Translation, cross-cultural adaptation, and validation of the Norwegian version of the Keratoconus Outcomes Research Questionnaire.

IF 2.9 Q2 HEALTH CARE SCIENCES & SERVICES
Eilin Lundanes, Svein Magne Roten, Helle Kristine Falkenberg, Lena Leren, Vibeke Sundling
{"title":"Translation, cross-cultural adaptation, and validation of the Norwegian version of the Keratoconus Outcomes Research Questionnaire.","authors":"Eilin Lundanes, Svein Magne Roten, Helle Kristine Falkenberg, Lena Leren, Vibeke Sundling","doi":"10.1186/s41687-025-00896-z","DOIUrl":null,"url":null,"abstract":"<p><strong>Purpose: </strong>To translate and adapt the Keratoconus Outcomes Research questionnaire (KORQ) to Norwegian language, culture, and environment, and to validate the translated version in a Norwegian population with keratoconus.</p><p><strong>Methods: </strong>KORQ was translated to Norwegian using a multi-step methodology. Persons with keratoconus submitted responses to KORQ-NO and NEI VFQ-25 through a digital platform, and a retest of KORQ-NO was performed over the telephone. Additional data from a clinical intervention study was included. The psychometric properties of KORQ-NO were assessed by Rasch analysis. Test-retest reliability, construct validity, and responsiveness were explored by Intraclass Correlation Coefficients, Spearman correlations and Wilcoxon Signed-rank test.</p><p><strong>Results: </strong>KORQ-NO and NEI VFQ-25 were completed by 165 participants with keratoconus. With few adjustments, the \"Activity limitations\" (AL) and \"Symptoms\" (S) subscales of KORQ-NO exhibit acceptable psychometric properties with good model fit, high internal reliability, and well-targeted items to the population. Deletion of four items (AL3, AL3b, AL12, AL15) improved dimensionality of the \"Activity limitations\" subscale. Differential item functioning was present in two items (AL4 and AL6). Participants and optometrists confirmed content validity, and KORQ-NO exhibited good test-retest reliability (AL ICC = 0.90 and S ICC = 0.81), construct validity, and responsiveness.</p><p><strong>Conclusions: </strong>Successful translation and adaptation of KORQ to Norwegian language, culture and environment was confirmed by acceptable psychometric properties, with good validity, reliability, and responsiveness. The authors support the use of KORQ-NO in research, clinical practice, and as documentation for national insurance benefit applications.</p>","PeriodicalId":36660,"journal":{"name":"Journal of Patient-Reported Outcomes","volume":"9 1","pages":"57"},"PeriodicalIF":2.9000,"publicationDate":"2025-05-22","publicationTypes":"Journal Article","fieldsOfStudy":null,"isOpenAccess":false,"openAccessPdf":"https://www.ncbi.nlm.nih.gov/pmc/articles/PMC12098238/pdf/","citationCount":"0","resultStr":null,"platform":"Semanticscholar","paperid":null,"PeriodicalName":"Journal of Patient-Reported Outcomes","FirstCategoryId":"1085","ListUrlMain":"https://doi.org/10.1186/s41687-025-00896-z","RegionNum":0,"RegionCategory":null,"ArticlePicture":[],"TitleCN":null,"AbstractTextCN":null,"PMCID":null,"EPubDate":"","PubModel":"","JCR":"Q2","JCRName":"HEALTH CARE SCIENCES & SERVICES","Score":null,"Total":0}
引用次数: 0

Abstract

Purpose: To translate and adapt the Keratoconus Outcomes Research questionnaire (KORQ) to Norwegian language, culture, and environment, and to validate the translated version in a Norwegian population with keratoconus.

Methods: KORQ was translated to Norwegian using a multi-step methodology. Persons with keratoconus submitted responses to KORQ-NO and NEI VFQ-25 through a digital platform, and a retest of KORQ-NO was performed over the telephone. Additional data from a clinical intervention study was included. The psychometric properties of KORQ-NO were assessed by Rasch analysis. Test-retest reliability, construct validity, and responsiveness were explored by Intraclass Correlation Coefficients, Spearman correlations and Wilcoxon Signed-rank test.

