Blood Cells as a Cellular Biomarker for Mitochondrial Function in a Experimental Model of Acute Carbon Monoxide Poisoning with Treatment.

IF 2.6 4区 医学 Q3 TOXICOLOGY
Journal of Medical Toxicology Pub Date : 2025-07-01 Epub Date: 2025-04-28 DOI:10.1007/s13181-025-01077-6
Devesh Bungatavula, John C Greenwood, Frances S Shofer, Guthrie Buehler, Shih-Han Kao, Matthew Kelly, Samuel S Shin, Johannes K Ehinger, Todd J Kilbaugh, David H Jang
{"title":"Blood Cells as a Cellular Biomarker for Mitochondrial Function in a Experimental Model of Acute Carbon Monoxide Poisoning with Treatment.","authors":"Devesh Bungatavula, John C Greenwood, Frances S Shofer, Guthrie Buehler, Shih-Han Kao, Matthew Kelly, Samuel S Shin, Johannes K Ehinger, Todd J Kilbaugh, David H Jang","doi":"10.1007/s13181-025-01077-6","DOIUrl":null,"url":null,"abstract":"<p><strong>Introduction: </strong>Carbon monoxide (CO) is a leading cause of environmental poisoning in the United States with substantial mortality and morbidity. The mechanism of CO poisoning is complex and includes hypoxia, inflammation, and mitochondrial dysfunction. Currently both biomarkers and therapies for CO poisoning are limited and require new approaches.</p><p><strong>Methods: </strong>Rats (~ 300 g) were divided into four groups of ten rodents per group (exposure): Control (room air), CO-400 (400 ppm), CO-1000 (1000 ppm) and CO-2000 (2000 ppm). Rodents received the assigned exposure through a secured tracheotomy tube over 120 min followed by 30 min of re-oxygenation at room air for a total of 150 min. Five additional rodents in each group were administered a succinate prodrug (NV354) at the start of exposure for the duration of the experiment until the reoxygenation period as separate experiments. Cortical brain tissue and whole blood were obtained for mitochondrial respiration. Stored plasma and snap frozen tissue stored at -80<sup>o</sup>C were used to obtain protein quantification with Western Blotting.</p><p><strong>Results: </strong>All animals in the Sham, CO-400, and CO-1000 groups survived until the end of the exposure period; no animals in the CO-2000 groups survived the exposure and were counted as attrition. We observed a dose-dependent decrease in key respiratory states in both isolated brain mitochondria and peripheral blood mononuclear cells (PBMCs), and, PBMCs respiration more positively correlated with isolated brain mitochondria when compared to carboxyhemoglobin (COHb). There was no significant difference in mitochondrial respiratory states in animals treated with NV354 compared to the untreated group.</p><p><strong>Conclusions: </strong>The primary findings from this study include: (1) A dose-dependent decrease with key respiration states with higher concentrations of CO; (2) PBMCs had a higher correlation to isolated brain mitochondria respiration when compared to COHb; and (3) there was no treatment effect with the use of NV354.</p>","PeriodicalId":16429,"journal":{"name":"Journal of Medical Toxicology","volume":" ","pages":"327-335"},"PeriodicalIF":2.6000,"publicationDate":"2025-07-01","publicationTypes":"Journal Article","fieldsOfStudy":null,"isOpenAccess":false,"openAccessPdf":"https://www.ncbi.nlm.nih.gov/pmc/articles/PMC12204972/pdf/","citationCount":"0","resultStr":null,"platform":"Semanticscholar","paperid":null,"PeriodicalName":"Journal of Medical Toxicology","FirstCategoryId":"3","ListUrlMain":"https://doi.org/10.1007/s13181-025-01077-6","RegionNum":4,"RegionCategory":"医学","ArticlePicture":[],"TitleCN":null,"AbstractTextCN":null,"PMCID":null,"EPubDate":"2025/4/28 0:00:00","PubModel":"Epub","JCR":"Q3","JCRName":"TOXICOLOGY","Score":null,"Total":0}
引用次数: 0

Abstract

Introduction: Carbon monoxide (CO) is a leading cause of environmental poisoning in the United States with substantial mortality and morbidity. The mechanism of CO poisoning is complex and includes hypoxia, inflammation, and mitochondrial dysfunction. Currently both biomarkers and therapies for CO poisoning are limited and require new approaches.

Methods: Rats (~ 300 g) were divided into four groups of ten rodents per group (exposure): Control (room air), CO-400 (400 ppm), CO-1000 (1000 ppm) and CO-2000 (2000 ppm). Rodents received the assigned exposure through a secured tracheotomy tube over 120 min followed by 30 min of re-oxygenation at room air for a total of 150 min. Five additional rodents in each group were administered a succinate prodrug (NV354) at the start of exposure for the duration of the experiment until the reoxygenation period as separate experiments. Cortical brain tissue and whole blood were obtained for mitochondrial respiration. Stored plasma and snap frozen tissue stored at -80oC were used to obtain protein quantification with Western Blotting.

