Bile Acid Diarrhea Is Associated With an Increased Risk of Type 2 Diabetes and Cardiovascular Disease: A Nationwide Cohort Study.

IF 3 3区 医学 Q2 GASTROENTEROLOGY & HEPATOLOGY
Clinical and Translational Gastroenterology Pub Date : 2025-05-23 eCollection Date: 2025-07-01 DOI:10.14309/ctg.0000000000000863
Anne-Marie Ellegaard, Matilde Winther-Jensen, Line L Kårhus, Filip K Knop, Martin L Kårhus
{"title":"Bile Acid Diarrhea Is Associated With an Increased Risk of Type 2 Diabetes and Cardiovascular Disease: A Nationwide Cohort Study.","authors":"Anne-Marie Ellegaard, Matilde Winther-Jensen, Line L Kårhus, Filip K Knop, Martin L Kårhus","doi":"10.14309/ctg.0000000000000863","DOIUrl":null,"url":null,"abstract":"<p><strong>Introduction: </strong>Bile acid diarrhea (BAD) is a socially debilitating disease characterized by diarrhea, fecal urgency, and fecal incontinence. It is caused by excessive amounts of bile acids in the colon and is estimated to affect up to 1% of the population. Among other actions, bile acids regulate systemic glucose and lipid metabolism, and BAD has been associated with a dysmetabolic prediabetic-like state. Here, we investigate the association between BAD and type 2 diabetes (T2D) and cardiovascular disease (CVD), respectively.</p><p><strong>Methods: </strong>By using nationwide Danish health registries, individuals with BAD were identified by referral to the diagnostic 75 selenium-homotaurocholic acid test followed by redemption of a prescription of a bile acid sequestrant within 365 days or a BAD diagnosis code (n = 5,954). A reference population of age-matched and sex-matched individuals was included for comparison (n = 59,540).</p><p><strong>Results: </strong>More individuals with BAD than controls developed T2D (8.8% vs 5.2%) and experienced CVD (22.7% vs 18.0%) after index date (i.e., BAD diagnosis or matching, respectively). Sensitivity analyses revealed earlier onset of T2D and CVD in the BAD population compared with matches but no difference between sexes. The cause-specific hazards for T2D and CVD were 1.79 and 1.34, respectively, in the BAD population compared with matches. All-cause mortality-but not CVD-related mortality-was increased among individuals with BAD compared with matches.</p><p><strong>Discussion: </strong>BAD is associated with increased risk and earlier onset of T2D and CVD, respectively, as well as disturbed glucose and lipid metabolism, indicating BAD as a high-risk condition requiring intensified monitoring and relevant preventive interventions.</p>","PeriodicalId":10278,"journal":{"name":"Clinical and Translational Gastroenterology","volume":" ","pages":"e00863"},"PeriodicalIF":3.0000,"publicationDate":"2025-05-23","publicationTypes":"Journal Article","fieldsOfStudy":null,"isOpenAccess":false,"openAccessPdf":"https://www.ncbi.nlm.nih.gov/pmc/articles/PMC12330357/pdf/","citationCount":"0","resultStr":null,"platform":"Semanticscholar","paperid":null,"PeriodicalName":"Clinical and Translational Gastroenterology","FirstCategoryId":"3","ListUrlMain":"https://doi.org/10.14309/ctg.0000000000000863","RegionNum":3,"RegionCategory":"医学","ArticlePicture":[],"TitleCN":null,"AbstractTextCN":null,"PMCID":null,"EPubDate":"2025/7/1 0:00:00","PubModel":"eCollection","JCR":"Q2","JCRName":"GASTROENTEROLOGY & HEPATOLOGY","Score":null,"Total":0}
引用次数: 0

Abstract

Introduction: Bile acid diarrhea (BAD) is a socially debilitating disease characterized by diarrhea, fecal urgency, and fecal incontinence. It is caused by excessive amounts of bile acids in the colon and is estimated to affect up to 1% of the population. Among other actions, bile acids regulate systemic glucose and lipid metabolism, and BAD has been associated with a dysmetabolic prediabetic-like state. Here, we investigate the association between BAD and type 2 diabetes (T2D) and cardiovascular disease (CVD), respectively.

Methods: By using nationwide Danish health registries, individuals with BAD were identified by referral to the diagnostic 75 selenium-homotaurocholic acid test followed by redemption of a prescription of a bile acid sequestrant within 365 days or a BAD diagnosis code (n = 5,954). A reference population of age-matched and sex-matched individuals was included for comparison (n = 59,540).

