Efficacy of Simplifying Complex Insulin Regimen on Glycometabolic Parameters and Target Organ Damage in Type 2 Diabetes: A Retrospective Cohort Study.

IF 3.4 3区 医学 Q2 ENDOCRINOLOGY & METABOLISM
Journal of Diabetes Research Pub Date : 2025-04-15 eCollection Date: 2025-01-01 DOI:10.1155/jdr/9141564
Roland Fejes, Csilla Kádár, Róbert Kovács-Huber, Zoltán Taybani, László Juhász, Attila Rutai, Szabolcs Péter Tallósy
{"title":"Efficacy of Simplifying Complex Insulin Regimen on Glycometabolic Parameters and Target Organ Damage in Type 2 Diabetes: A Retrospective Cohort Study.","authors":"Roland Fejes, Csilla Kádár, Róbert Kovács-Huber, Zoltán Taybani, László Juhász, Attila Rutai, Szabolcs Péter Tallósy","doi":"10.1155/jdr/9141564","DOIUrl":null,"url":null,"abstract":"<p><p><b>Background:</b> Fixed-ratio combinations (FRCs) provide an alternative to intensified conservative insulin treatments (ICTs); however, therapy simplification in patients with high total daily insulin dose (TDD) or high HbA<sub>1c</sub> is a debated issue; additionally, its influence on target organ damage (TOD) is less known. <b>Methods:</b> Data were retrospectively collected from patients with Type 2 diabetes, including 58 patients who continued ICT and 104 patients who underwent therapy simplification between January 1, 2017, and January 1, 2023. Patient characteristics and therapy details are at baseline and 3, 6, 12, and 24 months after FRC initiation. <b>Results:</b> HbA<sub>1c</sub> significantly decreased in both groups (-0.9% [-1.6%, -0.5%] with ICT vs. -1.3% [-2.1%, -0.3%] with FRC), whereas body weight significantly decreased only after simplification (-1 kg [-4, 1] vs. -5 kg [-7, -2]). Diabetes duration was not associated with therapy efficacy. Significant HbA<sub>1c</sub> reduction and FRC dose elevation occurred earlier in patients with an initial HbA<sub>1c</sub> > 8.0% than in those with an initial HbA<sub>1c</sub> < 8.0%. FRC dose was significantly higher at 3 months in patients with a TDD of > 60 U/day than in those with lower TDD. Relative risk reduction with therapy simplification was 72.1%, 50.6%, 32.3%, and 59.7% for hypoglycemia, renal function decline, microalbuminuria, and macrovascular complications, respectively. Risk of retinopathy, neuropathy, and chronic kidney disease did not significantly change with FRCs. <b>Discussion:</b> FRCs are safe and as effective as ICT even in patients with high initial HbA<sub>1c</sub>, high TDD, or long diabetes duration. A protective role of FRCs in diabetic ASCVD has been proven, but their protective role in CKD was not observed. <b>Conclusions:</b> The significant improvements in glycemic and weight control, as well as in TODs, suggest that therapy simplification may represent a more favorable approach compared to the continuation of previous ICT even in patients characterized by high baseline TDD and HbA<sub>1c</sub> levels.</p>","PeriodicalId":15576,"journal":{"name":"Journal of Diabetes Research","volume":"2025 ","pages":"9141564"},"PeriodicalIF":3.4000,"publicationDate":"2025-04-15","publicationTypes":"Journal Article","fieldsOfStudy":null,"isOpenAccess":false,"openAccessPdf":"https://www.ncbi.nlm.nih.gov/pmc/articles/PMC12014261/pdf/","citationCount":"0","resultStr":null,"platform":"Semanticscholar","paperid":null,"PeriodicalName":"Journal of Diabetes Research","FirstCategoryId":"3","ListUrlMain":"https://doi.org/10.1155/jdr/9141564","RegionNum":3,"RegionCategory":"医学","ArticlePicture":[],"TitleCN":null,"AbstractTextCN":null,"PMCID":null,"EPubDate":"2025/1/1 0:00:00","PubModel":"eCollection","JCR":"Q2","JCRName":"ENDOCRINOLOGY & METABOLISM","Score":null,"Total":0}
引用次数: 0

