Use of prone position in spontaneous breathing in patients with COVID-19.

IF 1.7 Q4 CRITICAL CARE MEDICINE
Journal of Critical Care Medicine Pub Date : 2025-04-30 eCollection Date: 2025-04-01 DOI:10.2478/jccm-2025-0015
Rodrigo Cerqueira Borges, Isadora Salvador Rocco, Camila Botana Alves Ferreira, Mauricio Kenzo Tobara, Cristiane Helena Papacidero, Vanessa Chaves Barreto Ferreira, Andrey Wirgues Sousa
{"title":"Use of prone position in spontaneous breathing in patients with COVID-19.","authors":"Rodrigo Cerqueira Borges, Isadora Salvador Rocco, Camila Botana Alves Ferreira, Mauricio Kenzo Tobara, Cristiane Helena Papacidero, Vanessa Chaves Barreto Ferreira, Andrey Wirgues Sousa","doi":"10.2478/jccm-2025-0015","DOIUrl":null,"url":null,"abstract":"<p><strong>Objective: </strong>To investigate if awake prone position (PP) reduces the rate of endotracheal intubation and mortality in patients with COVID-19 admitted to the intensive care unit (ICU).</p><p><strong>Methods: </strong>This was a retrospective cohort study of 726 patients who were admitted to the ICU with acute hypoxic respiratory failure secondary to COVID-19. The protocol of the institution recommended the use of awake PP in patients with nasal catheter with an oxygen flow ≥ 5 L/min and SpO<sub>2</sub> ≤ 90% or a high-flow nasal catheter (HFNC) with FiO<sub>2</sub> ≥ 50% and SpO<sub>2</sub> ≤ 90%. The following data were collected: age, comorbidities, SAPS-3 score, onset of symptoms, the degree of pulmonary involvement, duration of invasive and noninvasive MV, HFNC therapy, nitric oxide therapy, hemodialysis and PP while spontaneously breathing.</p><p><strong>Results: </strong>There was a higher mortality rate in the supine position group (27.1%) than in the awake PP group (13.9%). There was no significant difference in the time on MV or number of patients on MV (p>0.05). The variables with p < 0.05 in the bivariate analysis were entered into the Cox regression model. The model was adjusted for awake PP, sex, age, SAPS-3 score, onset of symptoms, the degree of pulmonary involvement, chronic arterial disease, and noninvasive ventilation. The only variable associated with lower mortality over time was awake PP (hazard ratio: 0.55; 95% confidence interval: 0.33-0.92).</p><p><strong>Conclusion: </strong>Awake prone position has been shown to be a safe and effective therapy that reduced mortality but not the risk of intubation in patients with COVID-19.</p>","PeriodicalId":44227,"journal":{"name":"Journal of Critical Care Medicine","volume":"11 2","pages":"149-156"},"PeriodicalIF":1.7000,"publicationDate":"2025-04-30","publicationTypes":"Journal Article","fieldsOfStudy":null,"isOpenAccess":false,"openAccessPdf":"https://www.ncbi.nlm.nih.gov/pmc/articles/PMC12080528/pdf/","citationCount":"0","resultStr":null,"platform":"Semanticscholar","paperid":null,"PeriodicalName":"Journal of Critical Care Medicine","FirstCategoryId":"1085","ListUrlMain":"https://doi.org/10.2478/jccm-2025-0015","RegionNum":0,"RegionCategory":null,"ArticlePicture":[],"TitleCN":null,"AbstractTextCN":null,"PMCID":null,"EPubDate":"2025/4/1 0:00:00","PubModel":"eCollection","JCR":"Q4","JCRName":"CRITICAL CARE MEDICINE","Score":null,"Total":0}
引用次数: 0

Abstract

Objective: To investigate if awake prone position (PP) reduces the rate of endotracheal intubation and mortality in patients with COVID-19 admitted to the intensive care unit (ICU).

Methods: This was a retrospective cohort study of 726 patients who were admitted to the ICU with acute hypoxic respiratory failure secondary to COVID-19. The protocol of the institution recommended the use of awake PP in patients with nasal catheter with an oxygen flow ≥ 5 L/min and SpO2 ≤ 90% or a high-flow nasal catheter (HFNC) with FiO2 ≥ 50% and SpO2 ≤ 90%. The following data were collected: age, comorbidities, SAPS-3 score, onset of symptoms, the degree of pulmonary involvement, duration of invasive and noninvasive MV, HFNC therapy, nitric oxide therapy, hemodialysis and PP while spontaneously breathing.