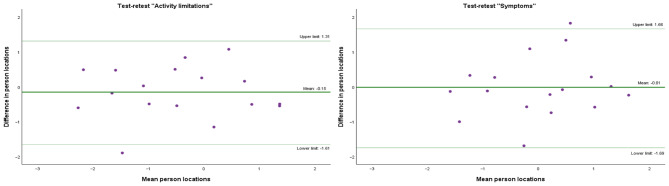
Results: KORQ-NO and NEI VFQ-25 were completed by 165 participants with keratoconus. With few adjustments, the "Activity limitations" (AL) and "Symptoms" (S) subscales of KORQ-NO exhibit acceptable psychometric properties with good model fit, high internal reliability, and well-targeted items to the population. Deletion of four items (AL3, AL3b, AL12, AL15) improved dimensionality of the "Activity limitations" subscale. Differential item functioning was present in two items (AL4 and AL6). Participants and optometrists confirmed content validity, and KORQ-NO exhibited good test-retest reliability (AL ICC = 0.90 and S ICC = 0.81), construct validity, and responsiveness.

Conclusions: Successful translation and adaptation of KORQ to Norwegian language, culture and environment was confirmed by acceptable psychometric properties, with good validity, reliability, and responsiveness. The authors support the use of KORQ-NO in research, clinical practice, and as documentation for national insurance benefit applications.

Abstract Image

Abstract Image

Abstract Image

挪威版圆锥角膜结局研究问卷的翻译、跨文化适应和验证。
目的:将圆锥角膜结局研究问卷(KORQ)翻译并适应挪威语言、文化和环境,并在挪威圆锥角膜人群中验证翻译版本。方法:采用多步骤方法将KORQ翻译成挪威语。圆锥角膜患者通过数字平台提交KORQ-NO和NEI VFQ-25的回复,并通过电话进行KORQ-NO的重新测试。另外还纳入了一项临床干预研究的数据。采用Rasch分析法评估KORQ-NO的心理测量特性。采用类内相关系数、Spearman相关系数和Wilcoxon sign -rank检验检验重测信度、构念效度和反应性。结果:165例圆锥角膜患者完成了KORQ-NO和NEI VFQ-25量表。KORQ-NO的“活动限制”(AL)和“症状”(S)分量表经过少量调整,表现出可接受的心理测量特性,具有良好的模型拟合、高内部信度和人群目标明确的项目。删除AL3、AL3b、AL12、AL15 4个条目提高了“活动限制”子量表的维度。差异项目功能存在于两个项目(AL4和AL6)。被试和验光师确认了内容效度,KORQ-NO具有良好的重测信度(AL ICC = 0.90, S ICC = 0.81)、结构效度和反应性。结论:KORQ对挪威语言、文化和环境的成功翻译和适应具有可接受的心理测量特性,具有良好的效度、信度和响应性。作者支持在研究、临床实践和国家保险福利申请中使用KORQ-NO。
本文章由计算机程序翻译,如有差异,请以英文原文为准。
求助全文
约1分钟内获得全文 求助全文
来源期刊
Journal of Patient-Reported Outcomes
Journal of Patient-Reported Outcomes Health Professions-Health Information Management
CiteScore
3.80
自引率
7.40%
发文量
120
审稿时长
20 weeks
×
引用
GB/T 7714-2015
复制
MLA
复制
APA
复制
导出至
BibTeX EndNote RefMan NoteFirst NoteExpress
×
提示
您的信息不完整,为了账户安全,请先补充。
现在去补充
×
提示
您因"违规操作"
具体请查看互助需知
我知道了
×
提示
确定
请完成安全验证×
copy
已复制链接
快去分享给好友吧!
我知道了
右上角分享
点击右上角分享
0
联系我们:info@booksci.cn Book学术提供免费学术资源搜索服务,方便国内外学者检索中英文文献。致力于提供最便捷和优质的服务体验。 Copyright © 2023 布克学术 All rights reserved.
京ICP备2023020795号-1
ghs 京公网安备 11010802042870号
Book学术文献互助
Book学术文献互助群
群 号:604180095
Book学术官方微信