Evaluation of Far Ultraviolet-C Light for Decontamination of Organisms in Whole Milk and Chicken Manure.

Q1 Medicine
Pathogens and Immunity Pub Date : 2025-05-19 eCollection Date: 2025-01-01 DOI:10.20411/pai.v10i2.801
Samir Memic, Jennifer L Cadnum, Curtis J Donskey
{"title":"Evaluation of Far Ultraviolet-C Light for Decontamination of Organisms in Whole Milk and Chicken Manure.","authors":"Samir Memic, Jennifer L Cadnum, Curtis J Donskey","doi":"10.20411/pai.v10i2.801","DOIUrl":null,"url":null,"abstract":"<p><strong>Background: </strong>The dissemination of highly pathogenic avian influenza (HPAI) A(H5N1) in US poultry and dairy cows poses a public health threat. Farm workers caring for infected animals are at risk to acquire infections due to exposure to contaminated milk or poultry feces and secretions. Far ultraviolet-C (UV-C) light could provide continuous decontamination of surfaces and air in agricultural settings, but efficacy against organisms in whole milk or chicken manure is unclear.</p><p><strong>Methods: </strong>We examined the efficacy of far UV-C light against bacteriophage MS2 and methicillin-resistant <i>Staphylococcus aureus</i> (MRSA) in phosphate-buffered saline (PBS), 5% fetal calf serum, whole milk, or 5%, 10%, and 25% chicken manure, both in liquid suspension and dried on surfaces. We also compared the efficacy of 300 mJ/cm<sup>2</sup> doses of far UV-C and 254-nm UV-C light against the test organisms in liquid droplets or droplets dried on surfaces.</p><p><strong>Results: </strong>For both test organisms, far UV-C achieved significantly smaller log<sub>10</sub> reductions in whole milk and in chicken manure suspensions than in PBS or 5% fetal calf serum, both in liquid suspension and when dried on surfaces (<i>P</i><0.0001). In whole milk, average reductions of both organisms with all doses were ≤1.2 log<sub>10</sub> in liquid suspensions and ≤2.4 log<sub>10</sub> when dried on surfaces. We found 254-nm UV-C was significantly more effective in reducing MRSA and MS2 dried on surfaces in whole milk or in 10% chicken manure (<i>P</i>≤0.02) but not in liquid droplets (<i>P</i>>0.05) except 5% chicken manure (<i>P</i><0.001).</p><p><strong>Conclusions: </strong>Our results suggest that in the absence of prior cleaning and disinfection far UV-C and 254-nm UV-C light technologies may have limited efficacy as an adjunctive method to reduce the risk for transmission of HPAI from surfaces in high-risk settings on farms.</p>","PeriodicalId":36419,"journal":{"name":"Pathogens and Immunity","volume":"10 2","pages":"87-96"},"PeriodicalIF":0.0000,"publicationDate":"2025-05-19","publicationTypes":"Journal Article","fieldsOfStudy":null,"isOpenAccess":false,"openAccessPdf":"https://www.ncbi.nlm.nih.gov/pmc/articles/PMC12094166/pdf/","citationCount":"0","resultStr":null,"platform":"Semanticscholar","paperid":null,"PeriodicalName":"Pathogens and Immunity","FirstCategoryId":"1085","ListUrlMain":"https://doi.org/10.20411/pai.v10i2.801","RegionNum":0,"RegionCategory":null,"ArticlePicture":[],"TitleCN":null,"AbstractTextCN":null,"PMCID":null,"EPubDate":"2025/1/1 0:00:00","PubModel":"eCollection","JCR":"Q1","JCRName":"Medicine","Score":null,"Total":0}
引用次数: 0

Abstract

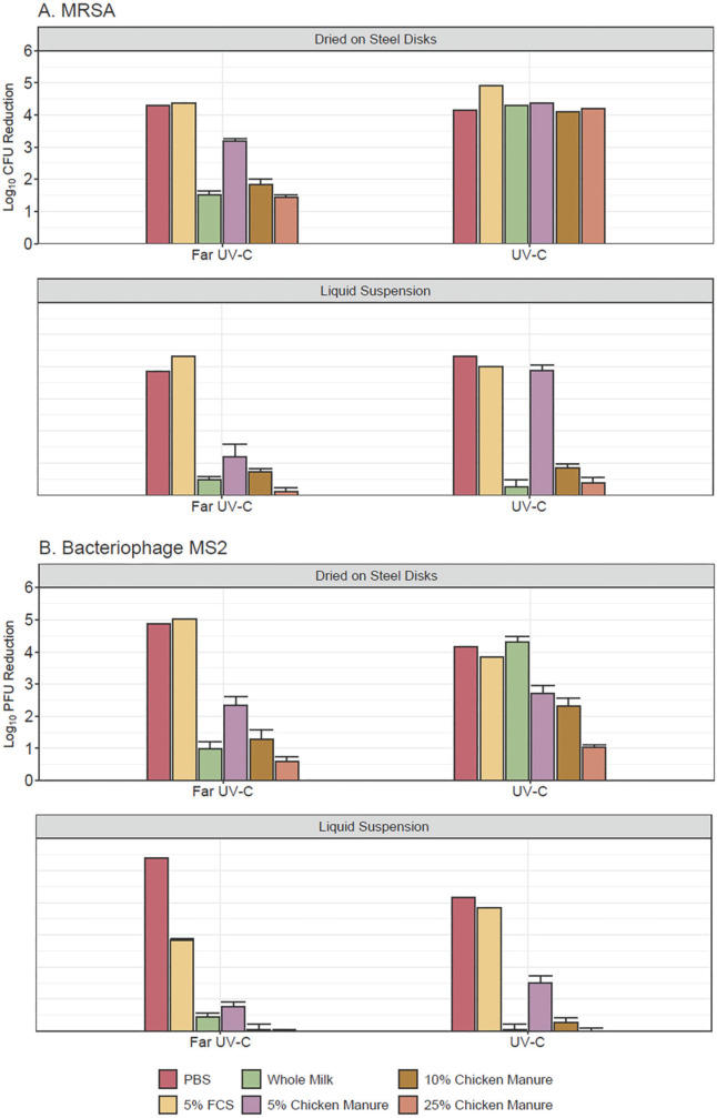
Background: The dissemination of highly pathogenic avian influenza (HPAI) A(H5N1) in US poultry and dairy cows poses a public health threat. Farm workers caring for infected animals are at risk to acquire infections due to exposure to contaminated milk or poultry feces and secretions. Far ultraviolet-C (UV-C) light could provide continuous decontamination of surfaces and air in agricultural settings, but efficacy against organisms in whole milk or chicken manure is unclear.

