Real-World Insights Into Hypoglycemia Risk While Driving in Teens and Young Adults With Type 1 Diabetes.

IF 5.6 3区 医学 Q2 ENDOCRINOLOGY & METABOLISM
Pediatric Diabetes Pub Date : 2025-01-16 eCollection Date: 2025-01-01 DOI:10.1155/pedi/5053872
Kalyan Pamidimukkala, Michael L Ferm, Madhav Erraguntla, Balakrishna Haridas, Achu Byju, Mark Lawley, Sruthi Menon, Carolina Villegas, Siripoom McKay, Daniel J DeSalvo
{"title":"Real-World Insights Into Hypoglycemia Risk While Driving in Teens and Young Adults With Type 1 Diabetes.","authors":"Kalyan Pamidimukkala, Michael L Ferm, Madhav Erraguntla, Balakrishna Haridas, Achu Byju, Mark Lawley, Sruthi Menon, Carolina Villegas, Siripoom McKay, Daniel J DeSalvo","doi":"10.1155/pedi/5053872","DOIUrl":null,"url":null,"abstract":"<p><p><b>Background:</b> Clinical guidelines on driving for people with diabetes exist, but there are limited studies analyzing glucose data and hypoglycemia risk while driving. No published studies have analyzed teenage or emerging adult drivers with type 1 diabetes (T1D). The primary aim of our pilot study was to explore the glycemic patterns of young drivers with T1D as they relate to clinical guidelines and identify trends that could be used to improve road safety. <b>Methods:</b> In this pilot study, we collected continuous glucose monitoring (CGM) data from five drivers with T1D (median age 19, range 17-21 years) over a 1-month period. The driving trips were divided into two categories: (1) <i>Short trips</i> (<60 min) and (2) <i>Long trips</i> (≥60 min). Hypoglycemia was defined as <70 mg/dL as recorded by CGM for at least four consecutive readings. Trips <10 min were excluded from the analysis. <b>Results:</b> Data on 284 total trips with associated CGM readings were recorded. The average number of trips taken by drivers during the study was 56.8 trips (range 9-82). For short trips (<i>n</i> = 276), no episodes of hypoglycemia occurred when starting glucose was >90 mg/dL (<i>n</i> = 227). For short trips with starting glucose of 70-90 mg/dL (<i>n</i> = 32), each hypoglycemic event (<i>n</i> = 5) had a drop in the first CGM glucose value while driving. Seventeen (5.7%) of short trips started with a glucose <70 mg/dL. A total of eight long trips (>60 min) were recorded, all had a starting CGM value of >90 mg/dL, and none had hypoglycemia events. <b>Conclusions:</b> These real-world findings from a small sample of teenage and young adult drivers with T1D support the American Diabetes Association (ADA) recommendation for starting glucose of >90 mg/dL when driving. Larger studies would be helpful in clearly identifying and improving road safety concerns in young drivers with T1D.</p>","PeriodicalId":19797,"journal":{"name":"Pediatric Diabetes","volume":"2025 ","pages":"5053872"},"PeriodicalIF":5.6000,"publicationDate":"2025-01-16","publicationTypes":"Journal Article","fieldsOfStudy":null,"isOpenAccess":false,"openAccessPdf":"https://www.ncbi.nlm.nih.gov/pmc/articles/PMC12016719/pdf/","citationCount":"0","resultStr":null,"platform":"Semanticscholar","paperid":null,"PeriodicalName":"Pediatric Diabetes","FirstCategoryId":"3","ListUrlMain":"https://doi.org/10.1155/pedi/5053872","RegionNum":3,"RegionCategory":"医学","ArticlePicture":[],"TitleCN":null,"AbstractTextCN":null,"PMCID":null,"EPubDate":"2025/1/1 0:00:00","PubModel":"eCollection","JCR":"Q2","JCRName":"ENDOCRINOLOGY & METABOLISM","Score":null,"Total":0}
引用次数: 0

