Thromboelastography Maximum Amplitude Is a Valuable Biomarker for Early Atherosclerosis in Rheumatoid Arthritis Patients: A Single-Center Cross-Sectional Study.

IF 3.1
The Kaohsiung journal of medical sciences Pub Date : 2025-09-01 Epub Date: 2025-05-08 DOI:10.1002/kjm2.70043
Qing-Lin Zhang, Qian Xu, Rong Huang, Ming-Zhong Sun, Dong-Mei Jiang, Hui Tao, Hao Jin
{"title":"Thromboelastography Maximum Amplitude Is a Valuable Biomarker for Early Atherosclerosis in Rheumatoid Arthritis Patients: A Single-Center Cross-Sectional Study.","authors":"Qing-Lin Zhang, Qian Xu, Rong Huang, Ming-Zhong Sun, Dong-Mei Jiang, Hui Tao, Hao Jin","doi":"10.1002/kjm2.70043","DOIUrl":null,"url":null,"abstract":"<p><p>Hypercoagulability contributes to atherosclerosis (AS) progression in individuals suffering from rheumatoid arthritis (RA), and thromboelastography (TEG) is a valuable diagnostic tool. This hospital-based cross-sectional study assessed the clinical efficacy of TEG parameters in detecting hypercoagulability and subclinical AS by purposively sampling 372 RA patients and 105 healthy controls. TEG indices, conventional coagulation markers, and biochemical profiles were assessed. Multivariable logistic modeling and receiver operating characteristic (ROC) analyses were utilized to identify independent risk factors for early AS in patients with RA. Our results indicated that patients with RA experienced a hypercoagulable state in comparison to controls, which was particularly pronounced in RA patients with early AS compared to their non-AS counterparts. Logistic regression analysis revealed that the TEG maximum amplitude (MA) is an independent risk factor for early AS in patients with RA, with an odds ratio of 1.219 and a 95% confidence interval of 1.128-1.317. Additional independent risk factors identified are fibrinogen (FIB), low-density lipoprotein cholesterol (LDL-C), and the adjusted atherogenic index of plasma (aAIP). ROC analysis revealed that MA achieved an area under the curve (AUC) of 0.711 (sensitivity: 71.5%; specificity: 63.5%) for early AS diagnosis. Combining with FIB, LDL-C, and aAIP significantly enhanced diagnostic performance, with an AUC of 0.831 (sensitivity: 77.6%; specificity: 75.3%). These findings highlight MA as a valuable biomarker for early detection of AS in patients with RA. Furthermore, integrating MA with FIB, LDL-C, and aAIP improves diagnostic accuracy, supporting its clinical role in risk stratification and early intervention.</p>","PeriodicalId":94244,"journal":{"name":"The Kaohsiung journal of medical sciences","volume":" ","pages":"e70043"},"PeriodicalIF":3.1000,"publicationDate":"2025-09-01","publicationTypes":"Journal Article","fieldsOfStudy":null,"isOpenAccess":false,"openAccessPdf":"https://www.ncbi.nlm.nih.gov/pmc/articles/PMC12412580/pdf/","citationCount":"0","resultStr":null,"platform":"Semanticscholar","paperid":null,"PeriodicalName":"The Kaohsiung journal of medical sciences","FirstCategoryId":"1085","ListUrlMain":"https://doi.org/10.1002/kjm2.70043","RegionNum":0,"RegionCategory":null,"ArticlePicture":[],"TitleCN":null,"AbstractTextCN":null,"PMCID":null,"EPubDate":"2025/5/8 0:00:00","PubModel":"Epub","JCR":"","JCRName":"","Score":null,"Total":0}
引用次数: 0

