The impact of providing intensive care and practical help in mid-life on employment transitions in Europe.

IF 3.5 2区 社会学 Q1 GERONTOLOGY
Jeroen J A Spijker, Maike van Damme, Bruno Arpino
{"title":"The impact of providing intensive care and practical help in mid-life on employment transitions in Europe.","authors":"Jeroen J A Spijker, Maike van Damme, Bruno Arpino","doi":"10.1007/s10433-025-00857-x","DOIUrl":null,"url":null,"abstract":"<p><p>This paper examines how caregiving influences employment transitions among employed mid-life adults (50-69 years) who began providing non-professional care on a daily basis to someone inside or outside their household. Using data from the Survey of Health Ageing and Retirement in Europe (SHARE) from 2004 to 2017, we apply a difference-in-difference model with propensity score weighting to estimate probabilities of various employment change outcomes for each care status. These outcomes include reducing working hours, exiting the labour market, and retiring. Results are compared to those who continue to work. We assess heterogeneities by gender, income and three empirically identified care regime types from the first article in this special collection: strong defamilialism/supported familialism (strong DF/SF), moderate DF/SF and familialism-by-default (FbD). Results show that overall and for each gender and care regime, retiring is the most likely employment transition for new caregivers. However, low-income persons that make the transition into co-resident care in moderate DF/SF care regime countries are more likely to reduce working hours than non-carers. Regarding labour market exits, no significant overall effect was found. Nonetheless, exit was less likely among men in FbD regime countries when care occurred outside their household. This pattern may reflect financial pressures to stay in employment in contexts of limited state support (hence, an income effect). Women, on the other hand, are less likely to exit in strong DF/SF countries, which might be an income effect in that context. To conclude, caregiving significantly affects employment transitions, with notable differences across gender, income levels, and care regimes. These results underscore the importance of policies that support caregivers-particularly in familialist contexts-by providing affordable formal care options and flexible workplace arrangements to help them remain in employment.</p>","PeriodicalId":47766,"journal":{"name":"European Journal of Ageing","volume":"22 1","pages":"21"},"PeriodicalIF":3.5000,"publicationDate":"2025-05-11","publicationTypes":"Journal Article","fieldsOfStudy":null,"isOpenAccess":false,"openAccessPdf":"https://www.ncbi.nlm.nih.gov/pmc/articles/PMC12066390/pdf/","citationCount":"0","resultStr":null,"platform":"Semanticscholar","paperid":null,"PeriodicalName":"European Journal of Ageing","FirstCategoryId":"90","ListUrlMain":"https://doi.org/10.1007/s10433-025-00857-x","RegionNum":2,"RegionCategory":"社会学","ArticlePicture":[],"TitleCN":null,"AbstractTextCN":null,"PMCID":null,"EPubDate":"","PubModel":"","JCR":"Q1","JCRName":"GERONTOLOGY","Score":null,"Total":0}
引用次数: 0

Abstract

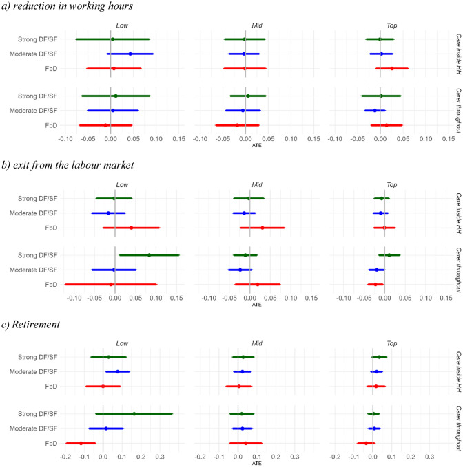
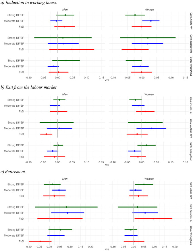
This paper examines how caregiving influences employment transitions among employed mid-life adults (50-69 years) who began providing non-professional care on a daily basis to someone inside or outside their household. Using data from the Survey of Health Ageing and Retirement in Europe (SHARE) from 2004 to 2017, we apply a difference-in-difference model with propensity score weighting to estimate probabilities of various employment change outcomes for each care status. These outcomes include reducing working hours, exiting the labour market, and retiring. Results are compared to those who continue to work. We assess heterogeneities by gender, income and three empirically identified care regime types from the first article in this special collection: strong defamilialism/supported familialism (strong DF/SF), moderate DF/SF and familialism-by-default (FbD). Results show that overall and for each gender and care regime, retiring is the most likely employment transition for new caregivers. However, low-income persons that make the transition into co-resident care in moderate DF/SF care regime countries are more likely to reduce working hours than non-carers. Regarding labour market exits, no significant overall effect was found. Nonetheless, exit was less likely among men in FbD regime countries when care occurred outside their household. This pattern may reflect financial pressures to stay in employment in contexts of limited state support (hence, an income effect). Women, on the other hand, are less likely to exit in strong DF/SF countries, which might be an income effect in that context. To conclude, caregiving significantly affects employment transitions, with notable differences across gender, income levels, and care regimes. These results underscore the importance of policies that support caregivers-particularly in familialist contexts-by providing affordable formal care options and flexible workplace arrangements to help them remain in employment.

