Fundoscopy as a diagnostic biomarker in idiopathic normal pressure hydrocephalus: a pilot study.

IF 2.4 Q3 CLINICAL NEUROLOGY
BMJ Neurology Open Pub Date : 2025-04-22 eCollection Date: 2025-01-01 DOI:10.1136/bmjno-2025-001103
Mathias Just Nortvig, Niclas Lynge Eriksen, Mikkel C Schou Andersen, Emma Tubæk Nielsen, Sune Munthe, Christian Bonde Pedersen, Frantz Rom Poulsen
{"title":"Fundoscopy as a diagnostic biomarker in idiopathic normal pressure hydrocephalus: a pilot study.","authors":"Mathias Just Nortvig, Niclas Lynge Eriksen, Mikkel C Schou Andersen, Emma Tubæk Nielsen, Sune Munthe, Christian Bonde Pedersen, Frantz Rom Poulsen","doi":"10.1136/bmjno-2025-001103","DOIUrl":null,"url":null,"abstract":"<p><strong>Background: </strong>Idiopathic normal pressure hydrocephalus (iNPH) has a prevalence of approximately 5%. It is characterised by Hakim's triad of impaired gait, cognitive dysfunction and urinary incontinence. Despite radiological markers and liquor-dynamic tests, iNPH is difficult to diagnose due to many overlapping symptoms. The aim of this study was to evaluate funduscopy as a noninvasive method of screening patients with suspected iNPH.</p><p><strong>Methods: </strong>Patients with suspected iNPH who underwent a lumbar infusion test (LIT) were included. Funduscopy was performed before the start of the LIT, and intracranial pressure (ICP) was continually measured via lumbar cannulation. Retinal images were analysed using an artificial intelligence algorithm to determine the arteriole-venule (A/V) ratio. The A/V ratio and ICP measurements were compared with the iNPH diagnosis. In addition, the mean difference in shunt response was evaluated.</p><p><strong>Results: </strong>A significantly lower mean A/V ratio was found in the iNPH group compared with the non-iNPH group (p value: 0.02). Receiver operating characteristic curve analysis with an area under the curve of 0.75 showed a sensitivity of 88% and a specificity of 50% with an A/V cut-off of 0.86. Although not statistically significant, the mean A/V ratio was lower in the group with clinical shunt effect compared with those without (p value: 0.305).</p><p><strong>Conclusions: </strong>This study found a statistically significant difference in baseline A/V ratios between iNPH and non-iNPH groups. This pilot study suggests the A/V ratio might be able to serve as a screening tool for iNPH. If so, this would be highly beneficial for patients and could have significant medical and socioeconomic implications.</p>","PeriodicalId":52754,"journal":{"name":"BMJ Neurology Open","volume":"7 1","pages":"e001103"},"PeriodicalIF":2.4000,"publicationDate":"2025-04-22","publicationTypes":"Journal Article","fieldsOfStudy":null,"isOpenAccess":false,"openAccessPdf":"https://www.ncbi.nlm.nih.gov/pmc/articles/PMC12015714/pdf/","citationCount":"0","resultStr":null,"platform":"Semanticscholar","paperid":null,"PeriodicalName":"BMJ Neurology Open","FirstCategoryId":"1085","ListUrlMain":"https://doi.org/10.1136/bmjno-2025-001103","RegionNum":0,"RegionCategory":null,"ArticlePicture":[],"TitleCN":null,"AbstractTextCN":null,"PMCID":null,"EPubDate":"2025/1/1 0:00:00","PubModel":"eCollection","JCR":"Q3","JCRName":"CLINICAL NEUROLOGY","Score":null,"Total":0}
引用次数: 0

Abstract

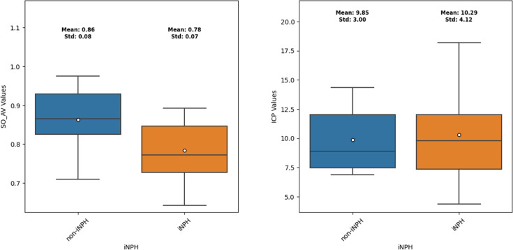
Background: Idiopathic normal pressure hydrocephalus (iNPH) has a prevalence of approximately 5%. It is characterised by Hakim's triad of impaired gait, cognitive dysfunction and urinary incontinence. Despite radiological markers and liquor-dynamic tests, iNPH is difficult to diagnose due to many overlapping symptoms. The aim of this study was to evaluate funduscopy as a noninvasive method of screening patients with suspected iNPH.

