Association between humidifier disinfectant use duration and lung cancer development in Korea.

IF 2.2 4区 医学 Q2 PUBLIC, ENVIRONMENTAL & OCCUPATIONAL HEALTH
Epidemiology and Health Pub Date : 2025-01-01 Epub Date: 2025-05-02 DOI:10.4178/epih.e2025023
Sungchan Kang, Jeong-In Hwang, Su Hwan Kim, Hyungryul Lim, Dong-Wook Lee, Woojoo Lee, Jong Hun Kim, Sol Yu, Jungyun Lim, Younghee Kim, Kyoung-Nam Kim
{"title":"Association between humidifier disinfectant use duration and lung cancer development in Korea.","authors":"Sungchan Kang, Jeong-In Hwang, Su Hwan Kim, Hyungryul Lim, Dong-Wook Lee, Woojoo Lee, Jong Hun Kim, Sol Yu, Jungyun Lim, Younghee Kim, Kyoung-Nam Kim","doi":"10.4178/epih.e2025023","DOIUrl":null,"url":null,"abstract":"<p><strong>Objectives: </strong>This study was conducted to assess the association between the duration of humidifier disinfectant use and lung cancer development.</p><p><strong>Methods: </strong>We analyzed data from 3,605 applicants registered for compensation from the Korean government due to health conditions related to humidifier disinfectant exposure. Among these individuals, 121 were diagnosed with lung cancer at least 4 years after their initial exposure (through December 2021). Hazard ratios (HRs) and 95% confidence intervals (CIs) for lung cancer incidence were estimated according to the duration of disinfectant use using Cox proportional hazards models.</p><p><strong>Results: </strong>Compared with <5 months of use, the HRs for lung cancer were 1.81 (95% CI, 0.41 to 7.97) for 5-14 months, 2.45 (95% CI, 0.58 to 10.41) for 15-29 months, and 4.61 (95% CI, 1.12 to 18.91) for ≥30 months. Using never smokers with <15 months of use as the reference category, the HRs were 2.97 (95% CI, 1.34 to 6.56) for never smokers with ≥15 months of use, 2.73 (95% CI, 0.94 to 7.95) for current or former smokers with <15 months of use, and 4.74 (95% CI, 1.94 to 11.61) for current or former smokers with ≥15 months of use.</p><p><strong>Conclusions: </strong>Our study provides some of the first robust epidemiological evidence that prolonged humidifier disinfectant use contributes to lung cancer development. Future studies-particularly those including unexposed populations-are needed to confirm these findings.</p>","PeriodicalId":48543,"journal":{"name":"Epidemiology and Health","volume":" ","pages":"e2025023"},"PeriodicalIF":2.2000,"publicationDate":"2025-01-01","publicationTypes":"Journal Article","fieldsOfStudy":null,"isOpenAccess":false,"openAccessPdf":"https://www.ncbi.nlm.nih.gov/pmc/articles/PMC12425697/pdf/","citationCount":"0","resultStr":null,"platform":"Semanticscholar","paperid":null,"PeriodicalName":"Epidemiology and Health","FirstCategoryId":"3","ListUrlMain":"https://doi.org/10.4178/epih.e2025023","RegionNum":4,"RegionCategory":"医学","ArticlePicture":[],"TitleCN":null,"AbstractTextCN":null,"PMCID":null,"EPubDate":"2025/5/2 0:00:00","PubModel":"Epub","JCR":"Q2","JCRName":"PUBLIC, ENVIRONMENTAL & OCCUPATIONAL HEALTH","Score":null,"Total":0}
引用次数: 0

Abstract

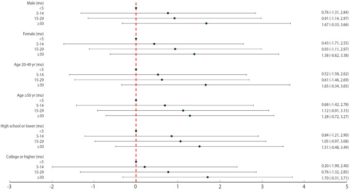
Objectives: This study was conducted to assess the association between the duration of humidifier disinfectant use and lung cancer development.