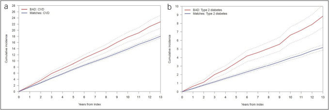
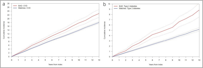
Results: More individuals with BAD than controls developed T2D (8.8% vs 5.2%) and experienced CVD (22.7% vs 18.0%) after index date (i.e., BAD diagnosis or matching, respectively). Sensitivity analyses revealed earlier onset of T2D and CVD in the BAD population compared with matches but no difference between sexes. The cause-specific hazards for T2D and CVD were 1.79 and 1.34, respectively, in the BAD population compared with matches. All-cause mortality-but not CVD-related mortality-was increased among individuals with BAD compared with matches.

Discussion: BAD is associated with increased risk and earlier onset of T2D and CVD, respectively, as well as disturbed glucose and lipid metabolism, indicating BAD as a high-risk condition requiring intensified monitoring and relevant preventive interventions.

Abstract Image

Abstract Image

Abstract Image

Abstract Image

Abstract Image

Abstract Image

胆汁酸腹泻与2型糖尿病和心血管疾病风险增加有关:一项全国性队列研究
胆汁酸性腹泻(BAD)是一种以腹泻、大便急迫和大便失禁为特征的社会衰弱性疾病。它是由结肠中胆汁酸过量引起的,据估计,影响人口的比例高达1%。在其他作用中,胆汁酸调节全身葡萄糖和脂质代谢,BAD与代谢异常的前驱糖尿病样状态有关。在这里,我们分别研究BAD与2型糖尿病(T2D)和心血管疾病(CVD)之间的关系。方法:通过使用丹麦全国卫生登记处,通过转诊诊断性75硒-同牛磺胆酸试验确定BAD患者,随后在365天内使用胆汁酸隔离剂处方或BAD诊断代码(n=5,954)。纳入年龄和性别匹配个体的参考人群进行比较(n=59,540)。结果:在指标日期(即BAD诊断或匹配)后,BAD患者出现T2D (8.8% vs. 5.2%)和CVD (22.7% vs. 18.0%)的比例高于对照组。敏感性分析显示BAD人群中T2D和CVD的发病较匹配人群早,但性别间无差异。与匹配人群相比,BAD人群中T2D和CVD的病因特异性风险分别为1.79和1.34。与匹配者相比,BAD患者的全因死亡率(不包括心血管疾病相关的死亡率)有所增加。讨论:BAD分别与T2D和CVD的风险增加和早期发病以及糖脂代谢紊乱相关,表明BAD是一种需要加强监测和相关预防干预的高风险疾病。
本文章由计算机程序翻译,如有差异,请以英文原文为准。
求助全文
约1分钟内获得全文 求助全文
来源期刊
Clinical and Translational Gastroenterology
Clinical and Translational Gastroenterology GASTROENTEROLOGY & HEPATOLOGY-
CiteScore
7.00
自引率
0.00%
发文量
114
审稿时长
16 weeks
期刊介绍: Clinical and Translational Gastroenterology (CTG), published on behalf of the American College of Gastroenterology (ACG), is a peer-reviewed open access online journal dedicated to innovative clinical work in the field of gastroenterology and hepatology. CTG hopes to fulfill an unmet need for clinicians and scientists by welcoming novel cohort studies, early-phase clinical trials, qualitative and quantitative epidemiologic research, hypothesis-generating research, studies of novel mechanisms and methodologies including public health interventions, and integration of approaches across organs and disciplines. CTG also welcomes hypothesis-generating small studies, methods papers, and translational research with clear applications to human physiology or disease. Colon and small bowel Endoscopy and novel diagnostics Esophagus Functional GI disorders Immunology of the GI tract Microbiology of the GI tract Inflammatory bowel disease Pancreas and biliary tract Liver Pathology Pediatrics Preventative medicine Nutrition/obesity Stomach.
×
引用
GB/T 7714-2015
复制
MLA
复制
APA
复制
导出至
BibTeX EndNote RefMan NoteFirst NoteExpress
×
提示
您的信息不完整,为了账户安全,请先补充。
现在去补充
×
提示
您因"违规操作"
具体请查看互助需知
我知道了
×
提示
确定
请完成安全验证×
copy
已复制链接
快去分享给好友吧!
我知道了
右上角分享
点击右上角分享
0
联系我们:info@booksci.cn Book学术提供免费学术资源搜索服务,方便国内外学者检索中英文文献。致力于提供最便捷和优质的服务体验。 Copyright © 2023 布克学术 All rights reserved.
京ICP备2023020795号-1
ghs 京公网安备 11010802042870号
Book学术文献互助
Book学术文献互助群
群 号:604180095
Book学术官方微信