Abstract Image

Abstract Image

Abstract Image

欧洲中年人提供重症监护和实际帮助对就业转变的影响。
本文研究了照顾如何影响中年就业成年人(50-69岁)的就业转变,他们开始每天向家庭内外的人提供非专业照顾。利用2004年至2017年欧洲健康老龄化和退休调查(SHARE)的数据,我们应用带有倾向得分加权的差中差模型来估计每种护理状态的各种就业变化结果的概率。这些结果包括减少工作时间、退出劳动力市场和退休。结果与那些继续工作的人进行比较。我们根据性别、收入和三种经验确定的护理制度类型来评估异质性,这些制度类型来自本特别合集的第一篇文章:强陌生性/支持陌生性(强DF/SF)、中度DF/SF和默认陌生性(FbD)。结果表明,总的来说,对于每个性别和护理制度来说,退休是新护理人员最有可能的就业转变。然而,在中等DF/SF护理制度国家,过渡到共同居住护理的低收入者比非护理者更有可能减少工作时间。在劳动力市场退出方面,没有发现显著的总体影响。然而,在FbD制度国家,当护理发生在家庭以外时,男性退出的可能性较小。这种模式可能反映了在国家支持有限的情况下保持就业的财政压力(因此,收入效应)。另一方面,在DF/SF强劲的国家,女性不太可能退出,这可能是在这种情况下的收入效应。综上所述,护理对就业转型有显著影响,在性别、收入水平和护理制度之间存在显著差异。这些结果强调了政策的重要性,通过提供负担得起的正式护理选择和灵活的工作场所安排来支持照顾者,特别是在熟悉的环境中,以帮助他们继续就业。
本文章由计算机程序翻译,如有差异,请以英文原文为准。
求助全文
约1分钟内获得全文 求助全文
来源期刊
CiteScore
6.50
自引率
7.90%
发文量
72
期刊介绍: The European Journal of Ageing: Social, Behavioural and Health Perspectives is an interdisciplinary journal devoted to the understanding of ageing in European societies and the world over. EJA publishes original articles on the social, behavioral and population health aspects of ageing and encourages an integrated approach between these aspects. Emphasis is put on publishing empirical research (including meta-analyses), but conceptual papers (including narrative reviews) and methodological contributions will also be considered. EJA welcomes expert opinions on critical issues in ageing. By stimulating communication between researchers and those using research findings, it aims to contribute to the formulation of better policies and the development of better practice in serving older adults. To further specify, with the term ''social'' is meant the full scope of social science of ageing related research from the micro to the macro level of analysis. With the term ''behavioural'' the full scope of psychological ageing research including life span approaches based on a range of age groups from young to old is envisaged. The term ''population health-related'' denotes social-epidemiological and public health oriented research including research on functional health in the widest possible sense.
×
引用
GB/T 7714-2015
复制
MLA
复制
APA
复制
导出至
BibTeX EndNote RefMan NoteFirst NoteExpress
×
提示
您的信息不完整,为了账户安全,请先补充。
现在去补充
×
提示
您因"违规操作"
具体请查看互助需知
我知道了
×
提示
确定
请完成安全验证×
copy
已复制链接
快去分享给好友吧!
我知道了
右上角分享
点击右上角分享
0
联系我们:info@booksci.cn Book学术提供免费学术资源搜索服务,方便国内外学者检索中英文文献。致力于提供最便捷和优质的服务体验。 Copyright © 2023 布克学术 All rights reserved.
京ICP备2023020795号-1
ghs 京公网安备 11010802042870号
Book学术文献互助
Book学术文献互助群
群 号:604180095
Book学术官方微信