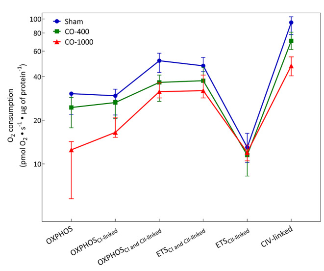
Results: All animals in the Sham, CO-400, and CO-1000 groups survived until the end of the exposure period; no animals in the CO-2000 groups survived the exposure and were counted as attrition. We observed a dose-dependent decrease in key respiratory states in both isolated brain mitochondria and peripheral blood mononuclear cells (PBMCs), and, PBMCs respiration more positively correlated with isolated brain mitochondria when compared to carboxyhemoglobin (COHb). There was no significant difference in mitochondrial respiratory states in animals treated with NV354 compared to the untreated group.

Conclusions: The primary findings from this study include: (1) A dose-dependent decrease with key respiration states with higher concentrations of CO; (2) PBMCs had a higher correlation to isolated brain mitochondria respiration when compared to COHb; and (3) there was no treatment effect with the use of NV354.

Abstract Image

Abstract Image

Abstract Image

血细胞在急性一氧化碳中毒治疗实验模型中作为线粒体功能的细胞生物标志物。
简介:一氧化碳(CO)是美国环境中毒的主要原因,死亡率和发病率很高。一氧化碳中毒的机制复杂,包括缺氧、炎症和线粒体功能障碍。目前,一氧化碳中毒的生物标志物和治疗方法都是有限的,需要新的方法。方法:将大鼠(~ 300 g)分为4组,每组10只(暴露):对照(室内空气)、CO-400 (400 ppm)、CO-1000 (1000 ppm)和CO-2000 (2000 ppm)。啮齿动物通过固定的气管切开管接受指定的暴露120分钟,然后在室内空气中进行30分钟的再氧合,共150分钟。每组另外5只啮齿动物在暴露开始时给予琥珀酸前药(NV354),直到再氧合期间作为单独的实验。取脑组织皮层和全血进行线粒体呼吸。使用-80℃保存的血浆和快速冷冻组织,用Western Blotting获得蛋白质定量。结果:Sham、CO-400、CO-1000组小鼠全部存活至暴露期结束;CO-2000组中没有动物在暴露后存活,并被视为磨损。我们观察到分离的脑线粒体和外周血单个核细胞(PBMCs)的关键呼吸状态均呈剂量依赖性下降,并且与碳氧血红蛋白(COHb)相比,PBMCs的呼吸与分离的脑线粒体呈正相关。与未治疗组相比,NV354治疗组动物的线粒体呼吸状态无显著差异。结论:本研究的主要发现包括:(1)随着CO浓度的升高,关键呼吸状态的浓度呈剂量依赖性降低;(2)与COHb相比,PBMCs与离体脑线粒体呼吸的相关性更高;(3)使用NV354无治疗效果。
本文章由计算机程序翻译,如有差异,请以英文原文为准。
求助全文
约1分钟内获得全文 求助全文
来源期刊
CiteScore
5.40
自引率
10.30%
发文量
46
期刊介绍: Journal of Medical Toxicology (JMT) is a peer-reviewed medical journal dedicated to advances in clinical toxicology, focusing on the diagnosis, management, and prevention of poisoning and other adverse health effects resulting from medications, chemicals, occupational and environmental substances, and biological hazards. As the official journal of the American College of Medical Toxicology (ACMT), JMT is managed by an editorial board of clinicians as well as scientists and thus publishes research that is relevant to medical toxicologists, emergency physicians, critical care specialists, pediatricians, pre-hospital providers, occupational physicians, substance abuse experts, veterinary toxicologists, and policy makers.       JMT articles generate considerable interest in the lay media, with 2016 JMT articles cited by various social media sites, the Boston Globe, and the Washington Post among others.     For questions or comments about the journal, please contact jmtinfo@acmt.net.    For questions or comments about the journal, please contact jmtinfo@acmt.net.
×
引用
GB/T 7714-2015
复制
MLA
复制
APA
复制
导出至
BibTeX EndNote RefMan NoteFirst NoteExpress
×
提示
您的信息不完整,为了账户安全,请先补充。
现在去补充
×
提示
您因"违规操作"
具体请查看互助需知
我知道了
×
提示
确定
请完成安全验证×
copy
已复制链接
快去分享给好友吧!
我知道了
右上角分享
点击右上角分享
0
联系我们:info@booksci.cn Book学术提供免费学术资源搜索服务,方便国内外学者检索中英文文献。致力于提供最便捷和优质的服务体验。 Copyright © 2023 布克学术 All rights reserved.
京ICP备2023020795号-1
ghs 京公网安备 11010802042870号
Book学术文献互助
Book学术文献互助群
群 号:604180095
Book学术官方微信