Effects of the COVID-19 pandemic on individuals with chemical intolerance.

IF 4.3 3区 医学 Q1 PRIMARY HEALTH CARE
Raymond F Palmer, David Kattari, Monica Verduzco-Gutierrez
{"title":"Effects of the COVID-19 pandemic on individuals with chemical intolerance.","authors":"Raymond F Palmer, David Kattari, Monica Verduzco-Gutierrez","doi":"10.1136/fmch-2024-003081","DOIUrl":null,"url":null,"abstract":"<p><strong>Objective: </strong>The purpose of this study was to determine if the COVID-19 pandemic had differential effects on individuals with chemical intolerances (CI). CI is characterised by multisystem symptoms initiated by a one-time high dose or persistent low-dose exposure to environmental toxins including chemicals, foods and drugs. With an estimated 20% US prevalence, symptoms include fatigue, headache, weakness, rash, mood changes, musculoskeletal pain, gastrointestinal issues, difficulties with memory, concentration and respiratory problems, which are similar to COVID-19 and its sequelae.</p><p><strong>Design: </strong>A US population-based survey involving 7500 respondents was asked if they ever had COVID-19, what the severity was, and if they had long COVID-19. CI was assessed using the Quick Environmental Exposure and Sensitivity Inventory.</p><p><strong>Setting: </strong>The Center for Disease Control estimates that over 24 million have been infected with COVID-19 in the USA with over 6 700 000 being hospitalised and over 1 174 000 deaths. Other industrialised countries show similar numbers.</p><p><strong>Results: </strong>Those in the High CI class reported a greater COVID-19 prevalence, symptom severity and long COVID-19 than in the medium and low CI groups (p<0.0001). These associations were independent of race, ethnicity, income, age and sex. However, there were significantly increased odds of COVID-19 severity among women and those over 45 years old. Asian individuals were least likely to have severe symptoms compared with white individuals (OR=0.53; 95% CI 0.35 to 0.79). Black/African American individuals reported a lower prevalence of COVID-19 than non-Hispanic whites. However, one interaction between CI and race was significant, African Americans with high CI reported greater odds (OR=2.2; 95% CI 1.15 to 3.16) of reporting COVID-19 prevalence. Furthermore, African American individuals had significantly greater odds of increased symptom severity.</p><p><strong>Conclusion: </strong>Prior studies show higher risk for COVID-19 among older age groups, male sex, those with pre-existing comorbidities (eg, challenged immunities) and those from minoritised racial/ethnic groups. The results of this study suggest that those with CI be included in a high-risk group. Various risk subsets may exist and future investigations could identify different risk subsets. Understanding these subgroups would be helpful in mounting targeted prevention efforts.</p>","PeriodicalId":44590,"journal":{"name":"Family Medicine and Community Health","volume":"13 2","pages":""},"PeriodicalIF":4.3000,"publicationDate":"2025-04-24","publicationTypes":"Journal Article","fieldsOfStudy":null,"isOpenAccess":false,"openAccessPdf":"https://www.ncbi.nlm.nih.gov/pmc/articles/PMC12035467/pdf/","citationCount":"0","resultStr":null,"platform":"Semanticscholar","paperid":null,"PeriodicalName":"Family Medicine and Community Health","FirstCategoryId":"3","ListUrlMain":"https://doi.org/10.1136/fmch-2024-003081","RegionNum":3,"RegionCategory":"医学","ArticlePicture":[],"TitleCN":null,"AbstractTextCN":null,"PMCID":null,"EPubDate":"","PubModel":"","JCR":"Q1","JCRName":"PRIMARY HEALTH CARE","Score":null,"Total":0}
引用次数: 0

Abstract

Objective: The purpose of this study was to determine if the COVID-19 pandemic had differential effects on individuals with chemical intolerances (CI). CI is characterised by multisystem symptoms initiated by a one-time high dose or persistent low-dose exposure to environmental toxins including chemicals, foods and drugs. With an estimated 20% US prevalence, symptoms include fatigue, headache, weakness, rash, mood changes, musculoskeletal pain, gastrointestinal issues, difficulties with memory, concentration and respiratory problems, which are similar to COVID-19 and its sequelae.

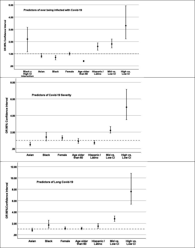
Design: A US population-based survey involving 7500 respondents was asked if they ever had COVID-19, what the severity was, and if they had long COVID-19. CI was assessed using the Quick Environmental Exposure and Sensitivity Inventory.

Setting: The Center for Disease Control estimates that over 24 million have been infected with COVID-19 in the USA with over 6 700 000 being hospitalised and over 1 174 000 deaths. Other industrialised countries show similar numbers.

