风险的患者。方法回顾性研究116例接受免疫检查点抑制剂(ICIs)治疗的恶性肿瘤患者。在这个队列中,35名患者出现CIP, 81名患者没有。在预处理CT扫描上对每个肺及其叶进行分割,以进行手工制作的放射学分析。将放射学特征与临床参数相关联,建立广义线性(GLM)和随机森林(RF)模型,预测CIP的发生。使用嵌套的5倍交叉验证方法对模型进行微调、验证和测试。结果结合放射学特征和临床特征的射频模型在测试集上表现最佳,ROC曲线下面积(AUC)为0.75 (95%CI:0.62 ~ 0.88)。最准确的临床模型是RF模型,AUC为0.72 (95%CI:0.51-0.92)。最佳放射学模型为GLM模型,AUC为0.71 (95%CI:0.58-0.84)。结论基于ct的肺放射学模型对CIP的预测具有中等到较好的效果。我们展示了机器学习模型的潜在作用,将临床参数和肺部CT放射学特征联系起来,以更好地识别接受ICIs治疗的患者发展为CIP的风险。知识进展:肺实质放射组学分析可作为一种非侵入性工具,用于选择有发生免疫检查点肺炎风险的患者。
本文章由计算机程序翻译,如有差异,请以英文原文为准。
求助全文
约1分钟内获得全文 求助全文
来源期刊
CiteScore
4.40
自引率
0.00%
发文量
202
审稿时长
2 months
期刊介绍: Technology in Cancer Research & Treatment (TCRT) is a JCR-ranked, broad-spectrum, open access, peer-reviewed publication whose aim is to provide researchers and clinicians with a platform to share and discuss developments in the prevention, diagnosis, treatment, and monitoring of cancer.
×
引用
GB/T 7714-2015
复制
MLA
复制
APA
复制
导出至
BibTeX EndNote RefMan NoteFirst NoteExpress
×
提示
您的信息不完整,为了账户安全,请先补充。
现在去补充
×
提示
您因"违规操作"
具体请查看互助需知
我知道了
×
提示
确定
请完成安全验证×
copy
已复制链接
快去分享给好友吧!
我知道了
右上角分享
点击右上角分享
0
联系我们:info@booksci.cn Book学术提供免费学术资源搜索服务,方便国内外学者检索中英文文献。致力于提供最便捷和优质的服务体验。 Copyright © 2023 布克学术 All rights reserved.
京ICP备2023020795号-1
ghs 京公网安备 11010802042870号
Book学术文献互助
Book学术文献互助群
群 号:604180095
Book学术官方微信