Abstract

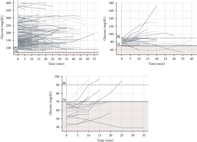
Background: Clinical guidelines on driving for people with diabetes exist, but there are limited studies analyzing glucose data and hypoglycemia risk while driving. No published studies have analyzed teenage or emerging adult drivers with type 1 diabetes (T1D). The primary aim of our pilot study was to explore the glycemic patterns of young drivers with T1D as they relate to clinical guidelines and identify trends that could be used to improve road safety. Methods: In this pilot study, we collected continuous glucose monitoring (CGM) data from five drivers with T1D (median age 19, range 17-21 years) over a 1-month period. The driving trips were divided into two categories: (1) Short trips (<60 min) and (2) Long trips (≥60 min). Hypoglycemia was defined as <70 mg/dL as recorded by CGM for at least four consecutive readings. Trips <10 min were excluded from the analysis. Results: Data on 284 total trips with associated CGM readings were recorded. The average number of trips taken by drivers during the study was 56.8 trips (range 9-82). For short trips (n = 276), no episodes of hypoglycemia occurred when starting glucose was >90 mg/dL (n = 227). For short trips with starting glucose of 70-90 mg/dL (n = 32), each hypoglycemic event (n = 5) had a drop in the first CGM glucose value while driving. Seventeen (5.7%) of short trips started with a glucose <70 mg/dL. A total of eight long trips (>60 min) were recorded, all had a starting CGM value of >90 mg/dL, and none had hypoglycemia events. Conclusions: These real-world findings from a small sample of teenage and young adult drivers with T1D support the American Diabetes Association (ADA) recommendation for starting glucose of >90 mg/dL when driving. Larger studies would be helpful in clearly identifying and improving road safety concerns in young drivers with T1D.

Abstract Image

现实世界对青少年和青少年1型糖尿病患者驾驶时低血糖风险的洞察。
背景:糖尿病患者驾驶的临床指南已经存在,但分析驾驶时血糖数据和低血糖风险的研究有限。没有发表的研究分析了青少年或成年初发者的1型糖尿病(T1D)。我们初步研究的主要目的是探索患有T1D的年轻司机的血糖模式,因为它们与临床指南有关,并确定可用于改善道路安全的趋势。方法:在这项初步研究中,我们收集了5名T1D司机(中位年龄19岁,范围17-21岁)1个月的连续血糖监测(CGM)数据。自驾行程分为两类:(1)短途(≥60 min)。结果:记录了284次总行程的相关CGM读数数据。在研究期间,司机的平均出行次数为56.8次(范围为9-82次)。对于短途旅行(n = 276),当起始葡萄糖为bbb90 mg/dL (n = 227)时,未发生低血糖发作。对于起始葡萄糖为70-90 mg/dL的短途旅行(n = 32),每次低血糖事件(n = 5)都导致驾驶时第一次CGM血糖值下降。记录了17例(5.7%)的短途旅行,开始时血糖为60分钟,所有人的起始CGM值为bbb90 mg/dL,没有低血糖事件。结论:这些来自青少年和年轻成年T1D司机小样本的真实世界的发现支持美国糖尿病协会(ADA)的建议,即驾驶时起始血糖为90mg /dL。更大规模的研究将有助于清楚地识别和改善患有T1D的年轻司机的道路安全问题。
本文章由计算机程序翻译,如有差异,请以英文原文为准。
求助全文
约1分钟内获得全文 求助全文
来源期刊
Pediatric Diabetes
Pediatric Diabetes 医学-内分泌学与代谢
CiteScore
6.60
自引率
14.70%
发文量
141
审稿时长
4-8 weeks
期刊介绍: Pediatric Diabetes is a bi-monthly journal devoted to disseminating new knowledge relating to the epidemiology, etiology, pathogenesis, management, complications and prevention of diabetes in childhood and adolescence. The aim of the journal is to become the leading vehicle for international dissemination of research and practice relating to diabetes in youth. Papers are considered for publication based on the rigor of scientific approach, novelty, and importance for understanding mechanisms involved in the epidemiology and etiology of this disease, especially its molecular, biochemical and physiological aspects. Work relating to the clinical presentation, course, management and outcome of diabetes, including its physical and emotional sequelae, is considered. In vitro studies using animal or human tissues, whole animal and clinical studies in humans are also considered. The journal reviews full-length papers, preliminary communications with important new information, clinical reports, and reviews of major topics. Invited editorials, commentaries, and perspectives are a regular feature. The editors, based in the USA, Europe, and Australasia, maintain regular communications to assure rapid turnaround time of submitted manuscripts.
×
引用
GB/T 7714-2015
复制
MLA
复制
APA
复制
导出至
BibTeX EndNote RefMan NoteFirst NoteExpress
×
提示
您的信息不完整,为了账户安全,请先补充。
现在去补充
×
提示
您因"违规操作"
具体请查看互助需知
我知道了
×
提示
确定
请完成安全验证×
copy
已复制链接
快去分享给好友吧!
我知道了
右上角分享
点击右上角分享
0
联系我们:info@booksci.cn Book学术提供免费学术资源搜索服务,方便国内外学者检索中英文文献。致力于提供最便捷和优质的服务体验。 Copyright © 2023 布克学术 All rights reserved.
京ICP备2023020795号-1
ghs 京公网安备 11010802042870号
Book学术文献互助
Book学术文献互助群
群 号:604180095
Book学术官方微信