Methods: We examined the efficacy of far UV-C light against bacteriophage MS2 and methicillin-resistant Staphylococcus aureus (MRSA) in phosphate-buffered saline (PBS), 5% fetal calf serum, whole milk, or 5%, 10%, and 25% chicken manure, both in liquid suspension and dried on surfaces. We also compared the efficacy of 300 mJ/cm2 doses of far UV-C and 254-nm UV-C light against the test organisms in liquid droplets or droplets dried on surfaces.

Results: For both test organisms, far UV-C achieved significantly smaller log10 reductions in whole milk and in chicken manure suspensions than in PBS or 5% fetal calf serum, both in liquid suspension and when dried on surfaces (P<0.0001). In whole milk, average reductions of both organisms with all doses were ≤1.2 log10 in liquid suspensions and ≤2.4 log10 when dried on surfaces. We found 254-nm UV-C was significantly more effective in reducing MRSA and MS2 dried on surfaces in whole milk or in 10% chicken manure (P≤0.02) but not in liquid droplets (P>0.05) except 5% chicken manure (P<0.001).

Conclusions: Our results suggest that in the absence of prior cleaning and disinfection far UV-C and 254-nm UV-C light technologies may have limited efficacy as an adjunctive method to reduce the risk for transmission of HPAI from surfaces in high-risk settings on farms.

Abstract Image

Abstract Image

远紫外- c光去除全脂牛奶和鸡粪中有机物的效果评价。
背景:高致病性禽流感(HPAI) A(H5N1)在美国家禽和奶牛中的传播构成了公共卫生威胁。照料受感染动物的农场工人由于接触受污染的牛奶或家禽粪便和分泌物而有感染的风险。远紫外- c (UV-C)光可以为农业环境中的表面和空气提供持续的净化,但对全脂牛奶或鸡粪中的微生物的功效尚不清楚。方法:我们检测了远紫外- c光对噬菌体MS2和耐甲氧西林金黄色葡萄球菌(MRSA)在磷酸盐缓冲盐水(PBS)、5%胎牛血清、全脂牛奶或5%、10%和25%鸡粪中的效果,液体悬浮液和表面干燥。我们还比较了300 mJ/cm2剂量的远紫外- c和254 nm紫外- c光对液滴或表面干燥液滴中的试验生物的效果。结果:对于这两种测试生物,无论是液体悬浮液还是表面干燥时,远紫外线- c在全脂牛奶和鸡粪悬浮液中的log10减少量都明显小于PBS或5%胎牛血清(液体悬浮液中为P10,表面干燥时≤2.4 log10)。我们发现254 nm UV-C在减少MRSA和MS2干燥在全脂牛奶或10%鸡粪表面(P≤0.02)的效果显著,但在液滴(P < 0.05)中效果不显著(P < 0.05),除了5%鸡粪(P < 0.05)。结论:我们的研究结果表明,在没有事先清洁和消毒的情况下,远UV-C和254 nm UV-C光技术作为辅助方法降低高致病性禽流感在高风险环境中从农场表面传播的风险的效果有限。
本文章由计算机程序翻译,如有差异,请以英文原文为准。
求助全文
约1分钟内获得全文 求助全文
来源期刊
Pathogens and Immunity
Pathogens and Immunity Medicine-Infectious Diseases
CiteScore
10.60
自引率
0.00%
发文量
16
审稿时长
10 weeks
×
引用
GB/T 7714-2015
复制
MLA
复制
APA
复制
导出至
BibTeX EndNote RefMan NoteFirst NoteExpress
×
提示
您的信息不完整,为了账户安全,请先补充。
现在去补充
×
提示
您因"违规操作"
具体请查看互助需知
我知道了
×
提示
确定
请完成安全验证×
copy
已复制链接
快去分享给好友吧!
我知道了
右上角分享
点击右上角分享
0
联系我们:info@booksci.cn Book学术提供免费学术资源搜索服务,方便国内外学者检索中英文文献。致力于提供最便捷和优质的服务体验。 Copyright © 2023 布克学术 All rights reserved.
京ICP备2023020795号-1
ghs 京公网安备 11010802042870号
Book学术文献互助
Book学术文献互助群
群 号:604180095
Book学术官方微信