Tissue eosinophil level as a predictor of control, severity, and recurrence of Chronic Rhinosinusitis with Nasal Polyps.

IF 3.1 Q2 ALLERGY
Frontiers in allergy Pub Date : 2025-04-25 eCollection Date: 2025-01-01 DOI:10.3389/falgy.2025.1549332
Julissa Vizcarra-Melgar, Serafín Sánchez-Gómez, Nuria López-González, Ramón Moreno-Luna, Jaime González-García, Juan Maza-Solano
{"title":"Tissue eosinophil level as a predictor of control, severity, and recurrence of Chronic Rhinosinusitis with Nasal Polyps.","authors":"Julissa Vizcarra-Melgar, Serafín Sánchez-Gómez, Nuria López-González, Ramón Moreno-Luna, Jaime González-García, Juan Maza-Solano","doi":"10.3389/falgy.2025.1549332","DOIUrl":null,"url":null,"abstract":"<p><strong>Introduction: </strong>The histopathologic study of nasal polyps establishes endotype features of chronic rhinosinusitis (CRS). A tissular eosinophil count greater than 10 per high power field (HPF) classifies this condition as type 2 inflammation. Blood and mucosal eosinophils are suggested as biomarkers of severity and control of CRS. Additionally, a tissular eosinophil count greater than 55 per HPF has been related to a high risk of recurrence in the Asian population. Our study aims to determine whether tissue eosinophil count is associated with the control, severity, and recurrence of Chronic Rhinosinusitis with Nasal Polyps (CRSwNP).</p><p><strong>Methods: </strong>An observational study of patients with CRSwNP who underwent nasal mucosa biopsy was conducted between June 2021 and November 2023. Histopathologic features, asthma control, CRSwNP control and severity according to the POLINA consensus, quality of life parameters, recurrence of CRSwNP, and laboratory markers were recorded and compared with the tissular eosinophil count.</p><p><strong>Results: </strong>A total of 108 cases were included. The majority (70.4%) had concomitant asthma, with 31.5% of the cases having well-controlled disease. Most patients had uncontrolled (57.4%) and severe (62%) CRSwNP. Fifty-four cases underwent surgery and 43.5% experienced recurrence. More than half had a SNOT-22 score greater than 50 points. Eighty-one percent of patients had a tissular eosinophil count greater than 10 per HPF, and 60.2% had blood eosinophilia greater than <math><mn>0.3</mn> <mo>×</mo> <msup><mn>10</mn> <mn>3</mn></msup> </math> . Blood eosinophilia was related to CRSwNP severity and control. No significant differences were found between tissue eosinophil count and the severity, control, and recurrence of CRSwNP.</p><p><strong>Conclusion: </strong>Tissue eosinophil levels were not a marker of control, severity, and recurrence of CRSwNP in our data. Blood eosinophil levels, however, were a marker of CRSwNP control and severity.</p>","PeriodicalId":73062,"journal":{"name":"Frontiers in allergy","volume":"6 ","pages":"1549332"},"PeriodicalIF":3.1000,"publicationDate":"2025-04-25","publicationTypes":"Journal Article","fieldsOfStudy":null,"isOpenAccess":false,"openAccessPdf":"https://www.ncbi.nlm.nih.gov/pmc/articles/PMC12061883/pdf/","citationCount":"0","resultStr":null,"platform":"Semanticscholar","paperid":null,"PeriodicalName":"Frontiers in allergy","FirstCategoryId":"1085","ListUrlMain":"https://doi.org/10.3389/falgy.2025.1549332","RegionNum":0,"RegionCategory":null,"ArticlePicture":[],"TitleCN":null,"AbstractTextCN":null,"PMCID":null,"EPubDate":"2025/1/1 0:00:00","PubModel":"eCollection","JCR":"Q2","JCRName":"ALLERGY","Score":null,"Total":0}
引用次数: 0

Abstract

Introduction: The histopathologic study of nasal polyps establishes endotype features of chronic rhinosinusitis (CRS). A tissular eosinophil count greater than 10 per high power field (HPF) classifies this condition as type 2 inflammation. Blood and mucosal eosinophils are suggested as biomarkers of severity and control of CRS. Additionally, a tissular eosinophil count greater than 55 per HPF has been related to a high risk of recurrence in the Asian population. Our study aims to determine whether tissue eosinophil count is associated with the control, severity, and recurrence of Chronic Rhinosinusitis with Nasal Polyps (CRSwNP).

Methods: An observational study of patients with CRSwNP who underwent nasal mucosa biopsy was conducted between June 2021 and November 2023. Histopathologic features, asthma control, CRSwNP control and severity according to the POLINA consensus, quality of life parameters, recurrence of CRSwNP, and laboratory markers were recorded and compared with the tissular eosinophil count.

