Assessment of Tonometry Methods in Keratoconic Eyes Following Intracorneal Ring Segments Implantation: A Comparative Study.

Korean journal of ophthalmology : KJO Pub Date : 2025-06-01 Epub Date: 2025-05-07 DOI:10.3341/kjo.2025.0016
Siamak Zarei-Ghanavati, Seyed Mehdi Tabatabaei, Samaneh Gholamhoseinpour-Omran, Hamed Hosseinikhah-Manshadi, Saeed Banan, Mehdi Aminizade, Kosar Esmaili, Ebrahim Azaripour
{"title":"Assessment of Tonometry Methods in Keratoconic Eyes Following Intracorneal Ring Segments Implantation: A Comparative Study.","authors":"Siamak Zarei-Ghanavati, Seyed Mehdi Tabatabaei, Samaneh Gholamhoseinpour-Omran, Hamed Hosseinikhah-Manshadi, Saeed Banan, Mehdi Aminizade, Kosar Esmaili, Ebrahim Azaripour","doi":"10.3341/kjo.2025.0016","DOIUrl":null,"url":null,"abstract":"<p><strong>Purpose: </strong>To compare intraocular pressure (IOP) readings from corneas with intracorneal corneal ring segments (ICRS) using various methods, including Goldmann applanation tonometry (GAT), Tonopen, corneal-compensated IOP from the Ocular Response Analyzer (ORA), and biomechanically corrected IOP from the Corneal Visualization Scheimpflug Technology (Corvis ST).</p><p><strong>Methods: </strong>This cross-sectional observational study included participants who had undergone ICRS implantation with KeraRing at least 3 months before the study. The mean IOP recorded by different instruments was compared using analysis of variance. Agreement among the methods was assessed with Bland-Altman plots.</p><p><strong>Results: </strong>A total of 54 eyes from 27 participants were enrolled. The mean IOP measured by Tonopen was significantly lower in the center compared to the peripheral quadrants (p < 0.001). IOP measured by GAT was significantly lower than that measured by Tonopen (13.02 ± 2.31 mmHg vs. 14.50 ± 2.91 mmHg, p = 0.021). There were no significant differences between the IOP measurements provided by Tonopen, ORA, and Corvis ST. The corneal-compensated IOP from ORA and biomechanically corrected IOP from Corvis ST had the highest correlation, with a weak intraclass correlation coefficient of 0.38.</p><p><strong>Conclusions: </strong>IOP measurements using Tonopen were significantly lower in the central 5-mm zone compared to other quadrants. GAT measurements were significantly lower than those from Tonopen. Different measurement tools did not show a strong correlation. Corvis ST (biomechanically corrected IOP) tended to present lower readings at higher IOP levels in eyes with ICRS.</p>","PeriodicalId":101356,"journal":{"name":"Korean journal of ophthalmology : KJO","volume":" ","pages":"231-240"},"PeriodicalIF":0.0000,"publicationDate":"2025-06-01","publicationTypes":"Journal Article","fieldsOfStudy":null,"isOpenAccess":false,"openAccessPdf":"https://www.ncbi.nlm.nih.gov/pmc/articles/PMC12178681/pdf/","citationCount":"0","resultStr":null,"platform":"Semanticscholar","paperid":null,"PeriodicalName":"Korean journal of ophthalmology : KJO","FirstCategoryId":"1085","ListUrlMain":"https://doi.org/10.3341/kjo.2025.0016","RegionNum":0,"RegionCategory":null,"ArticlePicture":[],"TitleCN":null,"AbstractTextCN":null,"PMCID":null,"EPubDate":"2025/5/7 0:00:00","PubModel":"Epub","JCR":"","JCRName":"","Score":null,"Total":0}
引用次数: 0

Abstract

Purpose: To compare intraocular pressure (IOP) readings from corneas with intracorneal corneal ring segments (ICRS) using various methods, including Goldmann applanation tonometry (GAT), Tonopen, corneal-compensated IOP from the Ocular Response Analyzer (ORA), and biomechanically corrected IOP from the Corneal Visualization Scheimpflug Technology (Corvis ST).

