Developing consensus outcome measures in juvenile systemic sclerosis: a global survey of pediatric rheumatologists and literature review.

IF 2.3 3区 医学 Q1 PEDIATRICS
Natalia Vasquez-Canizares, Clare E Pain, Francesco Zulian, Amra Adrovic Yildiz, Simone Appenzeller, Edoardo Marrani, Emanuela Del Giudice, Antonella Petaccia, Francesca Tirelli, Gabriele Simonini, Mustafa Çakan, Marco Cattalini, Paulo Rogerio Julio, Kathryn Torok, Raju Khubchandani, Ozgur Kasapcopur, Lauren Robinson, Eslam Al-Abadi, Aybuke Gunalp, Meiping Lu, Hanna Lythgoe, Amanda Robinson, Betul Sozeri, Susan Shenoi, Emily Willis, Katherine Clarke, Rongjun Zheng, Biagio Castaldi, Valentina Leone, Valerio Maniscalco, Lucy Stead, Lusine Ambartsumyan, Franziska Rosser, Phuoc Duong, Aurelia Minuti, Suzanne C Li, Marinka Twilt
{"title":"Developing consensus outcome measures in juvenile systemic sclerosis: a global survey of pediatric rheumatologists and literature review.","authors":"Natalia Vasquez-Canizares, Clare E Pain, Francesco Zulian, Amra Adrovic Yildiz, Simone Appenzeller, Edoardo Marrani, Emanuela Del Giudice, Antonella Petaccia, Francesca Tirelli, Gabriele Simonini, Mustafa Çakan, Marco Cattalini, Paulo Rogerio Julio, Kathryn Torok, Raju Khubchandani, Ozgur Kasapcopur, Lauren Robinson, Eslam Al-Abadi, Aybuke Gunalp, Meiping Lu, Hanna Lythgoe, Amanda Robinson, Betul Sozeri, Susan Shenoi, Emily Willis, Katherine Clarke, Rongjun Zheng, Biagio Castaldi, Valentina Leone, Valerio Maniscalco, Lucy Stead, Lusine Ambartsumyan, Franziska Rosser, Phuoc Duong, Aurelia Minuti, Suzanne C Li, Marinka Twilt","doi":"10.1186/s12969-025-01100-8","DOIUrl":null,"url":null,"abstract":"<p><strong>Background: </strong>Juvenile systemic sclerosis (JSSc) is a rare multisystemic disease with high morbidity and mortality rates. Treatment options remain limited, and there is a significant unmet need for effective therapies. This study aims to address this gap by investigating current JSSc management practices and identifying key outcome measures that can be used to inform the development of standardized assessment tools for future clinical trials.</p><p><strong>Methods: </strong>A web-based survey was distributed to pediatric rheumatologists to assess cardiopulmonary assessment standard of care practices and immunosuppressive treatment use in JSSc. Respondents were categorized by region (North America, Europe, Latin America, and Asia/Africa), and country income level. A scoping literature review was conducted using the PRISMA-SCR framework to identify outcome measures for six domains in SSc.</p><p><strong>Results: </strong>One hundred forty-one pediatric rheumatologists from 26 countries completed the survey. Significant variations in JSSc cardiopulmonary assessment practices across regions and income levels were noted. Respondents in North America and Europe reported using pulmonary function tests (PFTs) with diffusing capacity of the lungs for carbon monoxide (DLCO) more frequently than those in Latin America, or Asia/Africa (p < 0.001). The 6-min walk test (6MWT) was used less frequently by respondents in North America than other regions (p = 0.004). Use of oral corticosteroid and cyclophosphamide for treatment of JSSc varies significantly based on country income level, with higher usage in low- and middle-income nations. The scoping review identified 848 relevant articles for data extraction (ranging from 36 to 156 per domain) from a pool of 31,825 records, which were screened in multiple stages by 39 investigators.</p><p><strong>Conclusion: </strong>We found significant variability in JSSc assessment and treatment preferences, influenced by geography and income. This highlights the urgent need for international collaboration and standardized approaches in JSSc care.</p>","PeriodicalId":54630,"journal":{"name":"Pediatric Rheumatology","volume":"23 1","pages":"46"},"PeriodicalIF":2.3000,"publicationDate":"2025-05-02","publicationTypes":"Journal Article","fieldsOfStudy":null,"isOpenAccess":false,"openAccessPdf":"https://www.ncbi.nlm.nih.gov/pmc/articles/PMC12046749/pdf/","citationCount":"0","resultStr":null,"platform":"Semanticscholar","paperid":null,"PeriodicalName":"Pediatric Rheumatology","FirstCategoryId":"3","ListUrlMain":"https://doi.org/10.1186/s12969-025-01100-8","RegionNum":3,"RegionCategory":"医学","ArticlePicture":[],"TitleCN":null,"AbstractTextCN":null,"PMCID":null,"EPubDate":"","PubModel":"","JCR":"Q1","JCRName":"PEDIATRICS","Score":null,"Total":0}
引用次数: 0

Abstract

Background: Juvenile systemic sclerosis (JSSc) is a rare multisystemic disease with high morbidity and mortality rates. Treatment options remain limited, and there is a significant unmet need for effective therapies. This study aims to address this gap by investigating current JSSc management practices and identifying key outcome measures that can be used to inform the development of standardized assessment tools for future clinical trials.

Methods: A web-based survey was distributed to pediatric rheumatologists to assess cardiopulmonary assessment standard of care practices and immunosuppressive treatment use in JSSc. Respondents were categorized by region (North America, Europe, Latin America, and Asia/Africa), and country income level. A scoping literature review was conducted using the PRISMA-SCR framework to identify outcome measures for six domains in SSc.

