Maternal smoking around birth is associated with an increased risk of offspring constipation: Evidence from a Mendelian randomization study.

IF 1.9 4区 医学 Q2 PUBLIC, ENVIRONMENTAL & OCCUPATIONAL HEALTH
Tobacco Induced Diseases Pub Date : 2025-05-08 eCollection Date: 2025-01-01 DOI:10.18332/tid/203866
Yong Shen, Siqi Xie, Yu Lin, Yifan Fang, Bing Zhang, Jinna Zhang
{"title":"Maternal smoking around birth is associated with an increased risk of offspring constipation: Evidence from a Mendelian randomization study.","authors":"Yong Shen, Siqi Xie, Yu Lin, Yifan Fang, Bing Zhang, Jinna Zhang","doi":"10.18332/tid/203866","DOIUrl":null,"url":null,"abstract":"<p><strong>Introduction: </strong>This study aimed to investigate the association between maternal smoking around birth and the incidence of offspring constipation.</p><p><strong>Methods: </strong>Genome-wide association study (GWAS) data for maternal smoking around birth and offspring constipation were obtained from the Mendelian randomization (MR) Base platform. Single nucleotide polymorphisms (SNPs) significantly associated with maternal smoking around birth were utilized as instrumental variables in two-sample MR analyses to explore the relationship between maternal smoking and offspring constipation. The analytical methods employed included the inverse-variance weighted (IVW) method, weighted median estimator, and MR-Egger regression.</p><p><strong>Results: </strong>Twenty SNPs significantly associated with maternal smoking around birth (p<5×10<sup>-8</sup>; linkage disequilibrium r<sup>2</sup><0.001) were identified. Across the different methods, a consistent positive association was observed between maternal smoking around birth and an increased risk of constipation in offspring (IVW: OR=4.35; 95% CI: 1.81-10.45; weighted median estimator: OR=4.23; 95% CI: 1.22-14.75; MR-Egger: OR=0.92; 95% CI: 0.01-122.07), suggesting that higher frequency of maternal smoking is associated with an elevated risk of constipation in offspring. However, we did not detect any potential effect of genetic liability to constipation risk on maternal smoking.</p><p><strong>Conclusions: </strong>This study provides evidence suggesting that increased maternal smoking around the time of birth may be linked to a higher risk of constipation in offspring.</p>","PeriodicalId":23202,"journal":{"name":"Tobacco Induced Diseases","volume":"23 ","pages":""},"PeriodicalIF":1.9000,"publicationDate":"2025-05-08","publicationTypes":"Journal Article","fieldsOfStudy":null,"isOpenAccess":false,"openAccessPdf":"https://www.ncbi.nlm.nih.gov/pmc/articles/PMC12060150/pdf/","citationCount":"0","resultStr":null,"platform":"Semanticscholar","paperid":null,"PeriodicalName":"Tobacco Induced Diseases","FirstCategoryId":"3","ListUrlMain":"https://doi.org/10.18332/tid/203866","RegionNum":4,"RegionCategory":"医学","ArticlePicture":[],"TitleCN":null,"AbstractTextCN":null,"PMCID":null,"EPubDate":"2025/1/1 0:00:00","PubModel":"eCollection","JCR":"Q2","JCRName":"PUBLIC, ENVIRONMENTAL & OCCUPATIONAL HEALTH","Score":null,"Total":0}
引用次数: 0

Abstract

Introduction: This study aimed to investigate the association between maternal smoking around birth and the incidence of offspring constipation.

Methods: Genome-wide association study (GWAS) data for maternal smoking around birth and offspring constipation were obtained from the Mendelian randomization (MR) Base platform. Single nucleotide polymorphisms (SNPs) significantly associated with maternal smoking around birth were utilized as instrumental variables in two-sample MR analyses to explore the relationship between maternal smoking and offspring constipation. The analytical methods employed included the inverse-variance weighted (IVW) method, weighted median estimator, and MR-Egger regression.