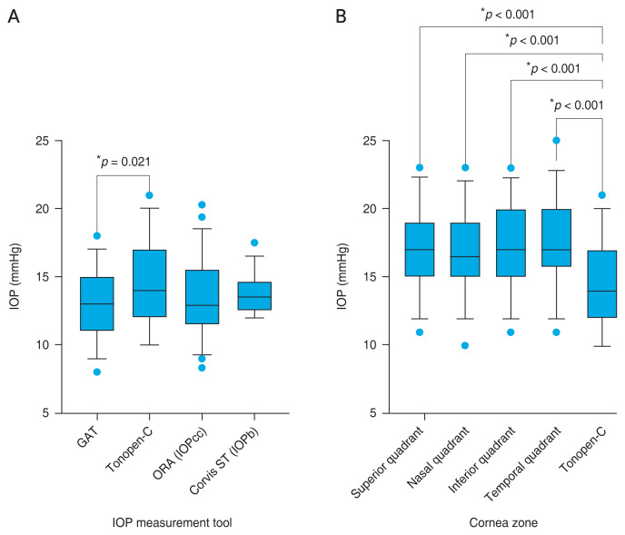
Methods: This cross-sectional observational study included participants who had undergone ICRS implantation with KeraRing at least 3 months before the study. The mean IOP recorded by different instruments was compared using analysis of variance. Agreement among the methods was assessed with Bland-Altman plots.

Results: A total of 54 eyes from 27 participants were enrolled. The mean IOP measured by Tonopen was significantly lower in the center compared to the peripheral quadrants (p < 0.001). IOP measured by GAT was significantly lower than that measured by Tonopen (13.02 ± 2.31 mmHg vs. 14.50 ± 2.91 mmHg, p = 0.021). There were no significant differences between the IOP measurements provided by Tonopen, ORA, and Corvis ST. The corneal-compensated IOP from ORA and biomechanically corrected IOP from Corvis ST had the highest correlation, with a weak intraclass correlation coefficient of 0.38.

Conclusions: IOP measurements using Tonopen were significantly lower in the central 5-mm zone compared to other quadrants. GAT measurements were significantly lower than those from Tonopen. Different measurement tools did not show a strong correlation. Corvis ST (biomechanically corrected IOP) tended to present lower readings at higher IOP levels in eyes with ICRS.

Abstract Image

Abstract Image

角膜内环段植入术后角膜屈光度测量方法的比较研究。
目的:比较角膜内眼压(IOP)与角膜环段(ICRS)的不同方法,包括Goldmann压平眼压测量(GAT)、Tonopen、ORA角膜代偿眼压(IOPcc)和Corvis st .生物力学校正眼压(IOPb)。方法:这项横断面观察性研究包括在研究前至少3个月接受KeraRing (Mediphacos, Belo Horizonte,巴西)ICRS植入术的参与者。采用方差分析比较不同仪器记录的平均眼压。用Bland-Altman图评价方法间的一致性。结果:共有来自27名参与者的54只眼睛被纳入研究。与周围象限相比,Tonopen测量的中心平均IOP显著低于周围象限(p < 0.001)。GAT测量的IOP明显低于Tonopen(13.02±2.31 mmHg vs. 14.50±2.91 mmHg, p = 0.02)。Tonopen、ORA和Corvis ST提供的IOP测量值之间无显著差异,ORA和Corvis ST提供的IOPb相关性最高,弱类内相关系数(ICC)为0.38。结论:与其他象限相比,使用Tonopen的IOP测量值在中心5mm区域明显较低。GAT测量值显著低于Tonopen。不同的测量工具没有显示出很强的相关性。在ICRS患者眼内高眼压水平时,Corvis ST (IOPb)往往呈现较低的读数。
本文章由计算机程序翻译,如有差异,请以英文原文为准。
求助全文
约1分钟内获得全文 求助全文
来源期刊
自引率
0.00%
发文量
0
×
引用
GB/T 7714-2015
复制
MLA
复制
APA
复制
导出至
BibTeX EndNote RefMan NoteFirst NoteExpress
×
提示
您的信息不完整,为了账户安全,请先补充。
现在去补充
×
提示
您因"违规操作"
具体请查看互助需知
我知道了
×
提示
确定
请完成安全验证×
copy
已复制链接
快去分享给好友吧!
我知道了
右上角分享
点击右上角分享
0
联系我们:info@booksci.cn Book学术提供免费学术资源搜索服务,方便国内外学者检索中英文文献。致力于提供最便捷和优质的服务体验。 Copyright © 2023 布克学术 All rights reserved.
京ICP备2023020795号-1
ghs 京公网安备 11010802042870号
Book学术文献互助
Book学术文献互助群
群 号:604180095
Book学术官方微信