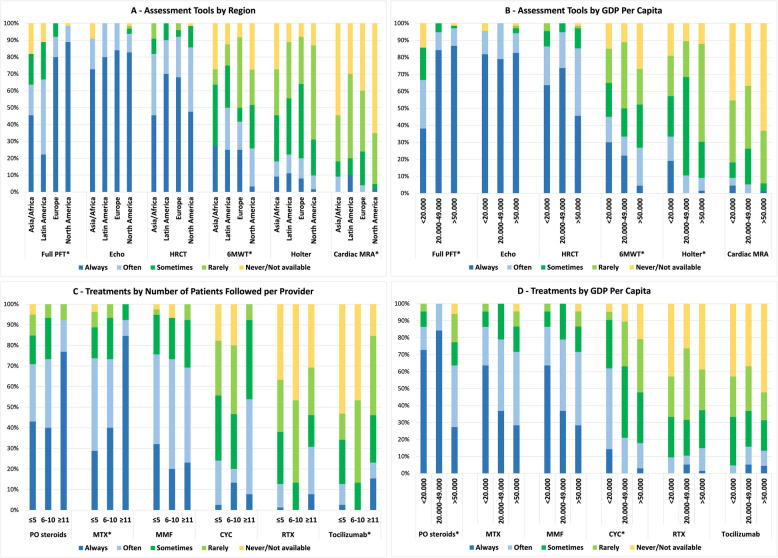
Results: One hundred forty-one pediatric rheumatologists from 26 countries completed the survey. Significant variations in JSSc cardiopulmonary assessment practices across regions and income levels were noted. Respondents in North America and Europe reported using pulmonary function tests (PFTs) with diffusing capacity of the lungs for carbon monoxide (DLCO) more frequently than those in Latin America, or Asia/Africa (p < 0.001). The 6-min walk test (6MWT) was used less frequently by respondents in North America than other regions (p = 0.004). Use of oral corticosteroid and cyclophosphamide for treatment of JSSc varies significantly based on country income level, with higher usage in low- and middle-income nations. The scoping review identified 848 relevant articles for data extraction (ranging from 36 to 156 per domain) from a pool of 31,825 records, which were screened in multiple stages by 39 investigators.

Conclusion: We found significant variability in JSSc assessment and treatment preferences, influenced by geography and income. This highlights the urgent need for international collaboration and standardized approaches in JSSc care.

Abstract Image

Abstract Image

Abstract Image

发展共识的结果措施在青少年系统性硬化症:儿科风湿病学家的全球调查和文献综述。
背景:青少年系统性硬化症(JSSc)是一种罕见的多系统疾病,发病率和死亡率高。治疗选择仍然有限,对有效治疗的需求仍未得到满足。本研究旨在通过调查当前的JSSc管理实践,并确定可用于为未来临床试验提供标准化评估工具的关键结果指标,以解决这一差距。方法:一项基于网络的调查被分发给儿科风湿病学家,以评估JSSc的心肺评估标准和免疫抑制治疗的使用。受访者按地区(北美、欧洲、拉丁美洲和亚洲/非洲)和国家收入水平分类。使用PRISMA-SCR框架进行了范围文献综述,以确定SSc六个领域的结果测量。结果:来自26个国家的141名儿科风湿病学家完成了调查。注意到JSSc心肺评估实践在不同地区和收入水平之间存在显著差异。北美和欧洲的受访者报告使用肺功能测试(PFTs)检测一氧化碳(DLCO)的频率高于拉丁美洲或亚洲/非洲的受访者(p结论:我们发现JSSc评估和治疗偏好存在显著差异,受地理和收入的影响。这突出了在JSSc护理中迫切需要国际合作和标准化方法。
本文章由计算机程序翻译,如有差异,请以英文原文为准。
求助全文
约1分钟内获得全文 求助全文
来源期刊
Pediatric Rheumatology
Pediatric Rheumatology PEDIATRICS-RHEUMATOLOGY
CiteScore
4.10
自引率
8.00%
发文量
95
审稿时长
>12 weeks
期刊介绍: Pediatric Rheumatology is an open access, peer-reviewed, online journal encompassing all aspects of clinical and basic research related to pediatric rheumatology and allied subjects. The journal’s scope of diseases and syndromes include musculoskeletal pain syndromes, rheumatic fever and post-streptococcal syndromes, juvenile idiopathic arthritis, systemic lupus erythematosus, juvenile dermatomyositis, local and systemic scleroderma, Kawasaki disease, Henoch-Schonlein purpura and other vasculitides, sarcoidosis, inherited musculoskeletal syndromes, autoinflammatory syndromes, and others.
×
引用
GB/T 7714-2015
复制
MLA
复制
APA
复制
导出至
BibTeX EndNote RefMan NoteFirst NoteExpress
×
提示
您的信息不完整,为了账户安全,请先补充。
现在去补充
×
提示
您因"违规操作"
具体请查看互助需知
我知道了
×
提示
确定
请完成安全验证×
copy
已复制链接
快去分享给好友吧!
我知道了
右上角分享
点击右上角分享
0
联系我们:info@booksci.cn Book学术提供免费学术资源搜索服务,方便国内外学者检索中英文文献。致力于提供最便捷和优质的服务体验。 Copyright © 2023 布克学术 All rights reserved.
京ICP备2023020795号-1
ghs 京公网安备 11010802042870号
Book学术文献互助
Book学术文献互助群
群 号:604180095
Book学术官方微信