Common mental disorders in São Paulo city, 2003-2015: population-based serial cross-sectional panel studies.

IF 2 Q1 Multidisciplinary
Epidemiologia e Servicos de Saude Pub Date : 2025-05-09 eCollection Date: 2025-01-01 DOI:10.1590/S2237-96222025v34.20240048.en
Thiago Pestana Pinto, Camila Nascimento Monteiro, Moises Goldbaum, Chester Luiz Galvão César, Paulo Rossi Menezes
{"title":"Common mental disorders in São Paulo city, 2003-2015: population-based serial cross-sectional panel studies.","authors":"Thiago Pestana Pinto, Camila Nascimento Monteiro, Moises Goldbaum, Chester Luiz Galvão César, Paulo Rossi Menezes","doi":"10.1590/S2237-96222025v34.20240048.en","DOIUrl":null,"url":null,"abstract":"<p><strong>Objective: </strong>To describe the temporal evolution of common mental disorders among individuals aged 20 or over living in the urban area of ​​São Paulo city.</p><p><strong>Methods: </strong>Population-based serial cross-sectional panel studies with data from the 2003, 2008 and 2015 editions of the São Paulo City Health Survey. Presence of common mental disorders was measured using the Self-Reporting Questionnaire-20. We used Poisson regression to estimate crude and adjusted prevalence ratios (PR) and 95% confidence intervals (95%CI) to verify differences in the prevalence of common mental disorders between years.</p><p><strong>Results: </strong>The total number of participants in this investigation was 1,565 in 2003, 2,019 in 2008 and 3,169 in 2015. In the adjusted analysis, there was a reduction in the prevalence of common mental disorders between 2003 and 2015 in females aged between 20 and 59 years old (PR 0.68; 95%CI 0.56; 0.84). In the same period, there was no significant variation among male individuals aged 20 to 59 (PR 1.25; 95%CI 0.86; 1.82), nor among females aged 60 or over (PR 0.95; 95%CI 0.69; 1.32) and males aged 60 or over (PR 0.68; 95%CI 0.44; 1.07).</p>","PeriodicalId":51473,"journal":{"name":"Epidemiologia e Servicos de Saude","volume":"34 ","pages":"e20240048"},"PeriodicalIF":2.0000,"publicationDate":"2025-05-09","publicationTypes":"Journal Article","fieldsOfStudy":null,"isOpenAccess":false,"openAccessPdf":"https://www.ncbi.nlm.nih.gov/pmc/articles/PMC12064162/pdf/","citationCount":"0","resultStr":null,"platform":"Semanticscholar","paperid":null,"PeriodicalName":"Epidemiologia e Servicos de Saude","FirstCategoryId":"1085","ListUrlMain":"https://doi.org/10.1590/S2237-96222025v34.20240048.en","RegionNum":0,"RegionCategory":null,"ArticlePicture":[],"TitleCN":null,"AbstractTextCN":null,"PMCID":null,"EPubDate":"2025/1/1 0:00:00","PubModel":"eCollection","JCR":"Q1","JCRName":"Multidisciplinary","Score":null,"Total":0}
引用次数: 0

Abstract

Objective: To describe the temporal evolution of common mental disorders among individuals aged 20 or over living in the urban area of ​​São Paulo city.

Methods: Population-based serial cross-sectional panel studies with data from the 2003, 2008 and 2015 editions of the São Paulo City Health Survey. Presence of common mental disorders was measured using the Self-Reporting Questionnaire-20. We used Poisson regression to estimate crude and adjusted prevalence ratios (PR) and 95% confidence intervals (95%CI) to verify differences in the prevalence of common mental disorders between years.

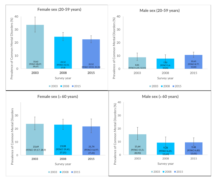
Results: The total number of participants in this investigation was 1,565 in 2003, 2,019 in 2008 and 3,169 in 2015. In the adjusted analysis, there was a reduction in the prevalence of common mental disorders between 2003 and 2015 in females aged between 20 and 59 years old (PR 0.68; 95%CI 0.56; 0.84). In the same period, there was no significant variation among male individuals aged 20 to 59 (PR 1.25; 95%CI 0.86; 1.82), nor among females aged 60 or over (PR 0.95; 95%CI 0.69; 1.32) and males aged 60 or over (PR 0.68; 95%CI 0.44; 1.07).

Abstract Image

Abstract Image

2003-2015年圣保罗市常见精神障碍:基于人群的系列横断面面板研究
目的:了解圣保罗市城区20岁及以上人群常见精神障碍的时间演变特征。方法:基于人群的连续横断面面板研究,数据来自2003年、2008年和2015年版的圣保罗市健康调查。使用自我报告问卷-20测量常见精神障碍的存在。我们使用泊松回归来估计粗患病率和调整患病率(PR)和95%置信区间(95% ci),以验证不同年份间常见精神障碍患病率的差异。结果:2003年参与调查的总人数为1565人,2008年为2019人,2015年为3169人。在调整后的分析中,2003年至2015年期间,20至59岁女性中常见精神障碍的患病率有所下降(PR为0.68;95%可信区间0.56;0.84)。同期,20 ~ 59岁男性个体间无显著差异(PR 1.25;95%可信区间0.86;1.82), 60岁或以上的女性也没有(PR 0.95;95%可信区间0.69;1.32)和60岁或以上的男性(PR 0.68;95%可信区间0.44;1.07)。
本文章由计算机程序翻译,如有差异,请以英文原文为准。
求助全文
约1分钟内获得全文 求助全文
来源期刊
Epidemiologia e Servicos de Saude
Epidemiologia e Servicos de Saude PUBLIC, ENVIRONMENTAL & OCCUPATIONAL HEALTH-
CiteScore
4.90
自引率
0.00%
发文量
88
审稿时长
21 weeks
×
引用
GB/T 7714-2015
复制
MLA
复制
APA
复制
导出至
BibTeX EndNote RefMan NoteFirst NoteExpress
×
提示
您的信息不完整,为了账户安全,请先补充。
现在去补充
×
提示
您因"违规操作"
具体请查看互助需知
我知道了
×
提示
确定
请完成安全验证×
copy
已复制链接
快去分享给好友吧!
我知道了
右上角分享
点击右上角分享
0
联系我们:info@booksci.cn Book学术提供免费学术资源搜索服务,方便国内外学者检索中英文文献。致力于提供最便捷和优质的服务体验。 Copyright © 2023 布克学术 All rights reserved.
京ICP备2023020795号-1
ghs 京公网安备 11010802042870号
Book学术文献互助
Book学术文献互助群
群 号:604180095
Book学术官方微信