Methods: Patients with suspected iNPH who underwent a lumbar infusion test (LIT) were included. Funduscopy was performed before the start of the LIT, and intracranial pressure (ICP) was continually measured via lumbar cannulation. Retinal images were analysed using an artificial intelligence algorithm to determine the arteriole-venule (A/V) ratio. The A/V ratio and ICP measurements were compared with the iNPH diagnosis. In addition, the mean difference in shunt response was evaluated.

Results: A significantly lower mean A/V ratio was found in the iNPH group compared with the non-iNPH group (p value: 0.02). Receiver operating characteristic curve analysis with an area under the curve of 0.75 showed a sensitivity of 88% and a specificity of 50% with an A/V cut-off of 0.86. Although not statistically significant, the mean A/V ratio was lower in the group with clinical shunt effect compared with those without (p value: 0.305).

Conclusions: This study found a statistically significant difference in baseline A/V ratios between iNPH and non-iNPH groups. This pilot study suggests the A/V ratio might be able to serve as a screening tool for iNPH. If so, this would be highly beneficial for patients and could have significant medical and socioeconomic implications.

Abstract Image

Abstract Image

Abstract Image

眼底镜作为特发性常压脑积水的诊断生物标志物:一项初步研究。
背景:特发性正常压力脑积水(iNPH)的患病率约为5%。它的特点是步态受损,认知功能障碍和尿失禁的哈基姆三联征。尽管有放射标志物和酒动力试验,但由于许多重叠的症状,iNPH难以诊断。本研究的目的是评估眼底镜检查作为一种非侵入性筛查疑似iNPH患者的方法。方法:采用腰椎输注试验(LIT)的疑似iNPH患者。在LIT开始前进行眼底镜检查,并通过腰椎插管持续测量颅内压(ICP)。使用人工智能算法分析视网膜图像以确定小动脉-小静脉(A/V)比率。将A/V比和ICP测量值与iNPH诊断进行比较。此外,还评估了分流反应的平均差异。结果:与非iNPH组相比,iNPH组的平均A/V比显著降低(p值:0.02)。曲线下面积为0.75的受试者工作特征曲线分析灵敏度为88%,特异性为50%,a /V截止值为0.86。虽然无统计学意义,但有临床分流术组的平均A/V比低于无临床分流术组(p值:0.305)。结论:本研究发现,在iNPH组和非iNPH组之间,基线a /V比具有统计学意义。这项初步研究表明,A/V比率可能可以作为iNPH的筛查工具。如果是这样,这将对患者非常有益,并可能产生重大的医学和社会经济影响。
本文章由计算机程序翻译,如有差异,请以英文原文为准。
求助全文
约1分钟内获得全文 求助全文
来源期刊
BMJ Neurology Open
BMJ Neurology Open Medicine-Neurology (clinical)
CiteScore
3.20
自引率
3.70%
发文量
46
审稿时长
13 weeks
×
引用
GB/T 7714-2015
复制
MLA
复制
APA
复制
导出至
BibTeX EndNote RefMan NoteFirst NoteExpress
×
提示
您的信息不完整,为了账户安全,请先补充。
现在去补充
×
提示
您因"违规操作"
具体请查看互助需知
我知道了
×
提示
确定
请完成安全验证×
copy
已复制链接
快去分享给好友吧!
我知道了
右上角分享
点击右上角分享
0
联系我们:info@booksci.cn Book学术提供免费学术资源搜索服务,方便国内外学者检索中英文文献。致力于提供最便捷和优质的服务体验。 Copyright © 2023 布克学术 All rights reserved.
京ICP备2023020795号-1
ghs 京公网安备 11010802042870号
Book学术文献互助
Book学术文献互助群
群 号:604180095
Book学术官方微信