Methods: We analyzed data from 3,605 applicants registered for compensation from the Korean government due to health conditions related to humidifier disinfectant exposure. Among these individuals, 121 were diagnosed with lung cancer at least 4 years after their initial exposure (through December 2021). Hazard ratios (HRs) and 95% confidence intervals (CIs) for lung cancer incidence were estimated according to the duration of disinfectant use using Cox proportional hazards models.

Results: Compared with <5 months of use, the HRs for lung cancer were 1.81 (95% CI, 0.41 to 7.97) for 5-14 months, 2.45 (95% CI, 0.58 to 10.41) for 15-29 months, and 4.61 (95% CI, 1.12 to 18.91) for ≥30 months. Using never smokers with <15 months of use as the reference category, the HRs were 2.97 (95% CI, 1.34 to 6.56) for never smokers with ≥15 months of use, 2.73 (95% CI, 0.94 to 7.95) for current or former smokers with <15 months of use, and 4.74 (95% CI, 1.94 to 11.61) for current or former smokers with ≥15 months of use.

Conclusions: Our study provides some of the first robust epidemiological evidence that prolonged humidifier disinfectant use contributes to lung cancer development. Future studies-particularly those including unexposed populations-are needed to confirm these findings.

Abstract Image

Abstract Image

Abstract Image

韩国加湿器消毒剂使用时间与肺癌发展之间的关系。
目的:本研究旨在评估加湿器消毒剂使用时间与肺癌发展之间的关系。方法:我们分析了3605名因接触加湿器消毒液相关健康状况而向韩国政府申请赔偿的申请人的数据。在这些人中,121人在首次接触后至少4年(到2021年12月)被诊断出患有肺癌。采用Cox比例风险模型,根据消毒剂使用时间估算肺癌发病率的风险比(hr)和95%置信区间(CIs)。结论:本研究首次提供了一些强有力的流行病学证据,证明长期使用加湿器消毒剂有助于肺癌的发展。未来的研究——特别是那些未接触人群的研究——需要证实这些发现。
本文章由计算机程序翻译,如有差异,请以英文原文为准。
求助全文
约1分钟内获得全文 求助全文
来源期刊
Epidemiology and Health
Epidemiology and Health PUBLIC, ENVIRONMENTAL & OCCUPATIONAL HEALTH-
CiteScore
6.30
自引率
2.60%
发文量
106
审稿时长
4 weeks
期刊介绍: Epidemiology and Health (epiH) is an electronic journal publishing papers in all areas of epidemiology and public health. It is indexed on PubMed Central and the scope is wide-ranging: including descriptive, analytical and molecular epidemiology; primary preventive measures; screening approaches and secondary prevention; clinical epidemiology; and all aspects of communicable and non-communicable diseases prevention. The epiH publishes original research, and also welcomes review articles and meta-analyses, cohort profiles and data profiles, epidemic and case investigations, descriptions and applications of new methods, and discussions of research theory or public health policy. We give special consideration to papers from developing countries.
×
引用
GB/T 7714-2015
复制
MLA
复制
APA
复制
导出至
BibTeX EndNote RefMan NoteFirst NoteExpress
×
提示
您的信息不完整,为了账户安全,请先补充。
现在去补充
×
提示
您因"违规操作"
具体请查看互助需知
我知道了
×
提示
确定
请完成安全验证×
copy
已复制链接
快去分享给好友吧!
我知道了
右上角分享
点击右上角分享
0
联系我们:info@booksci.cn Book学术提供免费学术资源搜索服务,方便国内外学者检索中英文文献。致力于提供最便捷和优质的服务体验。 Copyright © 2023 布克学术 All rights reserved.
京ICP备2023020795号-1
ghs 京公网安备 11010802042870号
Book学术文献互助
Book学术文献互助群
群 号:604180095
Book学术官方微信