Abstract

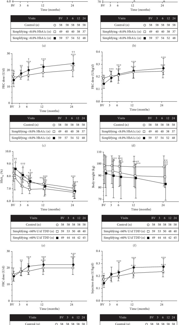
Background: Fixed-ratio combinations (FRCs) provide an alternative to intensified conservative insulin treatments (ICTs); however, therapy simplification in patients with high total daily insulin dose (TDD) or high HbA1c is a debated issue; additionally, its influence on target organ damage (TOD) is less known. Methods: Data were retrospectively collected from patients with Type 2 diabetes, including 58 patients who continued ICT and 104 patients who underwent therapy simplification between January 1, 2017, and January 1, 2023. Patient characteristics and therapy details are at baseline and 3, 6, 12, and 24 months after FRC initiation. Results: HbA1c significantly decreased in both groups (-0.9% [-1.6%, -0.5%] with ICT vs. -1.3% [-2.1%, -0.3%] with FRC), whereas body weight significantly decreased only after simplification (-1 kg [-4, 1] vs. -5 kg [-7, -2]). Diabetes duration was not associated with therapy efficacy. Significant HbA1c reduction and FRC dose elevation occurred earlier in patients with an initial HbA1c > 8.0% than in those with an initial HbA1c < 8.0%. FRC dose was significantly higher at 3 months in patients with a TDD of > 60 U/day than in those with lower TDD. Relative risk reduction with therapy simplification was 72.1%, 50.6%, 32.3%, and 59.7% for hypoglycemia, renal function decline, microalbuminuria, and macrovascular complications, respectively. Risk of retinopathy, neuropathy, and chronic kidney disease did not significantly change with FRCs. Discussion: FRCs are safe and as effective as ICT even in patients with high initial HbA1c, high TDD, or long diabetes duration. A protective role of FRCs in diabetic ASCVD has been proven, but their protective role in CKD was not observed. Conclusions: The significant improvements in glycemic and weight control, as well as in TODs, suggest that therapy simplification may represent a more favorable approach compared to the continuation of previous ICT even in patients characterized by high baseline TDD and HbA1c levels.

Abstract Image

Abstract Image

Abstract Image

简化复合胰岛素治疗方案对2型糖尿病糖代谢参数和靶器官损害的影响:一项回顾性队列研究
背景:固定比例组合(FRCs)提供了强化保守胰岛素治疗(ict)的替代方案;然而,对于高每日总胰岛素剂量(TDD)或高HbA1c患者,简化治疗是一个有争议的问题;此外,其对靶器官损伤(TOD)的影响尚不清楚。方法:回顾性收集2型糖尿病患者的数据,包括2017年1月1日至2023年1月1日期间继续ICT治疗的58例患者和简化治疗的104例患者。患者特征和治疗细节是在基线和FRC开始后3、6、12和24个月。结果:两组患者的HbA1c均显著降低(ICT组为-0.9% [-1.6%,-0.5%],FRC组为-1.3%[-2.1%,-0.3%]),而体重仅在简化后才显著降低(-1 kg[- 4,1]对-5 kg[-7, -2])。糖尿病病程与治疗效果无关。初始HbA1c < 8.0%的患者比初始HbA1c < 8.0%的患者更早出现显著的HbA1c降低和FRC剂量升高。TDD为60 U/天的患者在3个月时的FRC剂量显著高于TDD较低的患者。简化治疗后,低血糖、肾功能下降、微量白蛋白尿和大血管并发症的相对风险分别降低72.1%、50.6%、32.3%和59.7%。视网膜病变、神经病变和慢性肾脏疾病的风险在FRCs中没有显著变化。讨论:即使对于初始HbA1c高、TDD高或糖尿病病程长的患者,FRCs也是安全且与ICT一样有效的。FRCs在糖尿病ASCVD中的保护作用已被证实,但其在CKD中的保护作用尚未观察到。结论:血糖和体重控制以及tod的显著改善表明,即使在基线TDD和HbA1c水平较高的患者中,与继续进行先前的ICT相比,简化治疗可能是一种更有利的方法。
本文章由计算机程序翻译,如有差异,请以英文原文为准。
求助全文
约1分钟内获得全文 求助全文
来源期刊
Journal of Diabetes Research
Journal of Diabetes Research ENDOCRINOLOGY & METABOLISM-MEDICINE, RESEARCH & EXPERIMENTAL
CiteScore
8.40
自引率
2.30%
发文量
152
审稿时长
14 weeks
期刊介绍: Journal of Diabetes Research is a peer-reviewed, Open Access journal that publishes research articles, review articles, and clinical studies related to type 1 and type 2 diabetes. The journal welcomes submissions focusing on the epidemiology, etiology, pathogenesis, management, and prevention of diabetes, as well as associated complications, such as diabetic retinopathy, neuropathy and nephropathy.
×
引用
GB/T 7714-2015
复制
MLA
复制
APA
复制
导出至
BibTeX EndNote RefMan NoteFirst NoteExpress
×
提示
您的信息不完整,为了账户安全,请先补充。
现在去补充
×
提示
您因"违规操作"
具体请查看互助需知
我知道了
×
提示
确定
请完成安全验证×
copy
已复制链接
快去分享给好友吧!
我知道了
右上角分享
点击右上角分享
0
联系我们:info@booksci.cn Book学术提供免费学术资源搜索服务,方便国内外学者检索中英文文献。致力于提供最便捷和优质的服务体验。 Copyright © 2023 布克学术 All rights reserved.
京ICP备2023020795号-1
ghs 京公网安备 11010802042870号
Book学术文献互助
Book学术文献互助群
群 号:604180095
Book学术官方微信