A care regime typology of elder, long-term care institutions.

IF 3.5 2区 社会学 Q1 GERONTOLOGY
Maike van Damme, Jeroen Spijker, Dimitris Pavlopoulos
{"title":"A care regime typology of elder, long-term care institutions.","authors":"Maike van Damme, Jeroen Spijker, Dimitris Pavlopoulos","doi":"10.1007/s10433-025-00854-0","DOIUrl":null,"url":null,"abstract":"<p><p>This study generates a classification of 26 European OECD countries with respect to care regimes. Care regimes are 'social joins' on the nexus between the state and the family, grouping countries into 'types' that have similar characteristics with respect to state care institutions. The latter are formal arrangements by the state that may alleviate citizens' care burdens either financially, in kind, or both. We build upon the literature on the dimensions of defamilialisation and familialism and empirically test how these two dimensions indicate different types of care regimes. We expect to find at least three different regime types that combine either high reliance on defamilialisation or on supported familialism, or the lack of both. We collected macro-data of 26 countries on five indicators of elder care institutions from various sources and subsequently performed latent profile analysis to group these countries into classes of similar state care arrangements. The results reveal three care regime types: 'strong Defamilialisation/Supported Familialism'; 'moderate Defamilialisation/Supported Familialism'; and 'Familialism-by-Default'. This classification contributes to developing a theoretical framework of care institutions and can guide other scholars in understanding contextual differences in socio-economic causes and consequences of elder care in Europe.</p>","PeriodicalId":47766,"journal":{"name":"European Journal of Ageing","volume":"22 1","pages":"20"},"PeriodicalIF":3.5000,"publicationDate":"2025-05-07","publicationTypes":"Journal Article","fieldsOfStudy":null,"isOpenAccess":false,"openAccessPdf":"https://www.ncbi.nlm.nih.gov/pmc/articles/PMC12058588/pdf/","citationCount":"0","resultStr":null,"platform":"Semanticscholar","paperid":null,"PeriodicalName":"European Journal of Ageing","FirstCategoryId":"90","ListUrlMain":"https://doi.org/10.1007/s10433-025-00854-0","RegionNum":2,"RegionCategory":"社会学","ArticlePicture":[],"TitleCN":null,"AbstractTextCN":null,"PMCID":null,"EPubDate":"","PubModel":"","JCR":"Q1","JCRName":"GERONTOLOGY","Score":null,"Total":0}
引用次数: 0

Abstract

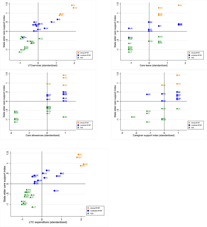
This study generates a classification of 26 European OECD countries with respect to care regimes. Care regimes are 'social joins' on the nexus between the state and the family, grouping countries into 'types' that have similar characteristics with respect to state care institutions. The latter are formal arrangements by the state that may alleviate citizens' care burdens either financially, in kind, or both. We build upon the literature on the dimensions of defamilialisation and familialism and empirically test how these two dimensions indicate different types of care regimes. We expect to find at least three different regime types that combine either high reliance on defamilialisation or on supported familialism, or the lack of both. We collected macro-data of 26 countries on five indicators of elder care institutions from various sources and subsequently performed latent profile analysis to group these countries into classes of similar state care arrangements. The results reveal three care regime types: 'strong Defamilialisation/Supported Familialism'; 'moderate Defamilialisation/Supported Familialism'; and 'Familialism-by-Default'. This classification contributes to developing a theoretical framework of care institutions and can guide other scholars in understanding contextual differences in socio-economic causes and consequences of elder care in Europe.

Abstract Image

Abstract Image

老年人的护理制度类型,长期护理机构。
这项研究根据护理制度对26个欧洲经合组织国家进行了分类。护理制度是国家和家庭之间联系的“社会纽带”,将国家划分为与国家护理机构具有相似特征的“类型”。后者是国家的正式安排,可以减轻公民在经济上或实物上的照顾负担,或两者兼而有之。我们建立在文献的维度上的陌生化和熟悉主义和经验测试如何这两个维度表明不同类型的护理制度。我们期望找到至少三种不同的制度类型,它们要么高度依赖陌生化,要么依赖辅助陌生化,要么两者兼而有之。我们收集了来自不同来源的26个国家的老年护理机构的5个指标的宏观数据,随后进行潜在特征分析,将这些国家划分为类似的国家护理安排类别。结果揭示了三种护理制度类型:“强陌生化/支持陌生化”;“中度陌生化/支持陌生化”;和“Familialism-by-Default”。这种分类有助于建立护理机构的理论框架,并可以指导其他学者理解欧洲老年人护理的社会经济原因和后果的背景差异。
本文章由计算机程序翻译,如有差异,请以英文原文为准。
求助全文
约1分钟内获得全文 求助全文
来源期刊
CiteScore
6.50
自引率
7.90%
发文量
72
期刊介绍: The European Journal of Ageing: Social, Behavioural and Health Perspectives is an interdisciplinary journal devoted to the understanding of ageing in European societies and the world over. EJA publishes original articles on the social, behavioral and population health aspects of ageing and encourages an integrated approach between these aspects. Emphasis is put on publishing empirical research (including meta-analyses), but conceptual papers (including narrative reviews) and methodological contributions will also be considered. EJA welcomes expert opinions on critical issues in ageing. By stimulating communication between researchers and those using research findings, it aims to contribute to the formulation of better policies and the development of better practice in serving older adults. To further specify, with the term ''social'' is meant the full scope of social science of ageing related research from the micro to the macro level of analysis. With the term ''behavioural'' the full scope of psychological ageing research including life span approaches based on a range of age groups from young to old is envisaged. The term ''population health-related'' denotes social-epidemiological and public health oriented research including research on functional health in the widest possible sense.
×
引用
GB/T 7714-2015
复制
MLA
复制
APA
复制
导出至
BibTeX EndNote RefMan NoteFirst NoteExpress
×
提示
您的信息不完整,为了账户安全,请先补充。
现在去补充
×
提示
您因"违规操作"
具体请查看互助需知
我知道了
×
提示
确定
请完成安全验证×
copy
已复制链接
快去分享给好友吧!
我知道了
右上角分享
点击右上角分享
0
联系我们:info@booksci.cn Book学术提供免费学术资源搜索服务,方便国内外学者检索中英文文献。致力于提供最便捷和优质的服务体验。 Copyright © 2023 布克学术 All rights reserved.
京ICP备2023020795号-1
ghs 京公网安备 11010802042870号
Book学术文献互助
Book学术文献互助群
群 号:604180095
Book学术官方微信