Abstract

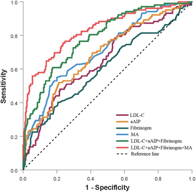
Hypercoagulability contributes to atherosclerosis (AS) progression in individuals suffering from rheumatoid arthritis (RA), and thromboelastography (TEG) is a valuable diagnostic tool. This hospital-based cross-sectional study assessed the clinical efficacy of TEG parameters in detecting hypercoagulability and subclinical AS by purposively sampling 372 RA patients and 105 healthy controls. TEG indices, conventional coagulation markers, and biochemical profiles were assessed. Multivariable logistic modeling and receiver operating characteristic (ROC) analyses were utilized to identify independent risk factors for early AS in patients with RA. Our results indicated that patients with RA experienced a hypercoagulable state in comparison to controls, which was particularly pronounced in RA patients with early AS compared to their non-AS counterparts. Logistic regression analysis revealed that the TEG maximum amplitude (MA) is an independent risk factor for early AS in patients with RA, with an odds ratio of 1.219 and a 95% confidence interval of 1.128-1.317. Additional independent risk factors identified are fibrinogen (FIB), low-density lipoprotein cholesterol (LDL-C), and the adjusted atherogenic index of plasma (aAIP). ROC analysis revealed that MA achieved an area under the curve (AUC) of 0.711 (sensitivity: 71.5%; specificity: 63.5%) for early AS diagnosis. Combining with FIB, LDL-C, and aAIP significantly enhanced diagnostic performance, with an AUC of 0.831 (sensitivity: 77.6%; specificity: 75.3%). These findings highlight MA as a valuable biomarker for early detection of AS in patients with RA. Furthermore, integrating MA with FIB, LDL-C, and aAIP improves diagnostic accuracy, supporting its clinical role in risk stratification and early intervention.

Abstract Image

Abstract Image

血栓弹性成像最大振幅是类风湿关节炎患者早期动脉粥样硬化的有价值的生物标志物:一项单中心横断面研究
高凝有助于类风湿关节炎(RA)患者动脉粥样硬化(AS)的进展,而血栓弹性成像(TEG)是一种有价值的诊断工具。这项以医院为基础的横断面研究评估了TEG参数在检测高凝性和亚临床AS方面的临床疗效,有目的地抽样了372名RA患者和105名健康对照。评估TEG指数、常规凝血标志物和生化特征。采用多变量logistic模型和受试者工作特征(ROC)分析来确定RA患者早期AS的独立危险因素。我们的研究结果表明,与对照组相比,RA患者经历了高凝状态,这在早期AS的RA患者中与非AS患者相比尤为明显。Logistic回归分析显示,TEG最大振幅(MA)是RA患者早期AS的独立危险因素,比值比为1.219,95%可信区间为1.128 ~ 1.317。确定的其他独立危险因素有纤维蛋白原(FIB)、低密度脂蛋白胆固醇(LDL-C)和调整后的血浆动脉粥样硬化指数(aAIP)。ROC分析显示,MA的曲线下面积(AUC)为0.711(敏感性为71.5%;特异性:63.5%)用于早期AS诊断。联合FIB、LDL-C和aAIP可显著提高诊断效能,AUC为0.831(敏感性:77.6%;特异性:75.3%)。这些发现强调了MA作为RA患者早期检测as的有价值的生物标志物。此外,将MA与FIB、LDL-C和aAIP结合可提高诊断准确性,支持其在风险分层和早期干预中的临床作用。
本文章由计算机程序翻译,如有差异,请以英文原文为准。
求助全文
约1分钟内获得全文 求助全文
来源期刊
自引率
0.00%
发文量
0
×
引用
GB/T 7714-2015
复制
MLA
复制
APA
复制
导出至
BibTeX EndNote RefMan NoteFirst NoteExpress
×
提示
您的信息不完整,为了账户安全,请先补充。
现在去补充
×
提示
您因"违规操作"
具体请查看互助需知
我知道了
×
提示
确定
请完成安全验证×
copy
已复制链接
快去分享给好友吧!
我知道了
右上角分享
点击右上角分享
0
联系我们:info@booksci.cn Book学术提供免费学术资源搜索服务,方便国内外学者检索中英文文献。致力于提供最便捷和优质的服务体验。 Copyright © 2023 布克学术 All rights reserved.
京ICP备2023020795号-1
ghs 京公网安备 11010802042870号
Book学术文献互助
Book学术文献互助群
群 号:604180095
Book学术官方微信