Analysis of Factors Determining Serologic Response to Treatment of Early Syphilis in Adult Men.

IF 2.4 Q2 INFECTIOUS DISEASES
Justyna Czarny, Damian Kadylak, Małgorzata Sokołowska-Wojdyło, Roman J Nowicki
{"title":"Analysis of Factors Determining Serologic Response to Treatment of Early Syphilis in Adult Men.","authors":"Justyna Czarny, Damian Kadylak, Małgorzata Sokołowska-Wojdyło, Roman J Nowicki","doi":"10.3390/idr17030041","DOIUrl":null,"url":null,"abstract":"<p><p><b>Background:</b> Syphilis is an infectious systemic disease that remains a public health threat, with an increasing incidence worldwide. Despite the availability of diagnostic tests and effective treatments, achieving a serological cure remains challenging for some patients. <b>Methods:</b> A retrospective cohort study of 130 male patients with early syphilis who attended the Department of Dermatology Venereology and Allergology in Gdansk was carried out between 2021 and 2024. This study assessed the rates of proper serological response and seroreversion of the VDRL test during the posttreatment follow-up period and analyzed selected factors influencing the achievement of these points. <b>Results:</b> The treatment outcomes were favorable; 96.15% of the patients achieved a proper serological response at a median of 1.54 months and seroreversion of the VDRL test within 18 months (median time = 7 months). A significantly greater proper serological response was observed in the primary and secondary syphilis patients than in the early latent syphilis patients (<i>p</i> = 0.005). A proper serological response was associated with age over 30 years (risk ratio (<i>RR</i>) = 1.381, <i>p</i> = 0.008) and VDRL baseline titers (≥1:32) (RR = 1.484, <i>p</i> = 0.005). The patients in the secondary or latent stage of early syphilis had a lower risk of seroreversion than those in the primary stage did (RR = 0.590, <i>p</i> = 0.030; <i>RR</i> = 0.560, <i>p</i> = 0.019, respectively). High titers at baseline (≥1:32) were also associated with a 30.8% reduced risk of seroreversion compared with lower titers (<i>RR</i> = 0.692, <i>p</i> = 0.038). <b>Conclusions</b>: These results suggest that age, syphilis stage, and titer level are significant predictors of the response rate. Based on these results, it is recommended that serological follow-up be concentrated within the first three months posttreatment, as this period accounts for the majority of treatment responses.</p>","PeriodicalId":13579,"journal":{"name":"Infectious Disease Reports","volume":"17 3","pages":""},"PeriodicalIF":2.4000,"publicationDate":"2025-04-27","publicationTypes":"Journal Article","fieldsOfStudy":null,"isOpenAccess":false,"openAccessPdf":"https://www.ncbi.nlm.nih.gov/pmc/articles/PMC12101400/pdf/","citationCount":"0","resultStr":null,"platform":"Semanticscholar","paperid":null,"PeriodicalName":"Infectious Disease Reports","FirstCategoryId":"1085","ListUrlMain":"https://doi.org/10.3390/idr17030041","RegionNum":0,"RegionCategory":null,"ArticlePicture":[],"TitleCN":null,"AbstractTextCN":null,"PMCID":null,"EPubDate":"","PubModel":"","JCR":"Q2","JCRName":"INFECTIOUS DISEASES","Score":null,"Total":0}
引用次数: 0