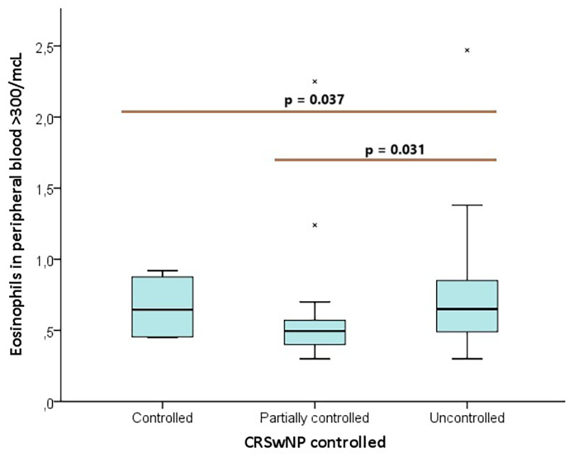
Results: A total of 108 cases were included. The majority (70.4%) had concomitant asthma, with 31.5% of the cases having well-controlled disease. Most patients had uncontrolled (57.4%) and severe (62%) CRSwNP. Fifty-four cases underwent surgery and 43.5% experienced recurrence. More than half had a SNOT-22 score greater than 50 points. Eighty-one percent of patients had a tissular eosinophil count greater than 10 per HPF, and 60.2% had blood eosinophilia greater than 0.3 × 10 3 . Blood eosinophilia was related to CRSwNP severity and control. No significant differences were found between tissue eosinophil count and the severity, control, and recurrence of CRSwNP.

Conclusion: Tissue eosinophil levels were not a marker of control, severity, and recurrence of CRSwNP in our data. Blood eosinophil levels, however, were a marker of CRSwNP control and severity.

Abstract Image

Abstract Image

Abstract Image

组织嗜酸性粒细胞水平作为慢性鼻窦炎伴鼻息肉控制、严重程度和复发的预测因子。
前言:鼻息肉的组织病理学研究确立了慢性鼻窦炎(CRS)的内型特征。组织嗜酸性粒细胞计数大于10 /高倍视野(HPF)将这种情况分类为2型炎症。血液和粘膜嗜酸性粒细胞被认为是CRS严重程度和控制的生物标志物。此外,组织嗜酸性粒细胞计数大于55 / HPF与亚洲人群的高复发风险有关。我们的研究旨在确定组织嗜酸性粒细胞计数是否与慢性鼻窦炎伴鼻息肉(CRSwNP)的控制、严重程度和复发有关。方法:对2021年6月至2023年11月期间接受鼻黏膜活检的CRSwNP患者进行观察性研究。记录组织病理学特征、哮喘控制情况、CRSwNP控制情况及根据POLINA共识的严重程度、生活质量参数、CRSwNP复发情况和实验室标志物,并与组织嗜酸性粒细胞计数进行比较。结果:共纳入108例。大多数患者(70.4%)伴有哮喘,其中31.5%的患者病情控制良好。大多数患者有不受控制(57.4%)和严重(62%)的CRSwNP。54例接受手术治疗,43.5%复发。超过一半的学生的SNOT-22分数在50分以上。81%的患者组织嗜酸性粒细胞计数大于10 / HPF, 60.2%的患者血液嗜酸性粒细胞计数大于0.3 × 10.3。血嗜酸性粒细胞增多与CRSwNP严重程度和控制有关。组织嗜酸性粒细胞计数与CRSwNP的严重程度、控制和复发之间无显著差异。结论:在我们的数据中,组织嗜酸性粒细胞水平不是控制、严重程度和CRSwNP复发的标志。然而,血液嗜酸性粒细胞水平是CRSwNP控制和严重程度的标志。
本文章由计算机程序翻译,如有差异,请以英文原文为准。
求助全文
约1分钟内获得全文 求助全文
来源期刊
CiteScore
2.80
自引率
0.00%
发文量
0
审稿时长
12 weeks
×
引用
GB/T 7714-2015
复制
MLA
复制
APA
复制
导出至
BibTeX EndNote RefMan NoteFirst NoteExpress
×
提示
您的信息不完整,为了账户安全,请先补充。
现在去补充
×
提示
您因"违规操作"
具体请查看互助需知
我知道了
×
提示
确定
请完成安全验证×
copy
已复制链接
快去分享给好友吧!
我知道了
右上角分享
点击右上角分享
0
联系我们:info@booksci.cn Book学术提供免费学术资源搜索服务,方便国内外学者检索中英文文献。致力于提供最便捷和优质的服务体验。 Copyright © 2023 布克学术 All rights reserved.
京ICP备2023020795号-1
ghs 京公网安备 11010802042870号
Book学术文献互助
Book学术文献互助群
群 号:604180095
Book学术官方微信