Results: Those in the High CI class reported a greater COVID-19 prevalence, symptom severity and long COVID-19 than in the medium and low CI groups (p<0.0001). These associations were independent of race, ethnicity, income, age and sex. However, there were significantly increased odds of COVID-19 severity among women and those over 45 years old. Asian individuals were least likely to have severe symptoms compared with white individuals (OR=0.53; 95% CI 0.35 to 0.79). Black/African American individuals reported a lower prevalence of COVID-19 than non-Hispanic whites. However, one interaction between CI and race was significant, African Americans with high CI reported greater odds (OR=2.2; 95% CI 1.15 to 3.16) of reporting COVID-19 prevalence. Furthermore, African American individuals had significantly greater odds of increased symptom severity.

Conclusion: Prior studies show higher risk for COVID-19 among older age groups, male sex, those with pre-existing comorbidities (eg, challenged immunities) and those from minoritised racial/ethnic groups. The results of this study suggest that those with CI be included in a high-risk group. Various risk subsets may exist and future investigations could identify different risk subsets. Understanding these subgroups would be helpful in mounting targeted prevention efforts.

Abstract Image

Abstract Image

Abstract Image

COVID-19大流行对化学品不耐受个体的影响。
目的:本研究的目的是确定COVID-19大流行对化学不耐症(CI)患者是否有不同的影响。CI的特点是由一次性高剂量或持续低剂量暴露于环境毒素(包括化学品、食品和药物)引起的多系统症状。据估计,美国的患病率为20%,症状包括疲劳、头痛、虚弱、皮疹、情绪变化、肌肉骨骼疼痛、胃肠道问题、记忆困难、注意力不集中和呼吸问题,这些与COVID-19及其后遗症相似。设计:一项基于美国人口的调查涉及7500名受访者,询问他们是否曾经感染过COVID-19,严重程度是什么,以及他们是否长期感染COVID-19。CI采用快速环境暴露和敏感性量表进行评估。环境:疾病控制中心估计,美国有超过2400万人感染了COVID-19,超过670万人住院,超过117.4万人死亡。其他工业化国家也有类似的数字。结果:与中CI组和低CI组相比,高CI组报告了更高的COVID-19患病率、症状严重程度和COVID-19持续时间(结论:先前的研究表明,年龄较大的人群、男性、既往存在合共病(例如免疫缺陷)的人群和少数种族/民族人群的COVID-19风险更高。本研究的结果表明,那些有CI的人被列入高危人群。不同的风险子集可能存在,未来的调查可以确定不同的风险子集。了解这些亚群体将有助于加强有针对性的预防工作。
本文章由计算机程序翻译,如有差异,请以英文原文为准。
求助全文
约1分钟内获得全文 求助全文
来源期刊
CiteScore
9.70
自引率
0.00%
发文量
27
审稿时长
19 weeks
期刊介绍: Family Medicine and Community Health (FMCH) is a peer-reviewed, open-access journal focusing on the topics of family medicine, general practice and community health. FMCH strives to be a leading international journal that promotes ‘Health Care for All’ through disseminating novel knowledge and best practices in primary care, family medicine, and community health. FMCH publishes original research, review, methodology, commentary, reflection, and case-study from the lens of population health. FMCH’s Asian Focus section features reports of family medicine development in the Asia-pacific region. FMCH aims to be an exemplary forum for the timely communication of medical knowledge and skills with the goal of promoting improved health care through the practice of family and community-based medicine globally. FMCH aims to serve a diverse audience including researchers, educators, policymakers and leaders of family medicine and community health. We also aim to provide content relevant for researchers working on population health, epidemiology, public policy, disease control and management, preventative medicine and disease burden. FMCH does not impose any article processing charges (APC) or submission charges.
×
引用
GB/T 7714-2015
复制
MLA
复制
APA
复制
导出至
BibTeX EndNote RefMan NoteFirst NoteExpress
×
提示
您的信息不完整,为了账户安全,请先补充。
现在去补充
×
提示
您因"违规操作"
具体请查看互助需知
我知道了
×
提示
确定
请完成安全验证×
copy
已复制链接
快去分享给好友吧!
我知道了
右上角分享
点击右上角分享
0
联系我们:info@booksci.cn Book学术提供免费学术资源搜索服务,方便国内外学者检索中英文文献。致力于提供最便捷和优质的服务体验。 Copyright © 2023 布克学术 All rights reserved.
京ICP备2023020795号-1
ghs 京公网安备 11010802042870号
Book学术文献互助
Book学术文献互助群
群 号:604180095
Book学术官方微信