Abstract

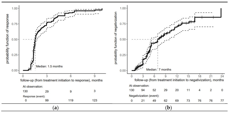
Background: Syphilis is an infectious systemic disease that remains a public health threat, with an increasing incidence worldwide. Despite the availability of diagnostic tests and effective treatments, achieving a serological cure remains challenging for some patients. Methods: A retrospective cohort study of 130 male patients with early syphilis who attended the Department of Dermatology Venereology and Allergology in Gdansk was carried out between 2021 and 2024. This study assessed the rates of proper serological response and seroreversion of the VDRL test during the posttreatment follow-up period and analyzed selected factors influencing the achievement of these points. Results: The treatment outcomes were favorable; 96.15% of the patients achieved a proper serological response at a median of 1.54 months and seroreversion of the VDRL test within 18 months (median time = 7 months). A significantly greater proper serological response was observed in the primary and secondary syphilis patients than in the early latent syphilis patients (p = 0.005). A proper serological response was associated with age over 30 years (risk ratio (RR) = 1.381, p = 0.008) and VDRL baseline titers (≥1:32) (RR = 1.484, p = 0.005). The patients in the secondary or latent stage of early syphilis had a lower risk of seroreversion than those in the primary stage did (RR = 0.590, p = 0.030; RR = 0.560, p = 0.019, respectively). High titers at baseline (≥1:32) were also associated with a 30.8% reduced risk of seroreversion compared with lower titers (RR = 0.692, p = 0.038). Conclusions: These results suggest that age, syphilis stage, and titer level are significant predictors of the response rate. Based on these results, it is recommended that serological follow-up be concentrated within the first three months posttreatment, as this period accounts for the majority of treatment responses.

Abstract Image

Abstract Image

成年男性早期梅毒治疗血清反应的影响因素分析。
背景:梅毒是一种传染性全身性疾病,仍然是公共卫生威胁,全球发病率不断上升。尽管有诊断测试和有效的治疗方法,但对一些患者来说,实现血清学治愈仍然具有挑战性。方法:对2021年至2024年在格但斯克皮肤病、性病和过敏症科就诊的130例男性早期梅毒患者进行回顾性队列研究。本研究评估了治疗后随访期间VDRL测试的适当血清学反应率和血清逆转率,并分析了影响这些点实现的选定因素。结果:治疗效果良好;96.15%的患者在1.54个月的中位时间内获得了适当的血清学反应,在18个月内(中位时间= 7个月)实现了VDRL检测的血清逆转。原发性和继发性梅毒患者的适当血清学反应明显高于早期潜伏梅毒患者(p = 0.005)。适当的血清学反应与年龄超过30岁(风险比(RR) = 1.381, p = 0.008)和VDRL基线滴度(≥1:32)(RR = 1.484, p = 0.005)相关。早期梅毒继发期和潜伏期患者血清逆转的风险低于原发期患者(RR = 0.590, p = 0.030;RR = 0.560, p = 0.019)。基线时高滴度(≥1:32)与低滴度相比,血清逆转风险降低30.8% (RR = 0.692, p = 0.038)。结论:这些结果提示年龄、梅毒分期和滴度水平是反应率的重要预测因子。基于这些结果,建议血清学随访集中在治疗后的前三个月内,因为这段时间占治疗反应的大部分。
本文章由计算机程序翻译,如有差异,请以英文原文为准。
求助全文
约1分钟内获得全文 求助全文
来源期刊
Infectious Disease Reports
Infectious Disease Reports INFECTIOUS DISEASES-
CiteScore
5.10
自引率
0.00%
发文量
82
审稿时长
11 weeks
×
引用
GB/T 7714-2015
复制
MLA
复制
APA
复制
导出至
BibTeX EndNote RefMan NoteFirst NoteExpress
×
提示
您的信息不完整,为了账户安全,请先补充。
现在去补充
×
提示
您因"违规操作"
具体请查看互助需知
我知道了
×
提示
确定
请完成安全验证×
copy
已复制链接
快去分享给好友吧!
我知道了
右上角分享
点击右上角分享
0
联系我们:info@booksci.cn Book学术提供免费学术资源搜索服务,方便国内外学者检索中英文文献。致力于提供最便捷和优质的服务体验。 Copyright © 2023 布克学术 All rights reserved.
京ICP备2023020795号-1
ghs 京公网安备 11010802042870号
Book学术文献互助
Book学术文献互助群
群 号:604180095
Book学术官方微信