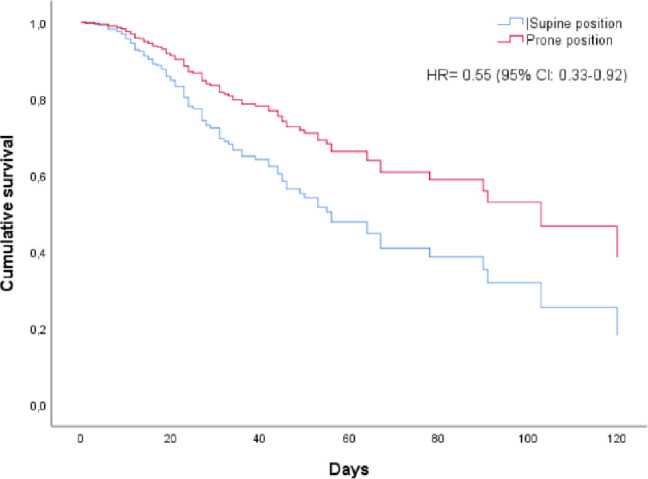
Results: There was a higher mortality rate in the supine position group (27.1%) than in the awake PP group (13.9%). There was no significant difference in the time on MV or number of patients on MV (p>0.05). The variables with p < 0.05 in the bivariate analysis were entered into the Cox regression model. The model was adjusted for awake PP, sex, age, SAPS-3 score, onset of symptoms, the degree of pulmonary involvement, chronic arterial disease, and noninvasive ventilation. The only variable associated with lower mortality over time was awake PP (hazard ratio: 0.55; 95% confidence interval: 0.33-0.92).

Conclusion: Awake prone position has been shown to be a safe and effective therapy that reduced mortality but not the risk of intubation in patients with COVID-19.

Abstract Image

俯卧位在COVID-19患者自主呼吸中的应用
目的:探讨清醒俯卧位(PP)是否能降低重症监护病房(ICU)新冠肺炎患者气管插管率和死亡率。方法:对726例因COVID-19继发性急性缺氧呼吸衰竭入住ICU的患者进行回顾性队列研究。该机构的方案推荐对氧流量≥5l /min且SpO2≤90%的鼻导管患者或FiO2≥50%且SpO2≤90%的高流量鼻导管(HFNC)患者使用清醒PP。收集以下数据:年龄、合并症、SAPS-3评分、症状发作、肺部受累程度、有创和无创MV持续时间、HFNC治疗、一氧化氮治疗、血液透析和自主呼吸时PP。结果:仰卧位组病死率(27.1%)高于清醒PP组(13.9%)。两组间治疗时间、治疗人数差异无统计学意义(p < 0.05)。双变量分析中p < 0.05的变量输入Cox回归模型。根据醒时PP、性别、年龄、SAPS-3评分、症状发作、肺受累程度、慢性动脉疾病和无创通气对模型进行调整。随着时间的推移,与较低死亡率相关的唯一变量是清醒PP(风险比:0.55;95%置信区间:0.33-0.92)。结论:醒着俯卧位已被证明是一种安全有效的治疗方法,可降低COVID-19患者的死亡率,但不能降低插管风险。
本文章由计算机程序翻译,如有差异,请以英文原文为准。
求助全文
约1分钟内获得全文 求助全文
来源期刊
Journal of Critical Care Medicine
Journal of Critical Care Medicine CRITICAL CARE MEDICINE-
CiteScore
2.00
自引率
9.10%
发文量
21
审稿时长
11 weeks
×
引用
GB/T 7714-2015
复制
MLA
复制
APA
复制
导出至
BibTeX EndNote RefMan NoteFirst NoteExpress
×
提示
您的信息不完整,为了账户安全,请先补充。
现在去补充
×
提示
您因"违规操作"
具体请查看互助需知
我知道了
×
提示
确定
请完成安全验证×
copy
已复制链接
快去分享给好友吧!
我知道了
右上角分享
点击右上角分享
0
联系我们:info@booksci.cn Book学术提供免费学术资源搜索服务,方便国内外学者检索中英文文献。致力于提供最便捷和优质的服务体验。 Copyright © 2023 布克学术 All rights reserved.
京ICP备2023020795号-1
ghs 京公网安备 11010802042870号
Book学术文献互助
Book学术文献互助群
群 号:604180095
Book学术官方微信