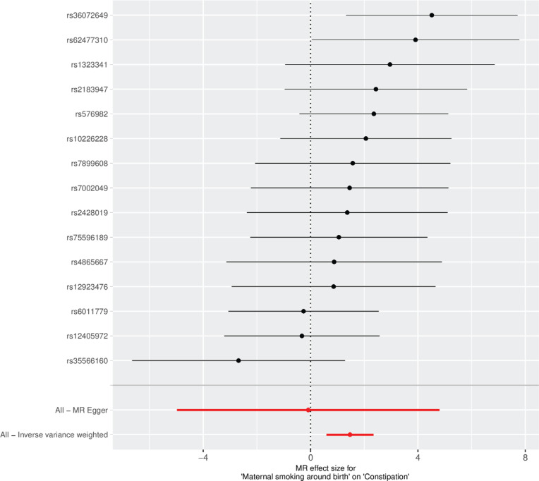
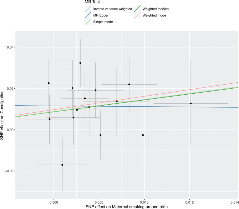
Results: Twenty SNPs significantly associated with maternal smoking around birth (p<5×10-8; linkage disequilibrium r2<0.001) were identified. Across the different methods, a consistent positive association was observed between maternal smoking around birth and an increased risk of constipation in offspring (IVW: OR=4.35; 95% CI: 1.81-10.45; weighted median estimator: OR=4.23; 95% CI: 1.22-14.75; MR-Egger: OR=0.92; 95% CI: 0.01-122.07), suggesting that higher frequency of maternal smoking is associated with an elevated risk of constipation in offspring. However, we did not detect any potential effect of genetic liability to constipation risk on maternal smoking.

Conclusions: This study provides evidence suggesting that increased maternal smoking around the time of birth may be linked to a higher risk of constipation in offspring.

Abstract Image

Abstract Image

Abstract Image

母亲在分娩时吸烟与后代便秘风险增加有关:来自孟德尔随机研究的证据。
本研究旨在探讨分娩前后母亲吸烟与后代便秘发生率之间的关系。方法:从孟德尔随机化(MR)基础平台获得产妇分娩前后吸烟与后代便秘的全基因组关联研究(GWAS)数据。在双样本MR分析中,利用与分娩前后母亲吸烟显著相关的单核苷酸多态性(snp)作为工具变量,探讨母亲吸烟与后代便秘之间的关系。分析方法包括反方差加权(IVW)法、加权中位数估计法和MR-Egger回归法。结果:20个snp与母亲出生前后吸烟显著相关(p-8;结论:本研究提供的证据表明,母亲在分娩前后吸烟的增加可能与后代便秘的高风险有关。
本文章由计算机程序翻译,如有差异,请以英文原文为准。
求助全文
约1分钟内获得全文 求助全文
来源期刊
Tobacco Induced Diseases
Tobacco Induced Diseases SUBSTANCE ABUSE-PUBLIC, ENVIRONMENTAL & OCCUPATIONAL HEALTH
CiteScore
5.30
自引率
5.40%
发文量
95
审稿时长
12 weeks
期刊介绍: Tobacco Induced Diseases encompasses all aspects of research related to the prevention and control of tobacco use at a global level. Preventing diseases attributable to tobacco is only one aspect of the journal, whose overall scope is to provide a forum for the publication of research articles that can contribute to reducing the burden of tobacco induced diseases globally. To address this epidemic we believe that there must be an avenue for the publication of research/policy activities on tobacco control initiatives that may be very important at a regional and national level. This approach provides a very important "hands on" service to the tobacco control community at a global scale - as common problems have common solutions. Hence, we see ourselves as "connectors" within this global community. The journal hence encourages the submission of articles from all medical, biological and psychosocial disciplines, ranging from medical and dental clinicians, through health professionals to basic biomedical and clinical scientists.
×
引用
GB/T 7714-2015
复制
MLA
复制
APA
复制
导出至
BibTeX EndNote RefMan NoteFirst NoteExpress
×
提示
您的信息不完整,为了账户安全,请先补充。
现在去补充
×
提示
您因"违规操作"
具体请查看互助需知
我知道了
×
提示
确定
请完成安全验证×
copy
已复制链接
快去分享给好友吧!
我知道了
右上角分享
点击右上角分享
0
联系我们:info@booksci.cn Book学术提供免费学术资源搜索服务,方便国内外学者检索中英文文献。致力于提供最便捷和优质的服务体验。 Copyright © 2023 布克学术 All rights reserved.
京ICP备2023020795号-1
ghs 京公网安备 11010802042870号
Book学术文献互助
Book学术文献互助群
群 号:604180095
Book学术官方微信